• 文献检索
  • 文档翻译
  • 深度研究
  • 学术资讯
  • Suppr Zotero 插件Zotero 插件
  • 邀请有礼
  • 套餐&价格
  • 历史记录
应用&插件
Suppr Zotero 插件Zotero 插件浏览器插件Mac 客户端Windows 客户端微信小程序
定价
高级版会员购买积分包购买API积分包
服务
文献检索文档翻译深度研究API 文档MCP 服务
关于我们
关于 Suppr公司介绍联系我们用户协议隐私条款
关注我们

Suppr 超能文献

核心技术专利:CN118964589B侵权必究
粤ICP备2023148730 号-1Suppr @ 2026

文献检索

告别复杂PubMed语法,用中文像聊天一样搜索,搜遍4000万医学文献。AI智能推荐,让科研检索更轻松。

立即免费搜索

文件翻译

保留排版,准确专业,支持PDF/Word/PPT等文件格式,支持 12+语言互译。

免费翻译文档

深度研究

AI帮你快速写综述,25分钟生成高质量综述,智能提取关键信息,辅助科研写作。

立即免费体验

肌电图与动态运动期间近红外光谱的关系。

Relationship between EMG and fNIRS during Dynamic Movements.

机构信息

Faculty of Mechatronics, Armament and Aviation, Institute of Rocket Technology and Mechatronics, Military University of Technology, 2 gen. S. Kaliskiego Street, 00-908 Warsaw, Poland.

Faculty of Mechanical Engineering, Institute of Mechanics & Computational Engineering, Military University of Technology, 2 gen. S. Kaliskiego Street, 00-908 Warsaw, Poland.

出版信息

Sensors (Basel). 2023 May 23;23(11):5004. doi: 10.3390/s23115004.

DOI:10.3390/s23115004
PMID:37299730
原文链接:https://pmc.ncbi.nlm.nih.gov/articles/PMC10255104/
Abstract

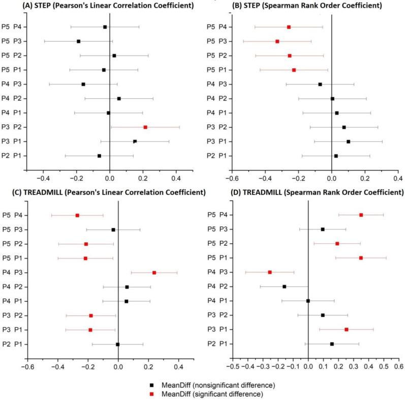
In the scientific literature focused on surface electromyography (sEMG) and functional near-infrared spectroscopy (fNIRS), which have been described together and separately many times, presenting different possible applications, researchers have explored a diverse range of topics related to these advanced physiological measurement techniques. However, the analysis of the two signals and their interrelationships continues to be a focus of study in both static and dynamic movements. The main purpose of this study was to determine the relationship between signals during dynamic movements. To carry out the analysis described, the authors of this research paper chose two sports exercise protocols: the Astrand-Rhyming Step Test and the Astrand Treadmill Test. In this study, oxygen consumption and muscle activity were recorded from the gastrocnemius muscle of the left leg of five female participants. This study found positive correlations between EMG and fNIRS signals in all participants: 0.343-0.788 (median-Pearson) and 0.192-0.832 (median-Spearman). On the treadmill, the signal correlations between the participants with the most active and least active lifestyle achieved the following medians: 0.788 (Pearson)/0.832 (Spearman) and 0.470 (Pearson)/0.406 (Spearman), respectively. The shapes of the changes in the EMG and fNIRS signals during exercise suggest a mutual relationship during dynamic movements. Furthermore, during the treadmill test, a higher correlation was observed between the EMG and NIRS signals in participants with a more active lifestyle. Due to the sample size, the results should be interpreted with caution.

