• 文献检索
  • 文档翻译
  • 深度研究
  • 学术资讯
  • Suppr Zotero 插件Zotero 插件
  • 邀请有礼
  • 套餐&价格
  • 历史记录
应用&插件
Suppr Zotero 插件Zotero 插件浏览器插件Mac 客户端Windows 客户端微信小程序
定价
高级版会员购买积分包购买API积分包
服务
文献检索文档翻译深度研究API 文档MCP 服务
关于我们
关于 Suppr公司介绍联系我们用户协议隐私条款
关注我们

Suppr 超能文献

核心技术专利:CN118964589B侵权必究
粤ICP备2023148730 号-1Suppr @ 2026

文献检索

告别复杂PubMed语法,用中文像聊天一样搜索,搜遍4000万医学文献。AI智能推荐,让科研检索更轻松。

立即免费搜索

文件翻译

保留排版,准确专业,支持PDF/Word/PPT等文件格式,支持 12+语言互译。

免费翻译文档

深度研究

AI帮你快速写综述,25分钟生成高质量综述,智能提取关键信息,辅助科研写作。

立即免费体验

异质矿FePO的可调电子结构:深入的结构研究与极化子输运

Tunable electronic structure of heterosite FePO: an in-depth structural study and polaron transport.

作者信息

Banday Azeem, Shahid Raza, Gupta Mukul, Murugavel Sevi

机构信息

Department of Physics & Astrophysics, University of Delhi Delhi-110007 India

Department of Physics, Jamia Millia Islamia New Delhi-110025 India.

出版信息

RSC Adv. 2023 Jun 16;13(27):18332-18346. doi: 10.1039/d3ra01366a. eCollection 2023 Jun 15.

DOI:10.1039/d3ra01366a
PMID:37333798
原文链接:https://pmc.ncbi.nlm.nih.gov/articles/PMC10275275/
Abstract

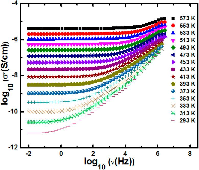
The development of better electrode materials for lithium-ion batteries has been intensively investigated both due to their fundamental scientific aspects as well as their usefulness in technological applications. The present technological development of rechargeable batteries is hindered by fundamental challenges, such as low energy and power density, short lifespan, and sluggish charge transport kinetics. Among the various anode materials proposed, heterosite FePO (h-FP) has been found to intercalate lithium and sodium ion hosts to obtain novel rechargeable batteries. The h-FP has been obtained the delithiation of triphylite LiFePO (LFP), and its structural and electronic properties have been investigated with different crystallite sizes. The synchrotron XRD measurements followed by Rietveld refinement analysis reveal lattice expansion upon the reduction of crystallite size of h-FP. In addition, the decrease in the crystallite size enhances surface energy contributions, thereby creating more oxygen vacancies up to 2% for 21 nm crystallite size. The expansion in the lattice parameters is reflected in the vibrational properties of the h-FP structure, where the red-shift has been observed in the characteristic modes upon the reduction of crystallite size. The local environment of the transition metal ion and its bonding characteristics have been elucidated through soft X-ray absorption spectroscopy (XAS) with the effect of crystallite size. XAS unequivocally reveals the valence state of iron 3d electrons near the Fermi level, which is susceptible to local lattice distortion and uncovers the detailed information on the evolution of electronic states with crystallite size. The observed local lattice distortion has been considered to be as a result of the decrease in the level of covalency between the Fe-3d and O-2p states. Further, we demonstrate the structural advantages of nanosized h-FP on the transport properties, where an enhancement in the polaronic conductivity with decreasing crystallite size has been observed. The polaronic conduction mechanism has been analyzed and discussed on the basis of the Mott model of polaron conduction along with an insightful analysis on the role of the electronic structure. The present study provides spectroscopic results on the anode material that reveal the evolution of electronic states for fingerprinting, understanding, and optimizing it for advanced rechargeable battery operations.

