• 文献检索
  • 文档翻译
  • 深度研究
  • 学术资讯
  • Suppr Zotero 插件Zotero 插件
  • 邀请有礼
  • 套餐&价格
  • 历史记录
应用&插件
Suppr Zotero 插件Zotero 插件浏览器插件Mac 客户端Windows 客户端微信小程序
定价
高级版会员购买积分包购买API积分包
服务
文献检索文档翻译深度研究API 文档MCP 服务
关于我们
关于 Suppr公司介绍联系我们用户协议隐私条款
关注我们

Suppr 超能文献

核心技术专利:CN118964589B侵权必究
粤ICP备2023148730 号-1Suppr @ 2026

文献检索

告别复杂PubMed语法,用中文像聊天一样搜索,搜遍4000万医学文献。AI智能推荐,让科研检索更轻松。

立即免费搜索

文件翻译

保留排版,准确专业,支持PDF/Word/PPT等文件格式,支持 12+语言互译。

免费翻译文档

深度研究

AI帮你快速写综述,25分钟生成高质量综述,智能提取关键信息,辅助科研写作。

立即免费体验

增强型肝纤维化检测可预测普通人群中与肝脏相关的预后情况。

Enhanced liver Fibrosis® test predicts liver-related outcomes in the general population.

作者信息

Saarinen Kustaa, Färkkilä Martti, Jula Antti, Erlund Iris, Vihervaara Terhi, Lundqvist Annamari, Åberg Fredrik

机构信息

Abdominal Center, Helsinki University Hospital, Helsinki, Finland.

University of Helsinki, Helsinki, Finland.

出版信息

JHEP Rep. 2023 Apr 21;5(7):100765. doi: 10.1016/j.jhepr.2023.100765. eCollection 2023 Jul.

DOI:10.1016/j.jhepr.2023.100765
PMID:37333973
原文链接:https://pmc.ncbi.nlm.nih.gov/articles/PMC10276292/
Abstract

BACKGROUND & AIMS: The Enhanced Liver Fibrosis® (ELF) test exhibits good discriminative performance in detecting advanced liver fibrosis and in predicting liver-related outcomes in patients with specific liver diseases, but large population-based studies are missing. We analysed the predictive performance of the ELF test in a general population cohort.

METHODS

Data were sourced from the Health 2000 study, a Finnish population-based health examination survey conducted in 2000-2001. Subjects with baseline liver disease were excluded. The ELF test was performed on blood samples collected at baseline. Data were linked with national healthcare registers for liver-related outcomes (hospitalisation, cancer, and death).

RESULTS

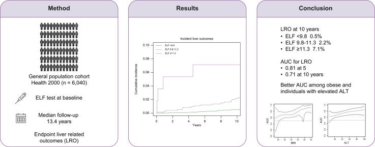
The cohort comprised 6,040 individuals (mean age 52.7. 45.6% men) with 67 liver-related outcomes during a median 13.1-year follow-up. ELF predicted liver outcomes (unadjusted hazards ratio 2.70, 95% CI 2.16-3.38). with 5- and 10-year AUCs of 0.81 (95% CI 0.71-0.91) and 0.71 (95% CI 0.63-0.79) by competing-risk methodology. The 10-year risks for liver outcomes increased from 0.5% at ELF <9.8 to 7.1% at ELF ≥11.3, being higher among men than women at any given ELF level. Among individuals with body mass index ≥30 kg/m, diabetes, or alanine aminotransferase >40 U/L. Five-year AUCs for ELF were 0.85, 0.87, and 0.88, respectively. The predictive ability of the ELF test decreased with time: the 10-year AUCs were 0.78, 0.69, and 0.82, respectively.

CONCLUSIONS

The ELF test shows good discriminative performance in predicting liver-related outcomes in a large general population cohort and appears particularly useful for predicting 5-year outcomes in persons with risk factors.

IMPACT AND IMPLICATIONS

The Enhanced Liver Fibrosis test exhibits good performance for predicting liver-related outcomes (hospitalisation, liver cancer, or liver-related death) in the general population, especially in those with risk factors.