摘要

在专注于表面肌电图 (sEMG) 和功能近红外光谱 (fNIRS) 的科学文献中,这两种技术已经被多次同时和分别描述,展示了不同的可能应用,研究人员探索了与这些先进生理测量技术相关的各种主题。然而,对两种信号的分析及其相互关系仍然是静态和动态运动研究的重点。本研究的主要目的是确定动态运动中信号之间的关系。为了进行描述的分析,本研究论文的作者选择了两种运动测试方案:Astrand-Rhyming 踏步测试和 Astrand 跑步机测试。在这项研究中,记录了 5 名女性参与者左腿腓肠肌的耗氧量和肌肉活动。本研究发现,所有参与者的 EMG 和 fNIRS 信号之间存在正相关:0.343-0.788(中位数-皮尔逊)和 0.192-0.832(中位数-斯皮尔曼)。在跑步机上,最活跃和最不活跃生活方式的参与者之间的信号相关性达到了以下中位数:0.788(皮尔逊)/0.832(斯皮尔曼)和 0.470(皮尔逊)/0.406(斯皮尔曼)。在运动过程中,EMG 和 fNIRS 信号的变化形状表明了动态运动中相互之间的关系。此外,在跑步机测试中,生活方式更活跃的参与者的 EMG 和 NIRS 信号之间的相关性更高。由于样本量较小,结果应谨慎解释。

https://cdn.ncbi.nlm.nih.gov/pmc/blobs/023f/10255104/f1e04afbdee3/sensors-23-05004-g005.jpg
https://cdn.ncbi.nlm.nih.gov/pmc/blobs/023f/10255104/a6ac4fccd43d/sensors-23-05004-g001.jpg
https://cdn.ncbi.nlm.nih.gov/pmc/blobs/023f/10255104/184889d339e0/sensors-23-05004-g002.jpg
https://cdn.ncbi.nlm.nih.gov/pmc/blobs/023f/10255104/139e3443b5b8/sensors-23-05004-g003.jpg
https://cdn.ncbi.nlm.nih.gov/pmc/blobs/023f/10255104/6d6f21bea74b/sensors-23-05004-g004.jpg
https://cdn.ncbi.nlm.nih.gov/pmc/blobs/023f/10255104/f1e04afbdee3/sensors-23-05004-g005.jpg
https://cdn.ncbi.nlm.nih.gov/pmc/blobs/023f/10255104/a6ac4fccd43d/sensors-23-05004-g001.jpg
https://cdn.ncbi.nlm.nih.gov/pmc/blobs/023f/10255104/184889d339e0/sensors-23-05004-g002.jpg
https://cdn.ncbi.nlm.nih.gov/pmc/blobs/023f/10255104/139e3443b5b8/sensors-23-05004-g003.jpg
https://cdn.ncbi.nlm.nih.gov/pmc/blobs/023f/10255104/6d6f21bea74b/sensors-23-05004-g004.jpg
https://cdn.ncbi.nlm.nih.gov/pmc/blobs/023f/10255104/f1e04afbdee3/sensors-23-05004-g005.jpg