摘要

由于锂离子电池电极材料在基础科学方面的重要性以及在技术应用中的实用性,人们对其进行了深入研究。目前,可充电电池的技术发展受到一些基本挑战的阻碍,如能量和功率密度低、寿命短以及电荷传输动力学缓慢等。在提出的各种负极材料中,磷铁矿FePO(h - FP)已被发现可嵌入锂和钠离子主体中,以获得新型可充电电池。h - FP是通过对锂铁磷矿LiFePO(LFP)进行脱锂得到的,并且已经对其不同微晶尺寸下的结构和电子性质进行了研究。同步辐射XRD测量以及随后的Rietveld精修分析表明,随着h - FP微晶尺寸的减小,晶格发生膨胀。此外,微晶尺寸的减小增强了表面能贡献,从而在21 nm微晶尺寸时产生高达2%的更多氧空位。晶格参数的膨胀反映在h - FP结构的振动特性中,在微晶尺寸减小时,其特征模式出现了红移。通过软X射线吸收光谱(XAS)并结合微晶尺寸的影响,阐明了过渡金属离子的局部环境及其键合特性。XAS明确揭示了费米能级附近铁3d电子的价态,该价态易受局部晶格畸变影响,并揭示了电子态随微晶尺寸演变的详细信息。观察到的局部晶格畸变被认为是Fe - 3d和O - 2p态之间共价性水平降低的结果。此外,我们展示了纳米尺寸h - FP在传输性质方面的结构优势,观察到随着微晶尺寸减小,极化子电导率增强。基于极化子传导的莫特模型以及对电子结构作用的深入分析,对极化子传导机制进行了分析和讨论。本研究提供了关于负极材料的光谱结果,揭示了电子态的演变,以便对其进行指纹识别、理解并为先进的可充电电池操作进行优化。

https://cdn.ncbi.nlm.nih.gov/pmc/blobs/2190/10275275/3c6cc58b3e01/d3ra01366a-f10.jpg
https://cdn.ncbi.nlm.nih.gov/pmc/blobs/2190/10275275/3068cb4905f9/d3ra01366a-f1.jpg
https://cdn.ncbi.nlm.nih.gov/pmc/blobs/2190/10275275/c89c654d0be3/d3ra01366a-f2.jpg
https://cdn.ncbi.nlm.nih.gov/pmc/blobs/2190/10275275/642df1777e69/d3ra01366a-f3.jpg
https://cdn.ncbi.nlm.nih.gov/pmc/blobs/2190/10275275/2ffc5475f328/d3ra01366a-f4.jpg
https://cdn.ncbi.nlm.nih.gov/pmc/blobs/2190/10275275/70a381354709/d3ra01366a-f5.jpg
https://cdn.ncbi.nlm.nih.gov/pmc/blobs/2190/10275275/ee2103fe4d5d/d3ra01366a-f6.jpg
https://cdn.ncbi.nlm.nih.gov/pmc/blobs/2190/10275275/ab21304004dd/d3ra01366a-f7.jpg
https://cdn.ncbi.nlm.nih.gov/pmc/blobs/2190/10275275/deb0e0611a4a/d3ra01366a-f8.jpg
https://cdn.ncbi.nlm.nih.gov/pmc/blobs/2190/10275275/44c8209f8308/d3ra01366a-f9.jpg
https://cdn.ncbi.nlm.nih.gov/pmc/blobs/2190/10275275/3c6cc58b3e01/d3ra01366a-f10.jpg
https://cdn.ncbi.nlm.nih.gov/pmc/blobs/2190/10275275/3068cb4905f9/d3ra01366a-f1.jpg
https://cdn.ncbi.nlm.nih.gov/pmc/blobs/2190/10275275/c89c654d0be3/d3ra01366a-f2.jpg
https://cdn.ncbi.nlm.nih.gov/pmc/blobs/2190/10275275/642df1777e69/d3ra01366a-f3.jpg
https://cdn.ncbi.nlm.nih.gov/pmc/blobs/2190/10275275/2ffc5475f328/d3ra01366a-f4.jpg
https://cdn.ncbi.nlm.nih.gov/pmc/blobs/2190/10275275/70a381354709/d3ra01366a-f5.jpg
https://cdn.ncbi.nlm.nih.gov/pmc/blobs/2190/10275275/ee2103fe4d5d/d3ra01366a-f6.jpg
https://cdn.ncbi.nlm.nih.gov/pmc/blobs/2190/10275275/ab21304004dd/d3ra01366a-f7.jpg
https://cdn.ncbi.nlm.nih.gov/pmc/blobs/2190/10275275/deb0e0611a4a/d3ra01366a-f8.jpg
https://cdn.ncbi.nlm.nih.gov/pmc/blobs/2190/10275275/44c8209f8308/d3ra01366a-f9.jpg
https://cdn.ncbi.nlm.nih.gov/pmc/blobs/2190/10275275/3c6cc58b3e01/d3ra01366a-f10.jpg

