• 文献检索
  • 文档翻译
  • 深度研究
  • 学术资讯
  • Suppr Zotero 插件Zotero 插件
  • 邀请有礼
  • 套餐&价格
  • 历史记录
应用&插件
Suppr Zotero 插件Zotero 插件浏览器插件Mac 客户端Windows 客户端微信小程序
定价
高级版会员购买积分包购买API积分包
服务
文献检索文档翻译深度研究API 文档MCP 服务
关于我们
关于 Suppr公司介绍联系我们用户协议隐私条款
关注我们

Suppr 超能文献

核心技术专利:CN118964589B侵权必究
粤ICP备2023148730 号-1Suppr @ 2026

文献检索

告别复杂PubMed语法,用中文像聊天一样搜索,搜遍4000万医学文献。AI智能推荐,让科研检索更轻松。

立即免费搜索

文件翻译

保留排版,准确专业,支持PDF/Word/PPT等文件格式,支持 12+语言互译。

免费翻译文档

深度研究

AI帮你快速写综述,25分钟生成高质量综述,智能提取关键信息,辅助科研写作。

立即免费体验

在高频和高直流磁场下 NbTi 薄膜中的涡旋动力学。

Vortex dynamics in NbTi films at high frequency and high DC magnetic fields.

机构信息

Department of Applied Science and Technology, Politecnico di Torino, 10129, Turin, Italy.

Istituto Nazionale di Fisica Nucleare, Sezione di Torino, 10125, Turin, Italy.

出版信息

Sci Rep. 2023 Jun 8;13(1):9315. doi: 10.1038/s41598-023-36473-x.

DOI:10.1038/s41598-023-36473-x
PMID:37291201
原文链接:https://pmc.ncbi.nlm.nih.gov/articles/PMC10250406/
Abstract

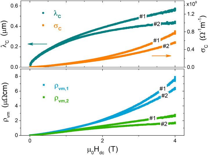
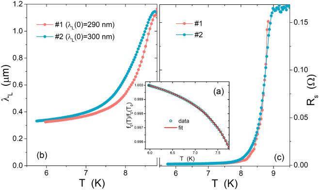
We report on the characterization of NbTi films at [Formula: see text] 11 GHz and in DC magnetic fields up to 4 T, performed by means of the coplanar waveguide resonator technique, providing quantitative information about the penetration depth, the complex impedance, and the vortex-motion-induced complex resistivity. This kind of characterization is essential for the development of radiofrequency cavity technology. To access the vortex-pinning parameters, the complex impedance was analyzed within the formalism of the Campbell penetration depth. Measurements in this frequency range allowed us to determine the complete set of vortex-pinning parameters and the flux flow resistivity, both analyzed and discussed in the framework of high-frequency vortex dynamics models. The analysis also benefits from the comparison with results obtained by a dielectric-loaded resonator technique on similar samples and by other ancillary structural and electromagnetic characterization techniques that provide us with a comprehensive picture of the material. It turns out that the normalized flux flow resistivity follows remarkably well the trend predicted by the time dependent Ginzburg-Landau theory, while the pinning constant exhibits a decreasing trend with the field which points to a collective pinning regime.

摘要

我们报告了在[Formula: see text]11 GHz 及高达 4 T 的直流磁场下 NbTi 薄膜的特性,这是通过共面波导谐振器技术实现的,提供了关于穿透深度、复阻抗和涡旋运动引起的复电阻率的定量信息。这种特性对于射频腔技术的发展至关重要。为了获取涡旋钉扎参数,我们在坎贝尔穿透深度的形式主义内分析了复阻抗。在这个频率范围内的测量使我们能够确定完整的涡旋钉扎参数集和通量流动电阻率,并在高频涡旋动力学模型的框架内进行了分析和讨论。分析还得益于与类似样品的介电加载谐振器技术以及其他辅助结构和电磁特性技术的结果进行比较,这些结果为我们提供了材料的全面情况。结果表明,归一化通量流动电阻率非常好地遵循了时变的吉布斯-朗道理论所预测的趋势,而钉扎常数随着磁场的减小呈下降趋势,这表明存在集体钉扎状态。

https://cdn.ncbi.nlm.nih.gov/pmc/blobs/02a3/10250406/34873d115ba9/41598_2023_36473_Fig8_HTML.jpg
https://cdn.ncbi.nlm.nih.gov/pmc/blobs/02a3/10250406/9ffa0d5c6382/41598_2023_36473_Fig1_HTML.jpg
https://cdn.ncbi.nlm.nih.gov/pmc/blobs/02a3/10250406/0a9c77200428/41598_2023_36473_Fig2_HTML.jpg
https://cdn.ncbi.nlm.nih.gov/pmc/blobs/02a3/10250406/1173174774db/41598_2023_36473_Fig3_HTML.jpg
https://cdn.ncbi.nlm.nih.gov/pmc/blobs/02a3/10250406/24adbf5b8f4c/41598_2023_36473_Fig4_HTML.jpg
https://cdn.ncbi.nlm.nih.gov/pmc/blobs/02a3/10250406/ded0e1ef4aa2/41598_2023_36473_Fig5_HTML.jpg
https://cdn.ncbi.nlm.nih.gov/pmc/blobs/02a3/10250406/85f83a912fdb/41598_2023_36473_Fig6_HTML.jpg
https://cdn.ncbi.nlm.nih.gov/pmc/blobs/02a3/10250406/fc9a9294d838/41598_2023_36473_Fig7_HTML.jpg
https://cdn.ncbi.nlm.nih.gov/pmc/blobs/02a3/10250406/34873d115ba9/41598_2023_36473_Fig8_HTML.jpg
https://cdn.ncbi.nlm.nih.gov/pmc/blobs/02a3/10250406/9ffa0d5c6382/41598_2023_36473_Fig1_HTML.jpg
https://cdn.ncbi.nlm.nih.gov/pmc/blobs/02a3/10250406/0a9c77200428/41598_2023_36473_Fig2_HTML.jpg
https://cdn.ncbi.nlm.nih.gov/pmc/blobs/02a3/10250406/1173174774db/41598_2023_36473_Fig3_HTML.jpg
https://cdn.ncbi.nlm.nih.gov/pmc/blobs/02a3/10250406/24adbf5b8f4c/41598_2023_36473_Fig4_HTML.jpg
https://cdn.ncbi.nlm.nih.gov/pmc/blobs/02a3/10250406/ded0e1ef4aa2/41598_2023_36473_Fig5_HTML.jpg
https://cdn.ncbi.nlm.nih.gov/pmc/blobs/02a3/10250406/85f83a912fdb/41598_2023_36473_Fig6_HTML.jpg
https://cdn.ncbi.nlm.nih.gov/pmc/blobs/02a3/10250406/fc9a9294d838/41598_2023_36473_Fig7_HTML.jpg
https://cdn.ncbi.nlm.nih.gov/pmc/blobs/02a3/10250406/34873d115ba9/41598_2023_36473_Fig8_HTML.jpg

