Suppr超能文献

西北喜马拉雅山不同土地利用系统下的土壤有机碳库和碳管理指数。

Soil organic carbon pools and carbon management index under different land use systems in North western Himalayas.

机构信息

Division of Soil Science and Agricultural Chemistry, Faculty of Agriculture, SKUAST-Kashmir, Wadura, Jammu and Kashmir, India.

KVK Shopian, SKUAST-Kashmir, Shopian, Jammu and Kashmir, India.

出版信息

PeerJ. 2023 Jun 6;11:e15266. doi: 10.7717/peerj.15266. eCollection 2023.

Abstract

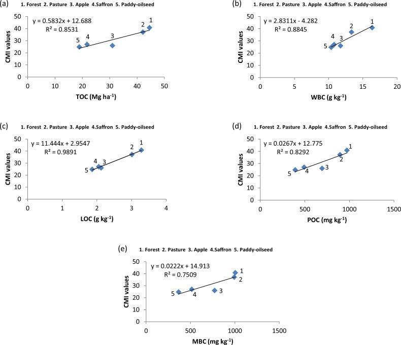
Current study was conducted to evaluate the effect of important land uses and soil depth on soil organic carbon pools viz. total organic carbon, Walkley and black carbon, labile organic carbon, particulate organic carbon, microbial biomass carbon and carbon management index (CMI) in the north Western Himalayas, India. Soil samples from five different land uses viz. forest, pasture, apple, saffron and paddy-oilseed were collected up to a depth of 1 m (0-30, 30-60, 60-90 cm). The results revealed that regardless of soil depth, all the carbon pools differed significantly ( < 0.05) among studied land use systems with maximum values observed under forest soils and lowest under paddy-oilseed soils. Further, upon evaluating the impact of soil depth, a significant ( < 0.05) decline and variation in all the carbon pools was observed with maximum values recorded in surface (0-30 cm) soils and least in sub-surface (60-90 cm) layers. CMI was higher in forest soils and lowest in paddy-oilseed. From regression analysis, a positive significant association (high R-squared values) between CMI and soil organic carbon pools was also observed at all three depths. Therefore, land use changes and soil depth had a significant impact on soil organic carbon pools and eventually on CMI, which is used as deterioration indicator or soil carbon rehabilitation that influences the universal goal of sustainability in the long run.

摘要

本研究旨在评估重要土地利用方式和土壤深度对土壤有机碳库的影响,包括总有机碳、沃克-布莱尔碳和黑碳、易有机碳、颗粒有机碳、微生物生物量碳和碳管理指数(CMI),研究区域位于印度喜马拉雅山西北部。从 5 种不同土地利用方式(森林、草地、苹果、藏红花和水稻-油菜)中采集了土壤样本,深度达 1 米(0-30cm、30-60cm、60-90cm)。结果表明,无论土壤深度如何,所有碳库在研究的土地利用系统之间均存在显著差异(P<0.05),其中森林土壤中的碳库最大,而水稻-油菜土壤中的碳库最小。进一步评估土壤深度的影响,所有碳库均呈显著(P<0.05)下降和变化,最大值出现在表层(0-30cm)土壤中,最小值出现在次表层(60-90cm)土壤中。CMI 在森林土壤中较高,在水稻-油菜土壤中最低。回归分析还表明,在所有 3 个深度下,CMI 与土壤有机碳库之间均存在显著正相关(高 R-squared 值)。因此,土地利用变化和土壤深度对土壤有机碳库产生了显著影响,最终影响到 CMI,CMI 被用作土壤碳退化的指示因子或土壤碳修复的指标,这从长远来看影响着可持续性的全球目标。

https://cdn.ncbi.nlm.nih.gov/pmc/blobs/9327/10252814/26baee080d4e/peerj-11-15266-g001.jpg

文献AI研究员

20分钟写一篇综述,助力文献阅读效率提升50倍。

立即体验

用中文搜PubMed

大模型驱动的PubMed中文搜索引擎

马上搜索

文档翻译

学术文献翻译模型,支持多种主流文档格式。

立即体验