Suppr超能文献

通过浇灌施用的系统性杀虫剂对咖喱叶上[具体害虫名称缺失]死亡率的影响

Effect of Systemic Insecticides Applied via Drench on the Mortality of on Curry Leaf.

作者信息

Vieira Julia Gabriela Aleixo, Santana Emile Dayara Rabelo, Thiesen Leonardo Vinicius, Matioli Thaís Fagundes, Yamamoto Pedro Takao

机构信息

Department of Entomology and Acarology, "Luiz de Queiroz" College of Agriculture, University of São Paulo (ESALQ/USP), Piracicaba 13418-900, Brazil.

出版信息

Insects. 2023 Apr 28;14(5):422. doi: 10.3390/insects14050422.

Abstract

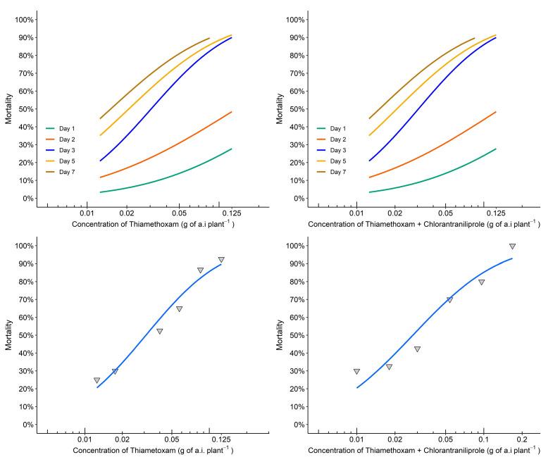
Huanglongbing (HLB), the most serious disease in citriculture, is caused by the bacteria Liberibacter spp., which is transmitted by the Asian citrus psyllid (ACP) . HLB is mainly controlled with insecticides, necessitating the development of alternative methods, e.g., the use of trap plants such as curry leaf , which is highly attractive to the ACP. We evaluated the effects of the main systemic insecticides used by citrus growers, applied via drench to adults of on the curry leaf tree. We tested the persistence of three pesticides: thiamethoxam, thiamethoxam + chlorantraniliprole, and imidacloprid in protected cultivation and the field condition at 7, 14, 28, 42, 56, 70, 98, and 154 days after the application. Different concentrations of insecticides containing the active ingredient thiamethoxam were tested on adults to determine the LC and LC. Finally, we assessed the sublethal effects on the oviposition and development of . The insecticides controlled the adults for long periods. However, in the field experiment, from 42 days after application there was a decrease in mortality caused by pesticides applied via drench, while in the protected cultivation, mortality did not decline until the last day of evaluation. The median lethal concentration (LC) for thiamethoxam was 0.031 g of active ingredient per plant, and for thiamethoxam in a mixture, the LC was 0.028 g a.i. per plant. In the experiment with sublethal doses, did not oviposit on the treated plants. Our findings suggest that the attract-and-kill system using the curry leaf tree and systemic insecticides is effective for the control of and contributes to the integrated management of HLB.

摘要

黄龙病(HLB)是柑橘种植业中最严重的病害,由韧皮部杆菌属细菌引起,通过亚洲柑橘木虱(ACP)传播。HLB主要通过杀虫剂进行防治,因此需要开发替代方法,例如使用对ACP具有高度吸引力的诱集植物,如咖喱叶。我们评估了柑橘种植者使用的主要内吸性杀虫剂通过浇灌施用于咖喱叶树上的成虫后的效果。我们测试了三种农药(噻虫嗪、噻虫嗪+氯虫苯甲酰胺和吡虫啉)在保护地栽培和田间条件下施药后7、14、28、42、56、70、98和154天的持效性。对含有活性成分噻虫嗪的不同浓度杀虫剂进行成虫试验,以确定LC和LC。最后,我们评估了其对ACP产卵和发育的亚致死效应。这些杀虫剂能长时间控制成虫。然而,在田间试验中,施药后42天起,通过浇灌施用的农药导致的死亡率下降,而在保护地栽培中,直到评估的最后一天死亡率才下降。噻虫嗪的半数致死浓度(LC)为每株植物0.031克活性成分,噻虫嗪与其他成分混合后的LC为每株植物0.028克有效成分。在亚致死剂量试验中,ACP不在处理过的植株上产卵。我们的研究结果表明,利用咖喱叶树和内吸性杀虫剂的诱捕-杀灭系统对控制ACP有效,并有助于黄龙病的综合管理。

https://cdn.ncbi.nlm.nih.gov/pmc/blobs/d1ce/10231076/40ae6ece9796/insects-14-00422-g001.jpg

文献AI研究员

20分钟写一篇综述,助力文献阅读效率提升50倍。

立即体验

用中文搜PubMed

大模型驱动的PubMed中文搜索引擎

马上搜索

文档翻译

学术文献翻译模型,支持多种主流文档格式。

立即体验