Suppr超能文献

在泵和非在泵冠状动脉旁路移植术对 10 年死亡率与经皮冠状动脉介入治疗的影响。

Impact of on-pump and off-pump coronary artery bypass grafting on 10-year mortality versus percutaneous coronary intervention.

机构信息

Department of Cardiology, National University of Ireland, Galway (NUIG), Galway, Ireland.

National Heart and Lung Institute, Imperial College London, London, UK.

出版信息

Eur J Cardiothorac Surg. 2023 Aug 1;64(2). doi: 10.1093/ejcts/ezad240.

Abstract

OBJECTIVES

The very long-term mortality of off-pump and on-pump coronary artery bypass grafting (CABG) versus percutaneous coronary intervention (PCI) in a randomized complex coronary artery disease population is unknown. This study aims to investigate the impact of on-pump and off-pump CABG versus PCI on 10-year all-cause mortality.

METHODS

The SYNTAX trial randomized 1800 patients with three-vessel and/or left main coronary artery disease to PCI or CABG and assessed their survival at 10 years. In this sub-study, the hazard of mortality over 10 years was compared according to the technique of revascularization: on-pump CABG (n = 725), off-pump CABG (n = 128) and PCI (n = 903).

RESULTS

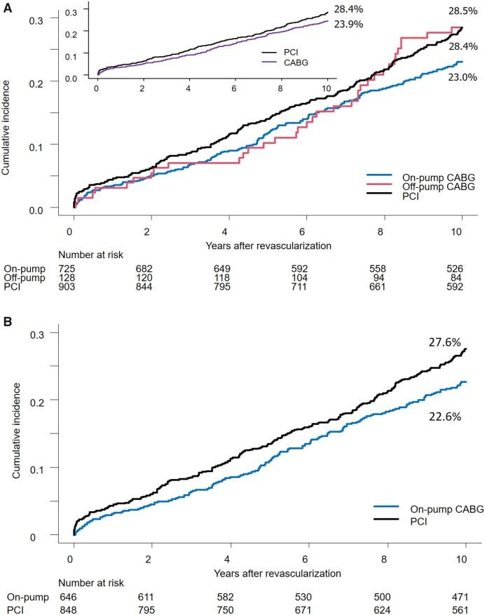
There was substantial inter-site variation in the use of off-pump CABG despite baseline characteristics being largely homogeneous among the 3 groups. The crude rate of mortality was significantly lower following on-pump CABG versus PCI [25.6% vs 28.4%, hazard ratio (HR) 0.79, 95% confidence interval (CI) 0.65-0.96], while it was comparable between off-pump CABG and PCI (28.5% vs 28.4%, HR 0.98, 95% CI 0.69-1.40). After adjusting for the 9 variables included in the SYNTAX score II 2020, 10-year mortality remained significantly lower with on-pump CABG than PCI (HR 0.75 against PCI, P = 0.009).

CONCLUSIONS

In the SYNTAXES trial, 10-year mortality adjusted for major confounders was significantly lower following on-pump CABG compared to PCI. There was no evidence for unadjusted difference between off-pump CABG and PCI, although the unadjusted estimated HR had a wide CI. Site heterogeneity in the technique used in bypass surgery has had measurable effects on treatment performance.

摘要

目的

在随机复杂冠状动脉疾病人群中,非体外循环冠状动脉旁路移植术(off-pump CABG)和体外循环冠状动脉旁路移植术(on-pump CABG)与经皮冠状动脉介入治疗(PCI)的超长寿命死亡率尚不清楚。本研究旨在探讨 on-pump CABG 和 off-pump CABG 与 PCI 对 10 年全因死亡率的影响。

方法

SYNTAX 试验将 1800 例三血管和/或左主干冠状动脉疾病患者随机分为 PCI 或 CABG 治疗,并在 10 年时评估其生存情况。在这项亚研究中,根据再血管化技术比较了 10 年以上的死亡率风险:on-pump CABG(n=725)、off-pump CABG(n=128)和 PCI(n=903)。

结果

尽管 3 组间的基线特征基本相似,但 off-pump CABG 的使用存在很大的站点间差异。与 PCI 相比,on-pump CABG 后死亡率明显降低[25.6%比 28.4%,风险比(HR)0.79,95%置信区间(CI)0.65-0.96],而 off-pump CABG 与 PCI 之间的死亡率相似[28.5%比 28.4%,HR 0.98,95%CI 0.69-1.40]。在调整了 SYNTAX 评分 II 2020 中的 9 个变量后,on-pump CABG 组的 10 年死亡率仍显著低于 PCI 组(与 PCI 相比,HR 0.75,P=0.009)。

结论

在 SYNTAXES 试验中,与 PCI 相比,调整了主要混杂因素后,on-pump CABG 的 10 年死亡率显著降低。off-pump CABG 与 PCI 之间没有未调整的差异证据,尽管未调整的估计 HR 有一个较宽的 CI。旁路手术中技术使用的站点异质性对治疗效果产生了可衡量的影响。

https://cdn.ncbi.nlm.nih.gov/pmc/blobs/51e2/10693439/fea073cb00cc/ezad240f4.jpg

文献AI研究员

20分钟写一篇综述,助力文献阅读效率提升50倍。

立即体验

用中文搜PubMed

大模型驱动的PubMed中文搜索引擎

马上搜索

文档翻译

学术文献翻译模型,支持多种主流文档格式。

立即体验