Suppr超能文献

氧化条件下烘焙农业副产品的差异识别与燃料特性比较

Identification of differences and comparison of fuel characteristics of torrefied agro-byproducts under oxidative conditions.

作者信息

Park Sunyong, Kim Seok Jun, Oh Kwang Cheol, Cho Lahoon, Jeon Young Kwang, Kim DaeHyun

机构信息

Department of Interdisciplinary Program in Smart Agriculture, Kangwon National University, Hyoja 2 Dong 192-1, Chuncheon-si, Republic of Korea.

Agriculture and Life Science Research Institute, Kangwon National University, Hyoja 2 Dong 192-1, Chuncheon-si, Republic of Korea.

出版信息

Heliyon. 2023 May 26;9(6):e16746. doi: 10.1016/j.heliyon.2023.e16746. eCollection 2023 Jun.

Abstract

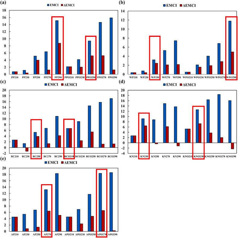
Torrefaction is a pretreatment method for upgrading biomass into solid fuels. This study aimed to investigate the properties of agro-byproducts pretreated under different oxidative conditions at temperatures of 210-290 °C for 1 h to determine optimal operating conditions for upgrading biomass. The mass yields of lignocellulosic and herbaceous biomass were 90.27-42.20% and 92.00-45.50% and 85.71-27.23% and 88.09-41.58% under oxidative and reductive conditions, respectively. The calorific value of lignocellulosic and herbaceous biomass under oxidative conditions increased by approximately 0.14-9.60% and 3.98-20.02%, respectively. Energy yield of lignocellulosic and herbaceous biomass showed 63.78-96.93% and 90.77-44.39% showed 88.09-41.58% and 92.38-27.23% under oxygen-rich and deficit conditions. A decrease in oxygen and an increase in carbon dioxide and carbon monoxide were confirmed through gas measurements. Torrefaction evaluations were conducted using energy-mass co-benefit index (EMCI). Decreases of ΔEMCI were observed under certain conditions. Both oxidative and reductive conditions can be employed for pepper stems, wood pellets, and pruned apple branches. Based on standards, the optimal temperatures for pepper stems, wood pellets, and pruned apple branches in oxidative conditions were 250, 270, and 250 °C, respectively.

摘要

烘焙是一种将生物质升级为固体燃料的预处理方法。本研究旨在探究在210-290℃温度下,于不同氧化条件下预处理1小时的农业副产品的特性,以确定生物质升级的最佳操作条件。木质纤维素生物质和草本生物质在氧化和还原条件下的质量产率分别为90.27-42.20%和92.00-45.50%,以及85.71-27.23%和88.09-41.58%。木质纤维素生物质和草本生物质在氧化条件下的热值分别提高了约0.14-9.60%和3.98-20.02%。木质纤维素生物质和草本生物质在富氧和缺氧条件下的能量产率分别为63.78-96.93%和90.77-44.39%,以及88.09-41.58%和92.38-27.23%。通过气体测量证实了氧气减少以及二氧化碳和一氧化碳增加。使用能量-质量协同效益指数(EMCI)进行烘焙评估。在某些条件下观察到ΔEMCI降低。氧化和还原条件均可用于辣椒茎、木屑颗粒和修剪后的苹果树枝。根据标准,辣椒茎、木屑颗粒和修剪后的苹果树枝在氧化条件下的最佳温度分别为25℃、270℃和250℃。

https://cdn.ncbi.nlm.nih.gov/pmc/blobs/e49c/10245260/56b97924c233/gr1.jpg

文献AI研究员

20分钟写一篇综述,助力文献阅读效率提升50倍。

立即体验

用中文搜PubMed

大模型驱动的PubMed中文搜索引擎

马上搜索

文档翻译

学术文献翻译模型,支持多种主流文档格式。

立即体验