摘要

背景与目的

增强肝纤维化(ELF)检测在检测晚期肝纤维化以及预测特定肝病患者的肝脏相关结局方面表现出良好的鉴别性能,但缺乏基于大规模人群的研究。我们分析了ELF检测在一般人群队列中的预测性能。

方法

数据来源于2000 - 2001年进行的芬兰基于人群的健康检查调查“健康2000研究”。排除有基线肝病的受试者。对基线时采集的血样进行ELF检测。数据与国家医疗保健登记处的肝脏相关结局(住院、癌症和死亡)相关联。

结果

该队列包括6040名个体(平均年龄52.7岁,45.6%为男性),在中位13.1年的随访期间有67例肝脏相关结局。ELF可预测肝脏结局(未调整风险比2.70,95%置信区间2.16 - 3.38),采用竞争风险方法得出的5年和10年曲线下面积(AUC)分别为0.81(95%置信区间0.71 - 0.91)和0.71(95%置信区间0.63 - 0.79)。肝脏结局的10年风险从ELF<9.8时的0.5%增加到ELF≥11.3时的7.1%,在任何给定的ELF水平下,男性的风险均高于女性。在体重指数≥30 kg/m²、患有糖尿病或丙氨酸氨基转移酶>40 U/L的个体中,ELF的5年AUC分别为0.85、0.87和0.88。ELF检测的预测能力随时间下降:10年AUC分别为0.78、0.69和0.82。

结论

ELF检测在预测大型一般人群队列中的肝脏相关结局方面表现出良好的鉴别性能,对于预测有风险因素者的5年结局似乎特别有用。

影响与意义

增强肝纤维化检测在预测一般人群,尤其是有风险因素者的肝脏相关结局(住院、肝癌或肝脏相关死亡)方面表现良好。

https://cdn.ncbi.nlm.nih.gov/pmc/blobs/1a4a/10276292/7de162104d7f/gr5.jpg
https://cdn.ncbi.nlm.nih.gov/pmc/blobs/1a4a/10276292/2db99905a631/ga1.jpg
https://cdn.ncbi.nlm.nih.gov/pmc/blobs/1a4a/10276292/c162c8e5ca64/gr1.jpg
https://cdn.ncbi.nlm.nih.gov/pmc/blobs/1a4a/10276292/f741c6357b35/gr2.jpg
https://cdn.ncbi.nlm.nih.gov/pmc/blobs/1a4a/10276292/0939614a57ac/gr3.jpg
https://cdn.ncbi.nlm.nih.gov/pmc/blobs/1a4a/10276292/d08e893536b5/gr4.jpg
https://cdn.ncbi.nlm.nih.gov/pmc/blobs/1a4a/10276292/7de162104d7f/gr5.jpg
https://cdn.ncbi.nlm.nih.gov/pmc/blobs/1a4a/10276292/2db99905a631/ga1.jpg
https://cdn.ncbi.nlm.nih.gov/pmc/blobs/1a4a/10276292/c162c8e5ca64/gr1.jpg
https://cdn.ncbi.nlm.nih.gov/pmc/blobs/1a4a/10276292/f741c6357b35/gr2.jpg
https://cdn.ncbi.nlm.nih.gov/pmc/blobs/1a4a/10276292/0939614a57ac/gr3.jpg
https://cdn.ncbi.nlm.nih.gov/pmc/blobs/1a4a/10276292/d08e893536b5/gr4.jpg
https://cdn.ncbi.nlm.nih.gov/pmc/blobs/1a4a/10276292/7de162104d7f/gr5.jpg

