Suppr超能文献

含L-脯氨酸根阴离子的鏻型离子液体的加速氧化降解:降解机理与CO分离性能

Accelerated Oxidative Degradation of Phosphonium-Type Ionic Liquid with l-Prolinate Anion: Degradation Mechanism and CO Separation Performance.

作者信息

Sei Hiroi, Kanasaki Yu Nagai, Oka Kouki, Tohnai Norimitsu, Kohno Yuki, Makino Takashi

机构信息

National Institute of Advanced Industrial Science and Technology (AIST), 4-2-1, Nigatake, Miyagino-Ku, Sendai 983-8551, Japan.

Department of Applied Chemistry and Center for Future Innovation (CFi), Graduate School of Engineering, Osaka University, 2-1 Yamadaoka, Suita, Osaka 565-0871, Japan.

出版信息

ACS Omega. 2023 May 31;8(23):21154-21161. doi: 10.1021/acsomega.3c02116. eCollection 2023 Jun 13.

Abstract

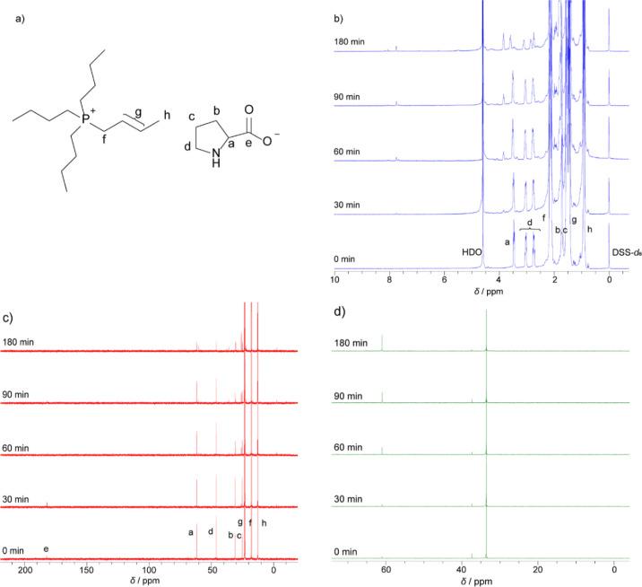
Amino acid ionic liquids (AAILs) are regarded as green alternatives to existing CO-sorptive materials because amino acids are readily available from renewable sources in large quantities. For widespread applications of AAILs, including direct air capture, the relationship between the stability of AAILs, especially toward O, and the CO separation performance is of particular importance. In the present study, the accelerated oxidative degradation of tetra--butylphosphonium l-prolinate ([P][Pro]), a model AAIL that has been widely investigated as a CO-chemsorptive IL, is performed using a flow-type reactor system. Upon heating at 120-150 °C and O gas bubbling to [P][Pro], both the cationic and anionic parts undergo oxidative degradation. The kinetic evaluation of the oxidative degradation of [P][Pro] is performed by tracing the decrease in the [Pro] concentration. Supported IL membranes composed of degraded [P][Pro] are fabricated, and the membranes retain CO permeability and CO/N selectivity values in spite of the partial degradation of [P][Pro].

摘要

氨基酸离子液体(AAILs)被视为现有CO吸附材料的绿色替代品,因为氨基酸可大量从可再生资源中轻易获取。对于AAILs的广泛应用,包括直接空气捕集,AAILs的稳定性,特别是对O的稳定性与CO分离性能之间的关系尤为重要。在本研究中,使用流动型反应器系统对四丁基鏻L-脯氨酸盐([P][Pro])进行加速氧化降解,[P][Pro]是一种作为CO化学吸附离子液体已被广泛研究的模型AAIL。在120 - 150°C加热并向[P][Pro]鼓入O气体时,阳离子部分和阴离子部分都会发生氧化降解。通过追踪[Pro]浓度的降低对[P][Pro]的氧化降解进行动力学评估。制备了由降解后的[P][Pro]组成的负载型离子液体膜,尽管[P][Pro]部分降解,但这些膜仍保留了CO渗透率和CO/N选择性值。

https://cdn.ncbi.nlm.nih.gov/pmc/blobs/98f4/10269244/28201f07a97b/ao3c02116_0006.jpg

文献检索

告别复杂PubMed语法,用中文像聊天一样搜索,搜遍4000万医学文献。AI智能推荐,让科研检索更轻松。

立即免费搜索

文件翻译

保留排版,准确专业,支持PDF/Word/PPT等文件格式,支持 12+语言互译。

免费翻译文档

深度研究

AI帮你快速写综述,25分钟生成高质量综述,智能提取关键信息,辅助科研写作。

立即免费体验