相似文献

1
Relationship between EMG and fNIRS during Dynamic Movements.肌电图与动态运动期间近红外光谱的关系。
Sensors (Basel). 2023 May 23;23(11):5004. doi: 10.3390/s23115004.
2
Influence of muscle activity on brain oxygenation during verbal fluency assessed with functional near-infrared spectroscopy.功能性近红外光谱评估言语流畅性时肌肉活动对脑氧合的影响。
Neuroscience. 2010 Dec 1;171(2):434-42. doi: 10.1016/j.neuroscience.2010.08.072. Epub 2010 Sep 19.
3
Dry Epidermal Electrodes Can Provide Long-Term High Fidelity Electromyography for Limited Dynamic Lower Limb Movements.干性表皮电极可用于有限动态下肢运动提供长期高保真肌电图。
Sensors (Basel). 2020 Aug 27;20(17):4848. doi: 10.3390/s20174848.
4
Amplitude and frequency changes in surface EMG of biceps femoris during five days Bruce Protocol treadmill test.在五天布鲁斯运动试验跑步机测试期间股二头肌表面肌电图的幅度和频率变化。
Annu Int Conf IEEE Eng Med Biol Soc. 2015;2015:6219-22. doi: 10.1109/EMBC.2015.7319813.
5
Principal postural acceleration and myoelectric activity: Interrelationship and relevance for characterizing neuromuscular function in postural control.主要姿势加速度和肌电活动:在姿势控制中用于描述神经肌肉功能的相互关系和相关性。
Hum Mov Sci. 2021 Jun;77:102792. doi: 10.1016/j.humov.2021.102792. Epub 2021 Apr 13.
6
Peak and average rectified EMG measures: which method of data reduction should be used for assessing core training exercises?峰值和平均整流肌电图测量:在评估核心训练练习时,应该使用哪种数据缩减方法?
J Electromyogr Kinesiol. 2011 Feb;21(1):102-11. doi: 10.1016/j.jelekin.2010.06.001. Epub 2010 Jul 23.
7
Continuous estimation of finger joint angles using muscle activation inputs from surface EMG signals.利用表面肌电信号的肌肉激活输入持续估计手指关节角度。
Annu Int Conf IEEE Eng Med Biol Soc. 2012;2012:2756-9. doi: 10.1109/EMBC.2012.6346535.
8
Contributions to the understanding of gait control.对步态控制理解的贡献。
Dan Med J. 2014 Apr;61(4):B4823.
9
Valid measures of periodic leg movements (PLMs) during a suggested immobilization test using the PAM-RL leg activity monitors require adjusting detection parameters for noise and signal in each recording.有效测量使用 PAM-RL 腿部活动监测器进行建议的制动试验期间的周期性腿部运动 (PLM) 需要针对每个记录中的噪声和信号调整检测参数。
Sleep Med. 2014 Jan;15(1):132-7. doi: 10.1016/j.sleep.2013.08.788. Epub 2013 Oct 16.
10
Motor co-ordinates in primate red nucleus: preferential relation to muscle activation versus kinematic variables.灵长类动物红核中的运动坐标:与肌肉激活和运动学变量的优先关系。
J Physiol. 1995 Oct 15;488 ( Pt 2)(Pt 2):533-48. doi: 10.1113/jphysiol.1995.sp020988.

引用本文的文献

1
Time-variability of muscle oxygen saturation during graded maximal exercise.递增负荷最大运动过程中肌肉氧饱和度的时间变异性。
Eur J Appl Physiol. 2025 Jul 21. doi: 10.1007/s00421-025-05871-6.
2
Interplay Among Muscle Oxygen Saturation, Activation, and Power on a Swim-Bench.游泳训练台上肌肉氧饱和度、激活程度与力量之间的相互作用
Sensors (Basel). 2025 Jul 3;25(13):4148. doi: 10.3390/s25134148.
3
Changes in muscle oxygenation and activity during cumulative isometric muscle contraction: new insight into muscle fatigue.累积等长肌肉收缩过程中肌肉氧合和活动的变化:对肌肉疲劳的新见解。