相似文献

1
Enhanced liver Fibrosis® test predicts liver-related outcomes in the general population.增强型肝纤维化检测可预测普通人群中与肝脏相关的预后情况。
JHEP Rep. 2023 Apr 21;5(7):100765. doi: 10.1016/j.jhepr.2023.100765. eCollection 2023 Jul.
2
Combined use of the ELF test and CLivD score improves prediction of liver-related outcomes in the general population.ELF 试验与 CLivD 评分联合应用可提高普通人群肝脏相关结局的预测效果。
Liver Int. 2023 Oct;43(10):2107-2115. doi: 10.1111/liv.15681. Epub 2023 Jul 23.
3
The Enhanced Liver Fibrosis test is associated with liver-related outcomes in postmenopausal women with risk factors for liver disease.增强型肝纤维化检测与有肝病风险因素的绝经后妇女的肝脏相关结局相关。
BMC Gastroenterol. 2020 Apr 15;20(1):104. doi: 10.1186/s12876-020-01251-w.
4
Enhanced liver fibrosis (ELF) score predicts hepatic decompensation and mortality.增强型肝纤维化(ELF)评分可预测肝失代偿和死亡率。
JHEP Rep. 2024 Mar 11;6(6):101062. doi: 10.1016/j.jhepr.2024.101062. eCollection 2024 Jun.
5
Using the ELF test, FIB-4 and NAFLD fibrosis score to screen the population for liver disease.应用 ELF 试验、FIB-4 和 NAFLD 纤维化评分对人群进行肝病筛查。
J Hepatol. 2023 Aug;79(2):277-286. doi: 10.1016/j.jhep.2023.04.002. Epub 2023 Apr 21.
6
Enhanced liver fibrosis test can predict clinical outcomes in patients with chronic liver disease.增强型肝纤维化检测可预测慢性肝病患者的临床结局。
Gut. 2010 Sep;59(9):1245-51. doi: 10.1136/gut.2009.203166. Epub 2010 Jul 30.
7
The Enhanced Liver Fibrosis test maintains its diagnostic and prognostic performance in alcohol-related liver disease: a cohort study.增强型肝纤维化试验在酒精性肝病中保持其诊断和预后性能:一项队列研究。
BMC Gastroenterol. 2021 Jun 28;21(1):268. doi: 10.1186/s12876-021-01795-5.
8
Fluctuating biomarkers in primary sclerosing cholangitis: A longitudinal comparison of alkaline phosphatase, liver stiffness, and ELF.原发性硬化性胆管炎中波动的生物标志物:碱性磷酸酶、肝脏硬度和ELF的纵向比较
JHEP Rep. 2021 Jul 2;3(5):100328. doi: 10.1016/j.jhepr.2021.100328. eCollection 2021 Oct.
9
Performance of the Enhanced Liver Fibrosis Score, Comparison with Vibration-controlled Transient Elastography Data, and Development of a Simple Algorithm to Predict Significant Liver Fibrosis in a Community-based Liver Service: A Retrospective Evaluation.增强型肝纤维化评分的性能、与振动控制瞬时弹性成像数据的比较以及一种预测社区肝脏服务中显著肝纤维化的简单算法的开发:一项回顾性评估。
J Clin Transl Hepatol. 2023 Aug 28;11(4):800-808. doi: 10.14218/JCTH.2022.00335. Epub 2023 Feb 24.
10
The Enhanced liver fibrosis score is associated with clinical outcomes and disease progression in patients with chronic liver disease.增强肝纤维化评分与慢性肝病患者的临床结局和疾病进展相关。
Liver Int. 2016 Mar;36(3):370-7. doi: 10.1111/liv.12896. Epub 2015 Aug 28.

引用本文的文献

1
Pathological Evolution and Internal Medicine Management of Nonalcoholic Fatty Liver Disease (NAFLD) in the Era of Metabolic Dysfunction-Associated Steatotic Liver Disease (MASLD).代谢功能障碍相关脂肪性肝病(MASLD)时代非酒精性脂肪性肝病(NAFLD)的病理演变与内科管理
Cureus. 2025 Jun 29;17(6):e86963. doi: 10.7759/cureus.86963. eCollection 2025 Jun.
2
Prognostic Value of the TLM3 Biomarker Panel for Early Fibrosis Development in MASLD Within the General Population.TLM3生物标志物组合对普通人群中MAFLD早期纤维化发展的预后价值
Liver Int. 2025 Jul;45(7):e70169. doi: 10.1111/liv.70169.
3
The Use of Non-i nvasive Biomarkers to Screen for Advanced Fibrosis Associated with Metabolic Dysfunction-associated Steatotic Liver Disease in People with Type 2 Diabetes: A Narrative Review.

