Suppr超能文献

年轻人和老年人对语音节奏的差异敏感性。

Differential sensitivity to speech rhythms in young and older adults.

作者信息

Pearson Dylan V, Shen Yi, McAuley J Devin, Kidd Gary R

机构信息

Department of Speech, Language, and Hearing Sciences, Indiana University, Bloomington, IN, United States.

Department of Speech and Hearing Sciences, University of Washington, Seattle, WA, United States.

出版信息

Front Psychol. 2023 May 12;14:1160236. doi: 10.3389/fpsyg.2023.1160236. eCollection 2023.

Abstract

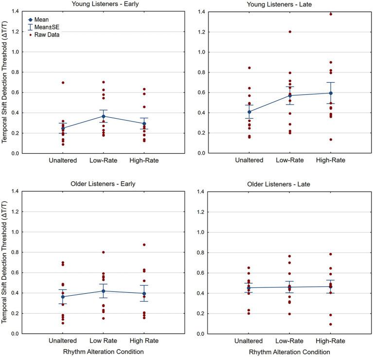
Sensitivity to the temporal properties of auditory patterns tends to be poorer in older listeners, and this has been hypothesized to be one factor contributing to their poorer speech understanding. This study examined sensitivity to speech rhythms in young and older normal-hearing subjects, using a task designed to measure the effect of speech rhythmic context on the detection of changes in the timing of word onsets in spoken sentences. A temporal-shift detection paradigm was used in which listeners were presented with an intact sentence followed by two versions of the sentence in which a portion of speech was replaced with a silent gap: one with correct gap timing (the same duration as the missing speech) and one with altered gap timing (shorter or longer than the duration of the missing speech), resulting in an early or late resumption of the sentence after the gap. The sentences were presented with either an intact rhythm or an altered rhythm preceding the silent gap. Listeners judged which sentence had the altered gap timing, and thresholds for the detection of deviations from the correct timing were calculated separately for shortened and lengthened gaps. Both young and older listeners demonstrated lower thresholds in the intact rhythm condition than in the altered rhythm conditions. However, shortened gaps led to lower thresholds than lengthened gaps for the young listeners, while older listeners were not sensitive to the direction of the change in timing. These results show that both young and older listeners rely on speech rhythms to generate temporal expectancies for upcoming speech events. However, the absence of lower thresholds for shortened gaps among the older listeners indicates a change in speech-timing expectancies with age. A further examination of individual differences within the older group revealed that those with better rhythm-discrimination abilities (from a separate study) tended to show the same heightened sensitivity to early events observed with the young listeners.

摘要

老年听众对听觉模式的时间特性的敏感度往往较低,据推测,这是导致他们言语理解能力较差的一个因素。本研究使用一项任务来检验年轻和老年听力正常受试者对言语节奏的敏感度,该任务旨在测量言语节奏背景对检测口语句子中单词起始时间变化的影响。采用了一种时间偏移检测范式,即先向听众呈现一个完整的句子,然后呈现该句子的两个版本,其中一部分语音被静音间隙取代:一个间隙时间正确(与缺失语音的持续时间相同),另一个间隙时间改变(短于或长于缺失语音的持续时间),导致间隙后句子的恢复提前或延迟。在静音间隙之前,句子以完整节奏或改变后的节奏呈现。听众判断哪个句子的间隙时间发生了改变,并分别计算缩短间隙和延长间隙时检测与正确时间偏差的阈值。年轻和老年听众在完整节奏条件下的阈值均低于改变节奏条件下的阈值。然而,对于年轻听众来说,缩短的间隙导致的阈值低于延长的间隙,而老年听众对时间变化的方向不敏感。这些结果表明,年轻和老年听众都依赖言语节奏来为即将到来的言语事件生成时间预期。然而,老年听众在缩短间隙时没有较低的阈值,这表明随着年龄的增长,言语时间预期发生了变化。对老年组个体差异的进一步研究表明,那些节奏辨别能力较好的人(来自另一项研究)往往表现出与年轻听众相同的对早期事件的更高敏感度。

https://cdn.ncbi.nlm.nih.gov/pmc/blobs/d725/10213510/42abb256107b/fpsyg-14-1160236-g001.jpg

文献AI研究员

20分钟写一篇综述,助力文献阅读效率提升50倍。

立即体验

用中文搜PubMed

大模型驱动的PubMed中文搜索引擎

马上搜索

文档翻译

学术文献翻译模型,支持多种主流文档格式。

立即体验