本文引用的文献

1
Identification of muscle movements and activity by experimental methods for selected cases - stage#1.通过实验方法对选定病例进行肌肉运动和活动识别 - 第1阶段。
Acta Bioeng Biomech. 2022;24(3):69-82.
2
Identification of muscle movements and activity by experimental methods for selected cases - stage #2.通过实验方法对选定案例进行肌肉运动和活动的识别 - 第 2 阶段。
Acta Bioeng Biomech. 2022;24(4):3-11.
3
Advanced Bioelectrical Signal Processing Methods: Past, Present, and Future Approach-Part III: Other Biosignals.高级生物电信号处理方法:过去、现在和未来方法 - 第三部分:其他生物信号。
Front Physiol. 2025 Apr 2;16:1559893. doi: 10.3389/fphys.2025.1559893. eCollection 2025.
4
Impact of rTMS and iTBS on Cerebral Hemodynamics and Swallowing in Unilateral Stroke: Insights from fNIRS.重复经颅磁刺激和间歇性θ波爆发刺激对单侧卒中患者脑血流动力学及吞咽功能的影响:基于功能近红外光谱技术的见解
Med Sci Monit. 2025 Jan 10;31:e944521. doi: 10.12659/MSM.944521.
5
Quantitative assessment of muscle fatigue during rowing ergometer exercise using wavelet analysis of surface electromyography (sEMG).使用表面肌电图(sEMG)的小波分析对划船测力计运动期间的肌肉疲劳进行定量评估。
Front Bioeng Biotechnol. 2024 Feb 28;12:1344239. doi: 10.3389/fbioe.2024.1344239. eCollection 2024.
6
Wavelet Analysis of Respiratory Muscle sEMG Signals during the Physiological Breakpoint of Static Dry End-Expiratory Breath-Holding in Naive Apneists: A Pilot Study.静息性干末呼气阻断生理转折点时呼吸肌表面肌电信号的小波分析:一项初步研究。
Sensors (Basel). 2023 Aug 16;23(16):7200. doi: 10.3390/s23167200.
7
Mechanomyography Signal Pattern Recognition of Knee and Ankle Movements Using Swarm Intelligence Algorithm-Based Feature Selection Methods.基于群体智能算法的特征选择方法对膝关节和踝关节运动的肌电信号模式识别。
Sensors (Basel). 2023 Aug 4;23(15):6939. doi: 10.3390/s23156939.
Sensors (Basel). 2021 Sep 10;21(18):6064. doi: 10.3390/s21186064.
4
Best practices for fNIRS publications.功能近红外光谱(fNIRS)出版物的最佳实践。
Neurophotonics. 2021 Jan;8(1):012101. doi: 10.1117/1.NPh.8.1.012101. Epub 2021 Jan 7.
5
Amplitude of fNIRS Resting-State Global Signal Is Related to EEG Vigilance Measures: A Simultaneous fNIRS and EEG Study.功能近红外光谱静息态全局信号的幅度与脑电图警觉性测量指标相关:一项功能近红外光谱与脑电图同步研究
Front Neurosci. 2020 Dec 3;14:560878. doi: 10.3389/fnins.2020.560878. eCollection 2020.
6
Validation of Fabric-Based Thigh-Wearable EMG Sensors and Oximetry for Monitoring Quadriceps Activity during Strength and Endurance Exercises.织物式大腿可穿戴肌电传感器和血氧仪在力量和耐力运动中监测股四头肌活动的验证。
Sensors (Basel). 2020 Aug 19;20(17):4664. doi: 10.3390/s20174664.
7
Sport Biomechanics Applications Using Inertial, Force, and EMG Sensors: A Literature Overview.使用惯性、力和肌电图传感器的运动生物力学应用:文献综述。
Appl Bionics Biomech. 2020 Jun 23;2020:2041549. doi: 10.1155/2020/2041549. eCollection 2020.
8
A Critical Review of Consumer Wearables, Mobile Applications, and Equipment for Providing Biofeedback, Monitoring Stress, and Sleep in Physically Active Populations.对消费级可穿戴设备、移动应用程序以及为体育活动人群提供生物反馈、监测压力和睡眠的设备的批判性综述。
Front Physiol. 2018 Jun 28;9:743. doi: 10.3389/fphys.2018.00743. eCollection 2018.
9
Correlation Coefficients: Appropriate Use and Interpretation.相关系数:合理使用与解释。
Anesth Analg. 2018 May;126(5):1763-1768. doi: 10.1213/ANE.0000000000002864.
10
Muscle Oximetry in Sports Science: A Systematic Review.肌肉氧饱和度在运动科学中的应用:系统评价。
Sports Med. 2018 Mar;48(3):597-616. doi: 10.1007/s40279-017-0820-1.