相似文献

1
Tunable electronic structure of heterosite FePO: an in-depth structural study and polaron transport.异质矿FePO的可调电子结构:深入的结构研究与极化子输运
RSC Adv. 2023 Jun 16;13(27):18332-18346. doi: 10.1039/d3ra01366a. eCollection 2023 Jun 15.
2
Effect of crystallite size on the phase transition behavior of heterosite FePO.微晶尺寸对磷铁锂矿FePO相变行为的影响
Phys Chem Chem Phys. 2020 Jul 21;22(27):15478-15487. doi: 10.1039/d0cp02387f. Epub 2020 Jun 30.
3
Direct evidence for the influence of lithium ion vacancies on polaron transport in nanoscale LiFePO.
Phys Chem Chem Phys. 2019 May 15;21(19):9858-9864. doi: 10.1039/c9cp00408d.
4
Size dependent electronic structure of LiFePO probed using X-ray absorption and Mössbauer spectroscopy.使用X射线吸收和穆斯堡尔光谱探测LiFePO的尺寸依赖性电子结构。
Phys Chem Chem Phys. 2022 Apr 20;24(16):9695-9706. doi: 10.1039/d2cp00411a.
5
Electronic structure of phospho-olivines Li(x)FePO4 (x = 0, 1) from soft-x-ray-absorption and -emission spectroscopies.基于软X射线吸收和发射光谱的磷酸橄榄石Li(x)FePO4(x = 0, 1)的电子结构
J Chem Phys. 2005 Nov 8;123(18):184717. doi: 10.1063/1.2107387.
6
Size induced structural changes in maricite-NaFePO: an in-depth study by experiment and simulations.尺寸诱导马里石-NaFePO4 的结构变化:实验和模拟的深入研究。
Phys Chem Chem Phys. 2019 Dec 7;21(45):25206-25214. doi: 10.1039/c9cp03838h. Epub 2019 Nov 7.
7
Critical Role of the Crystallite Size in Nanostructured LiTiO Anodes for Lithium-Ion Batteries.纳米结构 LiTiO 负极材料中晶粒度的关键作用对锂离子电池。
ACS Appl Mater Interfaces. 2018 Jul 5;10(26):22580-22590. doi: 10.1021/acsami.8b05057. Epub 2018 Jun 25.
8
Structural and electrochemical investigation of crystallite size controlled zinc ferrite (ZnFeO).微晶尺寸可控的铁酸锌(ZnFeO)的结构与电化学研究
Nanotechnology. 2021 Jun 25;32(37). doi: 10.1088/1361-6528/ac09a9.
9
Extreme Ultraviolet Reflection-Absorption Spectroscopy: Probing Dynamics at Surfaces from a Molecular Perspective.极端紫外反射-吸收光谱学:从分子角度探究表面动力学。
Acc Chem Res. 2022 Mar 15;55(6):893-903. doi: 10.1021/acs.accounts.1c00765. Epub 2022 Mar 3.
10
Large Charge-Transfer Energy in LiFePO Revealed by Full-Multiplet Calculation for the Fe L -edge Soft X-ray Emission Spectra.通过对Fe L边软X射线发射光谱的全多重态计算揭示LiFePO中较大的电荷转移能
Chemphyschem. 2018 Apr 17;19(8):988-992. doi: 10.1002/cphc.201800038. Epub 2018 Feb 27.

