Wang Chenchen, Mao Song, Li Longjiang
College of Mining, Guizhou University Guiyang 550025 China.
Guizhou Key Laboratory of Comprehensive Utilization of Non-metallic Mineral Resources Guiyang 550025 China.
RSC Adv. 2023 May 31;13(24):16300-16310. doi: 10.1039/d3ra02088f. eCollection 2023 May 30.
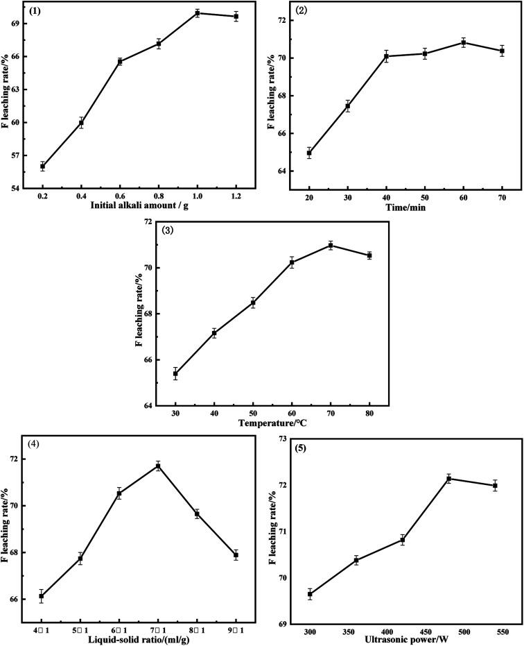
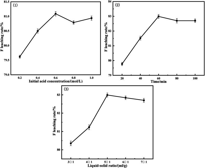
Under the assistance of ultrasound, the fluoride in the spent cathode carbon of aluminum electrolysis was recovered by the process of washing first and then leaching. The effects of time, temperature, liquid-solid ratio, ultrasonic power, alkali amount and acid concentration on the leaching rate of fluoride were investigated. The useful components in the leaching solution were recovered by evaporation crystallization and cryolite regeneration. The tests of X-ray diffraction (XRD), X-ray fluorescence spectroscopy (XRF), and scanning electron microscopy combined with energy dispersive spectroscopy (SEM-EDS) showed that under the optimal experimental conditions (water washing: 50 s, 3 : 1, 420 W; alkaline leaching: alkali amount 1 g, 60 min, 70 °C, 7 : 1, 480 W; acid leaching: acid concentration 0.6 mol L, 60 min, 5 : 1, 70 °C, 480 W), the leaching rate of fluoride was 82.99%, and the fluoride contents recovered in the water washing and leaching processes are 94.67% and 95%, respectively. There is no solid waste and waste water in the whole experimental process.
在超声辅助下,采用先水洗后浸出的工艺回收铝电解废阴极炭中的氟化物。考察了时间、温度、液固比、超声功率、碱用量和酸浓度对氟浸出率的影响。通过蒸发结晶和冰晶石再生回收浸出液中的有用成分。X射线衍射(XRD)、X射线荧光光谱(XRF)以及扫描电子显微镜结合能谱(SEM-EDS)测试表明,在最佳实验条件下(水洗:50 s,3∶1,420 W;碱浸:碱用量1 g,60 min,70℃,7∶1,480 W;酸浸:酸浓度0.6 mol·L,60 min,5∶1,70℃,480 W),氟的浸出率为82.99%,水洗和浸出过程中回收的氟含量分别为94.67%和95%。整个实验过程无固体废物和废水产生。