Department of Plant and Microbial Biology, University of Zurich, Zürich, Switzerland.
European Commission, Joint Research Centre (JRC), Ispra, VA, Italy.
Nat Commun. 2023 Jun 8;14(1):3311. doi: 10.1038/s41467-023-37937-4.
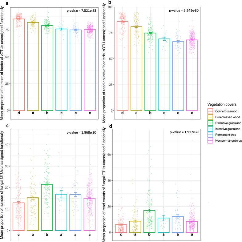
Factors driving microbial community composition and diversity are well established but the relationship with microbial functioning is poorly understood, especially at large scales. We analysed microbial biodiversity metrics and distribution of potential functional groups along a gradient of increasing land-use perturbation, detecting over 79,000 bacterial and 25,000 fungal OTUs in 715 sites across 24 European countries. We found the lowest bacterial and fungal diversity in less-disturbed environments (woodlands) compared to grasslands and highly-disturbed environments (croplands). Highly-disturbed environments contain significantly more bacterial chemoheterotrophs, harbour a higher proportion of fungal plant pathogens and saprotrophs, and have less beneficial fungal plant symbionts compared to woodlands and extensively-managed grasslands. Spatial patterns of microbial communities and predicted functions are best explained when interactions among the major determinants (vegetation cover, climate, soil properties) are considered. We propose guidelines for environmental policy actions and argue that taxonomical and functional diversity should be considered simultaneously for monitoring purposes.
驱动微生物群落组成和多样性的因素已经得到很好的确定,但它们与微生物功能的关系还知之甚少,尤其是在大尺度上。我们分析了微生物生物多样性指标和潜在功能群的分布,沿着一个土地利用干扰程度增加的梯度,在 24 个欧洲国家的 715 个地点检测到超过 79000 个细菌和 25000 个真菌 OTUs。与草地和高度干扰环境(耕地)相比,在受干扰较小的环境(林地)中,细菌和真菌多样性最低。高度干扰的环境中含有更多的细菌化能异养生物,拥有更高比例的真菌植物病原体和腐生物,与林地和集约管理的草地相比,有益的真菌植物共生体较少。当考虑主要决定因素(植被覆盖、气候、土壤特性)之间的相互作用时,微生物群落和预测功能的空间模式得到了最好的解释。我们提出了环境政策行动的指导方针,并认为在监测目的时,应该同时考虑分类学和功能多样性。