• 文献检索
  • 文档翻译
  • 深度研究
  • 学术资讯
  • Suppr Zotero 插件Zotero 插件
  • 邀请有礼
  • 套餐&价格
  • 历史记录
应用&插件
Suppr Zotero 插件Zotero 插件浏览器插件Mac 客户端Windows 客户端微信小程序
定价
高级版会员购买积分包购买API积分包
服务
文献检索文档翻译深度研究API 文档MCP 服务
关于我们
关于 Suppr公司介绍联系我们用户协议隐私条款
关注我们

Suppr 超能文献

核心技术专利:CN118964589B侵权必究
粤ICP备2023148730 号-1Suppr @ 2026

文献检索

告别复杂PubMed语法,用中文像聊天一样搜索,搜遍4000万医学文献。AI智能推荐,让科研检索更轻松。

立即免费搜索

文件翻译

保留排版,准确专业,支持PDF/Word/PPT等文件格式,支持 12+语言互译。

免费翻译文档

深度研究

AI帮你快速写综述,25分钟生成高质量综述,智能提取关键信息,辅助科研写作。

立即免费体验

受不同土地利用类型影响的米佐拉姆邦(印度东北部)的土壤有机碳固存库(活性和被动)。

Active and passive soil organic carbon pools as affected by different land use types in Mizoram, Northeast India.

机构信息

Department of Forestry, School of Earth Sciences & Natural Resource Management, Mizoram University, Aizawl, Mizoram, India.

Department of Forestry, Dr. Rajendra Prasad Central Agricultural University, Pusa, Samastipur, Bihar, India.

出版信息

PLoS One. 2019 Jul 30;14(7):e0219969. doi: 10.1371/journal.pone.0219969. eCollection 2019.

DOI:10.1371/journal.pone.0219969
PMID:31361769
原文链接:https://pmc.ncbi.nlm.nih.gov/articles/PMC6667142/
Abstract

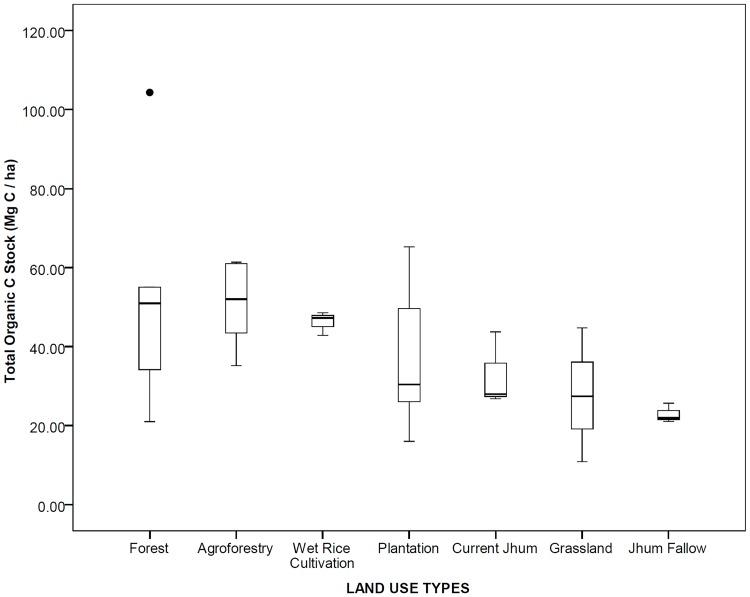
Soil organic carbon plays an important role in the stability and fertility of soil and is influenced by different management practice. We quantified active and passive carbon pools from total soil organic carbon (TOC) in seven different land use systems of northeast India. TOC was highest (2.75%) in natural forest and lowest in grassland (1.31%) and it decreased with increasing depth in different pools of lability. Very Labile Carbon (VLC) fraction ranged from 36.11 to 42.74% of TOC across different land use system. Active carbon (AC) pool was highest in Wet Rice Cultivation (61.64%) and lowest (58.71%) in natural forest. Higher AC pools (VLC and less labile) in most land use systems barring natural forests suggest that the land use systems in the region are vulnerable to land use change and must adopt suitable management practice to harness carbon sequestration.

摘要

土壤有机碳在土壤的稳定性和肥力方面起着重要作用,并受到不同管理实践的影响。我们从印度东北部的七种不同土地利用系统中量化了总土壤有机碳(TOC)中的活性和惰性碳库。在不同的易变层中,自然森林中的 TOC 最高(2.75%),而草原中最低(1.31%),并随深度增加而降低。不同土地利用系统中,非常易变碳(VLC)分数范围为 TOC 的 36.11%至 42.74%。在湿稻种植中,活性碳(AC)库最高(61.64%),而在自然森林中最低(58.71%)。除自然森林外,大多数土地利用系统中的 AC 库(VLC 和较少的易变碳)较高,表明该地区的土地利用系统容易受到土地利用变化的影响,必须采取适当的管理实践来利用碳封存。