相似文献

1
Vortex dynamics in NbTi films at high frequency and high DC magnetic fields.在高频和高直流磁场下 NbTi 薄膜中的涡旋动力学。
Sci Rep. 2023 Jun 8;13(1):9315. doi: 10.1038/s41598-023-36473-x.
2
Measurements of Surface Impedance in MgB in DC Magnetic Fields: Insights in Flux-Flow Resistivity.直流磁场中MgB表面阻抗的测量:通量流电阻率的见解
Materials (Basel). 2022 Dec 26;16(1):205. doi: 10.3390/ma16010205.
3
High frequency response of thick REBCO coated conductors in the framework of the FCC study.在联邦通信委员会(FCC)研究框架下厚REBCO涂层导体的高频响应
Sci Rep. 2020 Jul 23;10(1):12325. doi: 10.1038/s41598-020-69004-z.
4
Evidence for weak collective pinning and δl pinning in topological superconductor Cu BiSe.拓扑超导体CuBiSe中弱集体钉扎和δl钉扎的证据。
J Phys Condens Matter. 2018 Aug 8;30(31):31LT01. doi: 10.1088/1361-648X/aacf6a. Epub 2018 Jun 27.
5
Effect of the proton irradiation on the thermally activated flux flow in superconducting SmBCO coated conductors.质子辐照对超导SmBCO涂层导体中热激活磁通流的影响。
Sci Rep. 2020 Feb 6;10(1):2017. doi: 10.1038/s41598-020-58936-1.
6
Collective flux pinning in hexatic vortex fluid in a-MoGe thin film.α-MoGe薄膜中六方涡旋流体的集体磁通钉扎
J Phys Condens Matter. 2020 Feb 13;32(7):075601. doi: 10.1088/1361-648X/ab52b8. Epub 2019 Oct 30.
7
Thickness-modulated tungsten-carbon superconducting nanostructures grown by focused ion beam induced deposition for vortex pinning up to high magnetic fields.通过聚焦离子束诱导沉积生长的厚度调制钨碳超导纳米结构,用于在高磁场下实现涡旋钉扎。
Beilstein J Nanotechnol. 2016 Nov 14;7:1698-1708. doi: 10.3762/bjnano.7.162. eCollection 2016.
8
No interface energy barrier and increased surface pinning in low temperature baked niobium.低温烘烤铌中无界面能垒且表面钉扎增加。
Sci Rep. 2022 Apr 1;12(1):5522. doi: 10.1038/s41598-022-09023-0.
9
Angle dependent molecular dynamics simulation of flux pinning in YBCO superconductors with artificial pinning sites.具有人工钉扎位点的YBCO超导体中磁通钉扎的角度相关分子动力学模拟
J Phys Condens Matter. 2018 Aug 8;30(31):315902. doi: 10.1088/1361-648X/aad02b. Epub 2018 Jun 29.
10
Strong isotropic flux pinning in solution-derived YBa2Cu3O7-x nanocomposite superconductor films.溶液衍生的YBa2Cu3O7-x纳米复合超导薄膜中的强各向同性磁通钉扎
Nat Mater. 2007 May;6(5):367-73. doi: 10.1038/nmat1893. Epub 2007 Apr 22.

本文引用的文献

1
Time-dependent Ginzburg-Landau treatment of rf magnetic vortices in superconductors: Vortex semiloops in a spatially nonuniform magnetic field.超导体中射频磁涡旋的含时金兹堡-朗道理论:空间非均匀磁场中的涡旋半环
Phys Rev E. 2020 Mar;101(3-1):033306. doi: 10.1103/PhysRevE.101.033306.
2
Evidence for rapid suppression of quasiparticle scattering below Tc in YBa2Cu3O7- delta.YBa₂Cu₃O₇₋ₓ中低于Tc时准粒子散射快速抑制的证据。
Phys Rev Lett. 1992 Apr 13;68(15):2390-2393. doi: 10.1103/PhysRevLett.68.2390.
3
Unified theory of effects of vortex pinning and flux creep upon the rf surface impedance of type-II superconductors.
Phys Rev Lett. 1991 Jul 15;67(3):386-389. doi: 10.1103/PhysRevLett.67.386.
4
Transport properties and fluctuations in type-II superconductors near Hc2.II型超导体在Hc2附近的输运性质与涨落
Phys Rev B Condens Matter. 1993 Feb 1;47(5):2715-2724. doi: 10.1103/physrevb.47.2715.