Adnan Awid, Borman Andrew M, Tóth Zoltán, Forgács Lajos, Kovács Renátó, Balázsi Dávid, Balázs Bence, Udvarhelyi Gergely, Kardos Gábor, Majoros László
Department of Medical Microbiology, Faculty of Medicine, University of Debrecen, 4032 Debrecen, Hungary.
Doctoral School of Pharmaceutical Sciences, University of Debrecen, 4032 Debrecen, Hungary.
Pharmaceutics. 2023 Apr 29;15(5):1365. doi: 10.3390/pharmaceutics15051365.
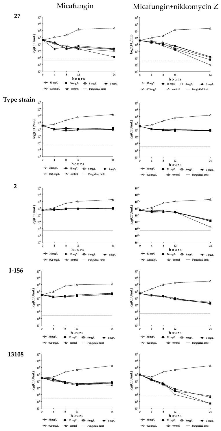
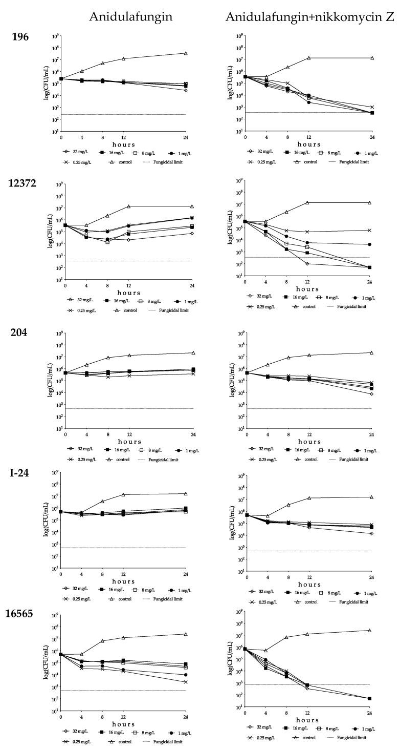
is a multidrug-resistant pathogen against which echinocandins are the drug of choice. However, information on how the chitin synthase inhibitor nikkomycin Z influences the killing activities of echinocandins against is currently lacking. We determined the killing activities of anidulafungin and micafungin (0.25, 1, 8, 16 and 32 mg/L each) with and without nikkomycin Z (8 mg/L) against 15 isolates representing four clades (South Asian n = 5; East Asian n = 3; South African n = 3; South American n = 4, two of which were of environmental origin). Two and one isolates from the South Asian clade harbored mutations in the hot-spot 1 (S639Y and S639P) and 2 (R1354H) regions of the gene, respectively. The anidulafungin, micafungin and nikkomycin Z MIC ranges were 0.015-4, 0.03-4 and 2->16 mg/L, respectively. Anidulafungin and micafungin alone exerted weak fungistatic activity against wild-type isolates and the isolate with a mutation in the hot-spot 2 region of but was ineffective against the isolates with a mutation in the hot-spot 1 region. The nikkomycin Z killing curves were always similar to their respective controls. Twenty-two of sixty (36.7%) anidulafungin plus nikkomycin Z and twenty-four of sixty (40%) micafungin plus nikkomycin Z combinations produced at least 100-fold decreases in the CFUs (synergy), with a 41.7% and 20% fungicidal effect, respectively, against wild-type isolates. Antagonism was never observed. Similar results were found with the isolate with a mutation in hot-spot 2 of , but the combinations were ineffective against the two isolates with prominent mutations in hot-spot 1 of . The simultaneous inhibition of β-1,3 glucan and chitin synthases in wild-type isolates produced significantly greater killing rates than either drug alone. Further studies are warranted to verify the clinical efficacy of echinocandin plus nikkomycin Z combinations against echinocandin susceptible isolates.
是一种多重耐药病原体,棘白菌素是针对它的首选药物。然而,目前缺乏关于几丁质合酶抑制剂多氧霉素Z如何影响棘白菌素对其杀伤活性的信息。我们测定了阿尼芬净和米卡芬净(各为0.25、1、8、16和32mg/L)在有和没有多氧霉素Z(8mg/L)的情况下对代表四个进化枝的15株分离株的杀伤活性(南亚n = 5;东亚n = 3;南非n = 3;南美n = 4,其中两株来自环境)。来自南亚进化枝的两株和一株分离株分别在基因的热点1(S639Y和S639P)和热点2(R1354H)区域存在突变。阿尼芬净、米卡芬净和多氧霉素Z的MIC范围分别为0.015 - 4、0.03 - 4和2->16mg/L。单独的阿尼芬净和米卡芬净对野生型分离株以及在基因热点2区域有突变的分离株具有较弱的抑菌活性,但对在热点1区域有突变的分离株无效。多氧霉素Z的杀伤曲线总是与其各自的对照相似。60个阿尼芬净加 多氧霉素Z组合中的22个(36.7%)和60个米卡芬净加多氧霉素Z组合中的24个(40%)使CFU至少降低了100倍(协同作用),对野生型分离株的杀菌效果分别为41.7%和20%。从未观察到拮抗作用。在基因热点2有突变的分离株中也发现了类似结果,但这些组合对在基因热点1有明显突变的两株分离株无效。在野生型分离株中同时抑制β-1,3-葡聚糖和几丁质合酶产生的杀伤率明显高于单独使用任何一种药物。有必要进行进一步研究以验证棘白菌素加多氧霉素Z组合对棘白菌素敏感的分离株的临床疗效。