引用本文的文献

1
Preparation of different phase structure nano sized FePO/C cathode material by ultrasonic-assisting and their electrochemical performance.超声辅助制备不同相结构的纳米级磷酸铁锂/碳正极材料及其电化学性能
RSC Adv. 2025 Feb 25;15(8):6281-6290. doi: 10.1039/d5ra00107b. eCollection 2025 Feb 19.

本文引用的文献

1
Optimization of lithium content in LiFePO for superior electrochemical performance: the role of impurities.优化磷酸铁锂中的锂含量以实现卓越的电化学性能:杂质的作用。
RSC Adv. 2018 Jan 3;8(2):1140-1147. doi: 10.1039/c7ra10112k. eCollection 2018 Jan 2.
2
Effect of crystallite size on the phase transition behavior of heterosite FePO.微晶尺寸对磷铁锂矿FePO相变行为的影响
Phys Chem Chem Phys. 2020 Jul 21;22(27):15478-15487. doi: 10.1039/d0cp02387f. Epub 2020 Jun 30.
3
FePO nanoparticles produced by an industrially scalable continuous-flow method are an available form of P and Fe for cucumber and maize plants.
采用工业上可扩展的连续流方法生产的 FePO 纳米颗粒是黄瓜和玉米植物可用的 P 和 Fe 形式。
Sci Rep. 2019 Aug 2;9(1):11252. doi: 10.1038/s41598-019-47492-y.
4
Direct evidence for the influence of lithium ion vacancies on polaron transport in nanoscale LiFePO.
Phys Chem Chem Phys. 2019 May 15;21(19):9858-9864. doi: 10.1039/c9cp00408d.
5
FePO as an anode material to obtain high-performance sodium-based dual-ion batteries.
Chem Commun (Camb). 2018 Apr 24;54(34):4349-4352. doi: 10.1039/c7cc09714j.
6
Large Charge-Transfer Energy in LiFePO Revealed by Full-Multiplet Calculation for the Fe L -edge Soft X-ray Emission Spectra.通过对Fe L边软X射线发射光谱的全多重态计算揭示LiFePO中较大的电荷转移能
Chemphyschem. 2018 Apr 17;19(8):988-992. doi: 10.1002/cphc.201800038. Epub 2018 Feb 27.
7
In situ Raman spectroscopy of LiFePO4: size and morphology dependence during charge and self-discharge.LiFePO4 的原位拉曼光谱:充电和自放电过程中的尺寸和形态依赖性。
Nanotechnology. 2013 Oct 25;24(42):424009. doi: 10.1088/0957-4484/24/42/424009. Epub 2013 Sep 25.
8
Phase transformation and lithiation effect on electronic structure of Li(x)FePO4: an in-depth study by soft X-ray and simulations.锂(x)磷酸铁锂的相变和嵌锂效应对电子结构的影响:软 X 射线和模拟的深入研究。
J Am Chem Soc. 2012 Aug 22;134(33):13708-15. doi: 10.1021/ja303225e. Epub 2012 Aug 10.
9
Size-dependent lattice expansion in nanoparticles: reality or anomaly?纳米粒子中的尺寸相关晶格膨胀:现实还是异常?
Chemphyschem. 2012 Jul 16;13(10):2443-54. doi: 10.1002/cphc.201200257. Epub 2012 Jun 22.
10
The CTM4XAS program for EELS and XAS spectral shape analysis of transition metal L edges.CTM4XAS 程序,用于过渡金属 L 边的电子能量损失谱和 X 射线吸收谱谱形分析。
Micron. 2010 Oct;41(7):687-94. doi: 10.1016/j.micron.2010.06.005. Epub 2010 Jul 1.