Suppr超能文献

光学散斑场中拟二维胶体系统的菲克型而非高斯扩散:实验与模拟。

Fickian yet non-Gaussian diffusion of a quasi-2D colloidal system in an optical speckle field: experiment and simulations.

机构信息

Department of Physics E. Pancini, University of Naples Federico II, Complesso Universitario Monte Sant'Angelo, Via Cintia, 80126, Naples, Italy.

Department of Chemical, Materials and Production Engineering, University of Naples Federico II, P.le Tecchio 80, 80125, Naples, Italy.

出版信息

Sci Rep. 2023 May 6;13(1):7408. doi: 10.1038/s41598-023-34433-z.

Abstract

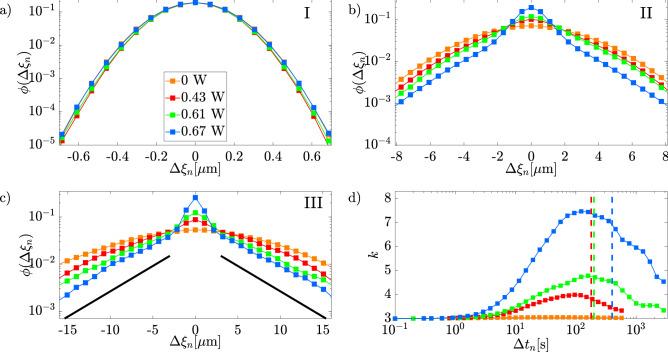
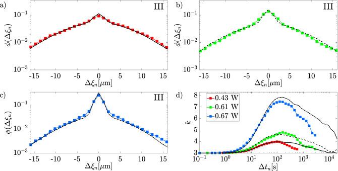
We investigate a quasi-2D suspension of Brownian particles in an optical speckle field produced by holographic manipulation of a laser wavefront. This system was developed to study, in a systematic and controllable way, a distinctive instance of diffusion, called Fickian yet Non Gaussian diffusion (FnGD), observed, during the last decade, for colloidal particles in a variety of complex and biological fluids. Our setup generates an optical speckle field that behaves like a disordered set of optical traps. First, we describe the experimental setup and the dynamics of the particles, focusing on mean square displacements, displacement distributions and kurtosis. Then, we present Brownian Dynamics simulations of point-like particles in a complex energy landscape, mimicking that generated by the optical speckle field. We show that our simulations can capture the salient features of the experimental results, including the emergence of FnGD, also covering times longer than the ones so far achieved in experiments. Some deviations are observed at long time only, with the Gaussian restoring being slower in simulations than in experiments. Overall, the introduced numerical model might be exploited to guide the design of upcoming experiments targeted, for example, to fully monitor the recovery of Gaussianity.

摘要

我们研究了一种准二维布朗悬浮颗粒在激光波前全息操控产生的光学散斑场中的运动。这个系统是为了系统地、可控地研究一种独特的扩散现象而开发的,这种扩散现象被称为菲克型而非高斯扩散(FnGD),在过去十年中,在各种复杂和生物流体中观察到胶体颗粒的扩散就是这种现象。我们的装置产生了一种类似于无序光学陷阱的光学散斑场。首先,我们描述了实验装置和颗粒的动力学,重点研究了均方位移、位移分布和峰度。然后,我们提出了点粒子在复杂能量景观中的布朗动力学模拟,模拟了由光学散斑场产生的能量景观。我们表明,我们的模拟可以捕捉到实验结果的显著特征,包括 FnGD 的出现,并且还涵盖了比以往实验中更长的时间。仅在长时间观察到一些偏离,模拟中高斯恢复比实验中慢。总的来说,引入的数值模型可以用来指导未来实验的设计,例如,以完全监测高斯性的恢复。

https://cdn.ncbi.nlm.nih.gov/pmc/blobs/7d13/10164168/d530733b1b42/41598_2023_34433_Fig1_HTML.jpg

文献AI研究员

20分钟写一篇综述,助力文献阅读效率提升50倍。

立即体验

用中文搜PubMed

大模型驱动的PubMed中文搜索引擎

马上搜索

文档翻译

学术文献翻译模型,支持多种主流文档格式。

立即体验