https://cdn.ncbi.nlm.nih.gov/pmc/blobs/41b1/6667142/43d5305ac8e5/pone.0219969.g005.jpg
https://cdn.ncbi.nlm.nih.gov/pmc/blobs/41b1/6667142/f058a9661dd6/pone.0219969.g001.jpg
https://cdn.ncbi.nlm.nih.gov/pmc/blobs/41b1/6667142/7722d1ea8e1d/pone.0219969.g002.jpg
https://cdn.ncbi.nlm.nih.gov/pmc/blobs/41b1/6667142/d2e630d9bdd4/pone.0219969.g003.jpg
https://cdn.ncbi.nlm.nih.gov/pmc/blobs/41b1/6667142/133abaaef497/pone.0219969.g004.jpg
https://cdn.ncbi.nlm.nih.gov/pmc/blobs/41b1/6667142/43d5305ac8e5/pone.0219969.g005.jpg
https://cdn.ncbi.nlm.nih.gov/pmc/blobs/41b1/6667142/f058a9661dd6/pone.0219969.g001.jpg
https://cdn.ncbi.nlm.nih.gov/pmc/blobs/41b1/6667142/7722d1ea8e1d/pone.0219969.g002.jpg
https://cdn.ncbi.nlm.nih.gov/pmc/blobs/41b1/6667142/d2e630d9bdd4/pone.0219969.g003.jpg
https://cdn.ncbi.nlm.nih.gov/pmc/blobs/41b1/6667142/133abaaef497/pone.0219969.g004.jpg
https://cdn.ncbi.nlm.nih.gov/pmc/blobs/41b1/6667142/43d5305ac8e5/pone.0219969.g005.jpg

相似文献

1
Active and passive soil organic carbon pools as affected by different land use types in Mizoram, Northeast India.受不同土地利用类型影响的米佐拉姆邦(印度东北部)的土壤有机碳固存库(活性和被动)。
PLoS One. 2019 Jul 30;14(7):e0219969. doi: 10.1371/journal.pone.0219969. eCollection 2019.
2
Long-term effect of rice-based cropping systems on pools of soil organic carbon in farmer's field in hilly agroecosystem of Manipur, India.印度曼尼普尔邦丘陵农业生态系统中,基于水稻的种植制度对农田土壤有机碳库的长期影响。
Environ Monit Assess. 2020 Mar 4;192(4):209. doi: 10.1007/s10661-020-8165-x.
3
Effect of land use and soil depth on the distribution of phyto-available nutrients and SOC pools of Vertisols in Central India.土地利用和土壤深度对印度中部变性土中植物有效养分和 SOC 库分布的影响。
Environ Monit Assess. 2023 Nov 2;195(12):1405. doi: 10.1007/s10661-023-12032-9.
4
Studying the relationship between total organic carbon and soil carbon pools under different land management systems of Garo hills, Meghalaya.研究梅加拉亚邦加罗山不同土地管理制度下总有机碳与土壤碳库的关系。
J Environ Manage. 2020 Mar 1;257:110002. doi: 10.1016/j.jenvman.2019.110002. Epub 2019 Dec 20.
5
Variations in soil organic carbon decompositions of different land use patterns on the tableland of Loess Plateau.不同土地利用方式对黄土高原塬面土壤有机碳分解的影响。
Environ Sci Pollut Res Int. 2020 Feb;27(4):4337-4352. doi: 10.1007/s11356-019-07099-2. Epub 2019 Dec 12.
6
[Effects of land use change on soil active organic carbon in deep soils in Hilly Loess Plateau region of Northwest China].[土地利用变化对中国西北黄土高原丘陵区深层土壤活性有机碳的影响]
Huan Jing Ke Xue. 2015 Feb;36(2):661-8.
7
Land-use systems regulate carbon geochemistry in the temperate Himalayas, India.土地利用系统调节印度喜马拉雅山温带地区的碳地球化学。
J Environ Manage. 2022 Oct 15;320:115811. doi: 10.1016/j.jenvman.2022.115811. Epub 2022 Aug 11.
8
Converting primary forests to cultivated lands: Long-term effects on the vertical distribution of soil carbon and biological activity in the foothills of Eastern Himalaya.将原始森林转化为耕地:对东喜马拉雅山麓土壤碳的垂直分布和生物活性的长期影响。
J Environ Manage. 2022 Jan 1;301:113886. doi: 10.1016/j.jenvman.2021.113886. Epub 2021 Oct 4.
9
[Impact of Land Utilization Pattern on Distributing Characters of Labile Organic Carbon in Soil Aggregates in Jinyun Mountain].[土地利用方式对缙云山土壤团聚体中活性有机碳分布特征的影响]
Huan Jing Ke Xue. 2015 Sep;36(9):3429-37.
10
Climate, soil texture, and soil types affect the contributions of fine-fraction-stabilized carbon to total soil organic carbon in different land uses across China.气候、土壤质地和土壤类型影响中国不同土地利用类型中细颗粒稳定碳对土壤总有机碳的贡献。
J Environ Manage. 2016 May 1;172:2-9. doi: 10.1016/j.jenvman.2016.02.009. Epub 2016 Feb 22.

