Zhao Tingting, Bell Nicola L, Chisholm Greig, Kandasamy Balamurugan, Long De-Liang, Cronin Leroy
School of Chemistry, University of Glasgow University Avenue Glasgow G12 8QQ UK
Energy Environ Sci. 2023 Apr 21;16(6):2603-2610. doi: 10.1039/d3ee00569k. eCollection 2023 Jun 14.
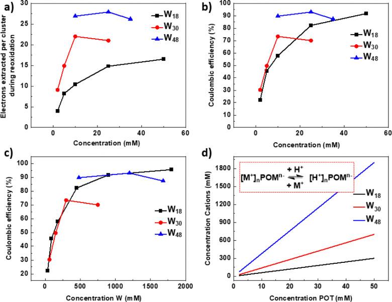
Due to the increasing energy density demands of battery technology, it is vital to develop electrolytes with high electron storage capacity. Polyoxometalate (POM) clusters can act as electron sponges, storing and releasing multiple electrons and have potential as electron storage electrolytes for flow batteries. Despite this rational design of clusters for high storage ability can not yet be achieved as little is known about the features influencing storage ability. Here we report that the large POM clusters, {PW} and {PW}, can store up to 23 e and 28 e per cluster in acidic aqueous solution, respectively. Our investigations reveal key structural and speciation factors influencing the improved behaviour of these POMs over those previously reported (PW). We show, using NMR and MS, that for these polyoxotungstates hydrolysis equilibria for the different tungstate salts is key to explaining unexpected storage trends while the performance limit for {PW} and {PW}, can be attributed to unavoidable hydrogen generation, evidenced by GC. NMR spectroscopy, in combination with the MS analysis, provided experimental evidence for a cation/proton exchange process during the reduction/reoxidation process of {PW} which likely occurs due to this hydrogen generation. Our study offers a deeper understanding of the factors affecting the electron storage ability of POMs and provides insights allowing for further development of these materials for energy storage.
由于电池技术对能量密度的需求不断增加,开发具有高电子存储容量的电解质至关重要。多金属氧酸盐(POM)簇可充当电子海绵,存储和释放多个电子,具有作为液流电池电子存储电解质的潜力。尽管如此,由于对影响存储能力的特征了解甚少,目前尚无法实现针对高存储能力的簇的合理设计。在此,我们报告大型POM簇{ PW }和{ PW }在酸性水溶液中每个簇分别可存储多达23个电子和28个电子。我们的研究揭示了影响这些POM比先前报道的(PW)性能更优的关键结构和形态因素。我们使用核磁共振(NMR)和质谱(MS)表明,对于这些聚钨酸盐,不同钨酸盐的水解平衡是解释意外存储趋势的关键,而{ PW }和{ PW }的性能极限可归因于不可避免的氢气产生,气相色谱(GC)证明了这一点。NMR光谱结合MS分析为{ PW }还原/再氧化过程中的阳离子/质子交换过程提供了实验证据,这可能是由于这种氢气产生所致。我们的研究对影响POM电子存储能力的因素有了更深入的理解,并为进一步开发这些储能材料提供了见解。