本文引用的文献

1
The EASL-Lancet Liver Commission: protecting the next generation of Europeans against liver disease complications and premature mortality.欧洲肝脏研究学会-《柳叶刀》肝脏委员会:保护下一代欧洲人免受肝脏疾病并发症和过早死亡的影响。
Lancet. 2022 Jan 1;399(10319):61-116. doi: 10.1016/S0140-6736(21)01701-3. Epub 2021 Dec 2.
2
Enhanced liver fibrosis score as a surrogate of liver-related complications and mortality in primary biliary cholangitis.增强型肝纤维化评分可作为原发性胆汁性胆管炎肝相关并发症和死亡的替代指标。
Medicine (Baltimore). 2021 Oct 1;100(39):e27403. doi: 10.1097/MD.0000000000027403.
3
Incidence of liver-related morbidity and mortality in a population cohort of non-alcoholic fatty liver disease.
使用非侵入性生物标志物筛查2型糖尿病患者中与代谢功能障碍相关脂肪性肝病相关的晚期纤维化:一项叙述性综述
touchREV Endocrinol. 2025 May;21(1):24-31. doi: 10.17925/EE.2025.21.1.4. Epub 2025 Feb 20.
4
Metabolic dysfunction-associated steatotic liver disease in adults.成人代谢功能障碍相关脂肪性肝病
Nat Rev Dis Primers. 2025 Mar 6;11(1):14. doi: 10.1038/s41572-025-00599-1.
5
4. Comprehensive Medical Evaluation and Assessment of Comorbidities: Standards of Care in Diabetes-2025.4. 合并症的综合医学评估与评定:2025年糖尿病照护标准
Diabetes Care. 2025 Jan 1;48(Supplement_1):S59-S85. doi: 10.2337/dc25-S004.
6
Population screening for cirrhosis.人群中肝硬化的筛查。
Hepatol Commun. 2024 Aug 26;8(9). doi: 10.1097/HC9.0000000000000512. eCollection 2024 Sep 1.
7
Enhanced liver fibrosis (ELF) score predicts hepatic decompensation and mortality.增强型肝纤维化(ELF)评分可预测肝失代偿和死亡率。
JHEP Rep. 2024 Mar 11;6(6):101062. doi: 10.1016/j.jhepr.2024.101062. eCollection 2024 Jun.
8
Noninvasive tests for liver fibrosis in 2024: are there different scales for different diseases?2024年肝纤维化的非侵入性检测:不同疾病有不同的评估标准吗?
Gastroenterol Rep (Oxf). 2024 Apr 11;12:goae024. doi: 10.1093/gastro/goae024. eCollection 2024.
9
Metabolic Derangement in Non-Alcoholic Fatty Liver Disease: Opportunities for Early Diagnostic and Prognostic Markers.非酒精性脂肪性肝病中的代谢紊乱:早期诊断和预后标志物的机遇
Curr Mol Med. 2025;25(3):269-277. doi: 10.2174/0115665240269082240213115711.
非酒精性脂肪性肝病人群队列中与肝脏相关的发病率和死亡率。
Liver Int. 2021 Nov;41(11):2590-2600. doi: 10.1111/liv.15004. Epub 2021 Jul 14.
4
EASL Clinical Practice Guidelines on non-invasive tests for evaluation of liver disease severity and prognosis - 2021 update.EASL 临床实践指南:非侵入性检测评估肝脏疾病严重程度和预后——2021 更新版。
J Hepatol. 2021 Sep;75(3):659-689. doi: 10.1016/j.jhep.2021.05.025. Epub 2021 Jun 21.
5
Prognostic performance of 7 biomarkers compared to liver biopsy in early alcohol-related liver disease.与肝活检相比,7 种生物标志物在早期酒精性肝病中的预后性能。
J Hepatol. 2021 Nov;75(5):1017-1025. doi: 10.1016/j.jhep.2021.05.037. Epub 2021 Jun 10.
6
A Polygenic Risk Score to Refine Risk Stratification and Prediction for Severe Liver Disease by Clinical Fibrosis Scores.一种通过临床纤维化评分来优化严重肝病风险分层和预测的多基因风险评分。
Clin Gastroenterol Hepatol. 2022 Mar;20(3):658-673. doi: 10.1016/j.cgh.2021.05.056. Epub 2021 Jun 4.
7
Administrative Coding in Electronic Health Care Record-Based Research of NAFLD: An Expert Panel Consensus Statement.基于电子健康档案的 NAFLD 研究中的行政编码:专家小组共识声明。
Hepatology. 2021 Jul;74(1):474-482. doi: 10.1002/hep.31726. Epub 2021 Jun 22.
8
The Enhanced Liver Fibrosis (ELF) Panel: Analyte Stability Under Common Sample Storage Conditions Used in Clinical Practice.增强肝纤维化(ELF)检测组套:临床实践中常用样本储存条件下分析物的稳定性
J Appl Lab Med. 2017 May 1;1(6):720-728. doi: 10.1373/jalm.2016.022806.
9
The diagnostic and prognostic significance of liver histology in alcoholic hepatitis.酒精性肝炎肝组织学的诊断和预后意义。
Aliment Pharmacol Ther. 2021 Feb;53(3):426-431. doi: 10.1111/apt.16157. Epub 2020 Dec 16.
10
2. Classification and Diagnosis of Diabetes: .2. 糖尿病的分类和诊断: 。
Diabetes Care. 2021 Jan;44(Suppl 1):S15-S33. doi: 10.2337/dc21-S002.