引用本文的文献

1
Linking woody plant species richness with selected ecosystem services and dendrometric features in Okalma natural forest reserve.将奥卡尔马自然森林保护区的木本植物物种丰富度与选定的生态系统服务和树木测量特征联系起来。
Sci Rep. 2025 Aug 6;15(1):28751. doi: 10.1038/s41598-025-13640-w.
2
Partial substitution of chemical fertilizer with organic fertilizer: a promising circular economy approach for improvement soil physical and chemical properties and sustainable crop yields.用有机肥部分替代化肥:一种改善土壤理化性质和实现作物可持续产量的有前景的循环经济方法。
Front Plant Sci. 2025 May 20;16:1565081. doi: 10.3389/fpls.2025.1565081. eCollection 2025.
3

本文引用的文献

1
Impact of land use changes on the storage of soil organic carbon in active and recalcitrant pools in a humid tropical region of India.土地利用变化对印度湿润热带地区土壤有机碳在活性和顽固库中储量的影响。
Sci Total Environ. 2018 May 15;624:908-917. doi: 10.1016/j.scitotenv.2017.12.199. Epub 2017 Dec 27.
2
Conversion of lowland tropical forests to tree cash crop plantations loses up to one-half of stored soil organic carbon.将低地热带森林转变为经济林木种植园会导致土壤中储存的有机碳损失多达一半。
Proc Natl Acad Sci U S A. 2015 Aug 11;112(32):9956-60. doi: 10.1073/pnas.1504628112. Epub 2015 Jul 27.
3
Responses of soil nutrient concentrations and stoichiometry to different human land uses in a subtropical tidal wetland.
Soil organic carbon pools and carbon management index of the tropical moist deciduous forests in Indian Eastern Ghats.
印度东高止山脉热带湿润落叶林的土壤有机碳库与碳管理指数
Sci Rep. 2025 Apr 12;15(1):12640. doi: 10.1038/s41598-025-97712-x.
4
Responses of soil labile organic carbon stocks and the carbon pool management index to different vegetation restoration types in the Danxia landform region of southwest China.中国西南丹霞地貌区土壤活性有机碳储量及碳库管理指数对不同植被恢复类型的响应
PLoS One. 2025 Feb 25;20(2):e0318195. doi: 10.1371/journal.pone.0318195. eCollection 2025.
5
Remote Sensing of Depth-Induced Variations in Soil Organic Carbon Stocks Distribution Within Different Vegetated Landscapes.不同植被景观下土壤有机碳储量分布中深度诱导变化的遥感监测
Catena (Amst). 2024 Aug;243:108216. doi: 10.1016/j.catena.2024.108216.
6
Dynamics of soil organic carbon of jhum agriculture land-use system in the heterogeneous hill of Arunachal Pradesh, India.印度阿鲁纳恰尔邦异质山区刀耕火种农业土地利用系统的土壤有机碳动态
Sci Rep. 2023 Jul 27;13(1):12156. doi: 10.1038/s41598-023-38421-1.
7
Soil organic carbon pools and carbon management index under different land use systems in North western Himalayas.西北喜马拉雅山不同土地利用系统下的土壤有机碳库和碳管理指数。
PeerJ. 2023 Jun 6;11:e15266. doi: 10.7717/peerj.15266. eCollection 2023.
8
Assessment of digestates prepared from maize, legumes, and their mixed culture as soil amendments: Effects on plant biomass and soil properties.评估以玉米、豆类及其混合培养物制备的沼渣作为土壤改良剂的效果:对植物生物量和土壤性质的影响。
Front Plant Sci. 2022 Dec 13;13:1017191. doi: 10.3389/fpls.2022.1017191. eCollection 2022.
9
Increasing the Contents of Paddy Soil Available Nutrients and Crop Yield via Optimization of Nitrogen Management in a Wheat-Rice Rotation System.通过优化稻麦轮作系统中的氮素管理提高水稻土有效养分含量和作物产量
Plants (Basel). 2022 Aug 25;11(17):2209. doi: 10.3390/plants11172209.
10
Conversion effects of farmland to Zanthoxylum bungeanum plantations on soil organic carbon mineralization in the arid valley of the upper reaches of Yangtze River, China.将耕地转换为花椒种植园对中国长江上游干旱河谷土壤有机碳矿化的转化效应。
PLoS One. 2022 Feb 4;17(2):e0262961. doi: 10.1371/journal.pone.0262961. eCollection 2022.
亚热带潮汐湿地土壤养分浓度和化学计量对不同人类土地利用方式的响应
Geoderma. 2014 Nov 1;232-234:459-470. doi: 10.1016/j.geoderma.2014.06.004.
4
Carbon losses from soil and its consequences for land-use management.土壤碳损失及其对土地利用管理的影响。
Sci Total Environ. 2007 Sep 1;382(2-3):165-90. doi: 10.1016/j.scitotenv.2007.03.023. Epub 2007 Apr 25.
5
Soil carbon sequestration impacts on global climate change and food security.土壤碳固存对全球气候变化和粮食安全产生影响。
Science. 2004 Jun 11;304(5677):1623-7. doi: 10.1126/science.1097396.