Suppr超能文献

对比增强CT扫描的长度调整腹部动脉钙化评分方法的验证

Validation of a Length-Adjusted Abdominal Arterial Calcium Score Method for Contrast-Enhanced CT Scans.

作者信息

Devia-Rodriguez Raul, Derksen Maikel, de Groot Kristian, Vedder Issi R, Zeebregts Clark J, Bokkers Reinoud P H, Pol Robert A, de Vries Jean-Paul P M, Schuurmann Richte C L

机构信息

Department of Surgery, Division of Vascular Surgery, University Medical Center Groningen, University of Groningen, 9713 GZ Groningen, The Netherlands.

Department of Radiology, Medical Imaging Center, University Medical Center Groningen, University of Groningen, 9700 RB Groningen, The Netherlands.

出版信息

Diagnostics (Basel). 2023 Jun 1;13(11):1934. doi: 10.3390/diagnostics13111934.

Abstract

BACKGROUND

The Agatston score on noncontrast computed tomography (CT) scans is the gold standard for calcium load determination. However, contrast-enhanced CT is commonly used for patients with atherosclerotic cardiovascular diseases (ASCVDs), such as peripheral arterial occlusive disease (PAOD) and abdominal aortic aneurysm (AAA). Currently, there is no validated method to determine calcium load in the aorta and peripheral arteries with a contrast-enhanced CT. This study validated a length-adjusted calcium score (LACS) method for contrast-enhanced CT scans.

METHOD

The LACS (calcium volume in mm/arterial length in cm) in the abdominal aorta was calculated using four-phase liver CT scans of 30 patients treated between 2017 and 2021 at the University Medical Center Groningen (UMCG) with no aortic disease. Noncontrast CT scans were segmented with a 130 Hounsfield units (HU) threshold, and a patient-specific threshold was used for contrast-enhanced CTs. The LACS was calculated and compared from both segmentations. Secondly, the interobserver variability and the influence of slice thickness (0.75 mm vs. 2.0 mm) was determined.

RESULTS

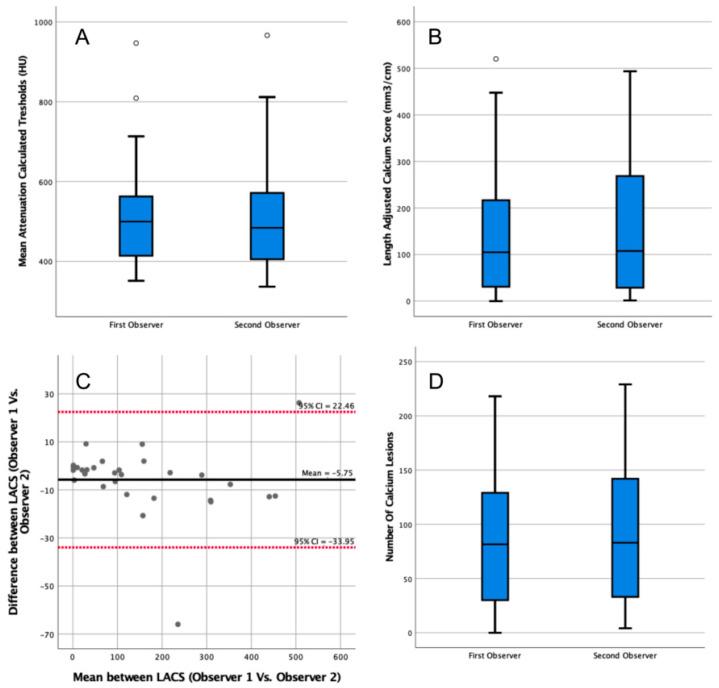
There was a high correlation between the LACS from contrast-enhanced CT scans and the LACS of noncontrast CTs ( = 0.98). A correction factor of 1.9 was established to convert the LACS derived from contrast-enhanced CT to noncontrast CT scans. LACS interobserver agreement on contrast-enhanced CT was excellent (1.0, 95% confidence interval = 1.0-1.0). The 0.75 mm CT threshold was 541 (459-625) HU compared with 500 (419-568) HU on 2 mm CTs ( = 0.15). LACS calculated with both thresholds was not significantly different ( = 0.63).

CONCLUSION

The LACS seems to be a robust method for scoring calcium load on contrast-enhanced CT scans in arterial segments with various lengths.

摘要

背景

非增强计算机断层扫描(CT)上的阿加斯顿评分是确定钙负荷的金标准。然而,对比增强CT常用于患有动脉粥样硬化性心血管疾病(ASCVD)的患者,如外周动脉闭塞性疾病(PAOD)和腹主动脉瘤(AAA)。目前,尚无经过验证的方法可通过对比增强CT确定主动脉和外周动脉中的钙负荷。本研究验证了一种用于对比增强CT扫描的长度校正钙评分(LACS)方法。

方法

使用格罗宁根大学医学中心(UMCG)在2017年至2021年期间治疗的30例无主动脉疾病患者的四期肝脏CT扫描,计算腹主动脉的LACS(钙体积,单位为mm/动脉长度,单位为cm)。非增强CT扫描以130亨氏单位(HU)阈值进行分割,对比增强CT则使用患者特异性阈值。计算并比较两种分割方式的LACS。其次,确定观察者间的变异性以及层厚(0.75mm与2.0mm)的影响。

结果

对比增强CT扫描的LACS与非增强CT的LACS之间存在高度相关性( = 0.98)。确定了一个1.9的校正因子,用于将对比增强CT得出的LACS转换为非增强CT扫描的LACS。对比增强CT上LACS的观察者间一致性极佳(1.0,95%置信区间 = 1.0 - 1.0)。0.75mm CT阈值为541(459 - 625)HU,而2mm CT的阈值为500(419 - 568)HU( = 0.15)。两种阈值计算出的LACS无显著差异( = 0.63)。

结论

LACS似乎是一种用于对不同长度动脉段的对比增强CT扫描进行钙负荷评分的可靠方法。

https://cdn.ncbi.nlm.nih.gov/pmc/blobs/9c06/10252261/fabeeaecdb8b/diagnostics-13-01934-g001.jpg

文献检索

告别复杂PubMed语法,用中文像聊天一样搜索,搜遍4000万医学文献。AI智能推荐,让科研检索更轻松。

立即免费搜索

文件翻译

保留排版,准确专业,支持PDF/Word/PPT等文件格式,支持 12+语言互译。

免费翻译文档

深度研究

AI帮你快速写综述,25分钟生成高质量综述,智能提取关键信息,辅助科研写作。

立即免费体验