Suppr超能文献

与1,1,3-三缩水甘油氧基丙烷交联的壳聚糖冷冻凝胶:用于癌细胞3D培养的力学性能和细胞毒性

Chitosan Cryogels Cross-Linked with 1,1,3-Triglycidyloxypropane: Mechanical Properties and Cytotoxicity for Cancer Cell 3D Cultures.

作者信息

Privar Yuliya, Boroda Andrey, Pestov Alexandr, Kazantsev Daniil, Malyshev Daniil, Skatova Anna, Bratskaya Svetlana

机构信息

Institute of Chemistry, Far Eastern Branch of the Russian Academy of Sciences, 159, Prospekt 100-Letiya Vladivostoka, 690022 Vladivostok, Russia.

A.V. Zhirmunsky National Scientific Center of Marine Biology, Far Eastern Branch of Russian Academy of Sciences, 17, Palchevskogo Street, 690041 Vladivostok, Russia.

出版信息

Biomimetics (Basel). 2023 May 29;8(2):228. doi: 10.3390/biomimetics8020228.

Abstract

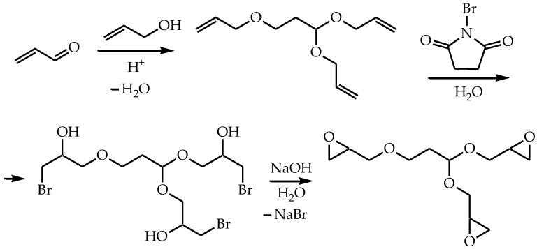
Here, we have presented a new method of 1,1,3-triglycidyloxypropane (TGP) synthesis and investigated how cross-linker branching affects mechanical properties and cytotoxicity of chitosan scaffolds in comparison with those cross-linked using diglycidyl ethers of 1,4-butandiol (BDDGE) and poly(ethylene glycol) (PEGDGE). We have demonstrated that TGP is an efficient cross-linker for chitosan at a subzero temperature at TGP:chitosan molar ratios from 1:1 to 1:20. Although the elasticity of chitosan scaffolds increased in the following order of the cross-linkers PEGDGE > TGP > BDDGE, TGP provided cryogels with the highest compressive strength. Chitosan-TGP cryogels have shown low cytotoxicity for colorectal cancer HCT 116 cell line and supported the formation of 3D multicellular structures of the spherical shape and size up to 200 µm, while in more brittle chitosan-BDDGE cryogel this cell culture formed epithelia-like sheets. Hence, the selection of the cross-linker type and concentration for chitosan scaffold fabrication can be used to mimic the solid tumor microenvironment of certain human tissue, control matrix-driven changes in the morphology of cancer cell aggregates, and facilitate long-term experiments with 3D tumor cell cultures.

摘要

在此,我们展示了一种1,1,3-三缩水甘油氧基丙烷(TGP)的合成新方法,并研究了与使用1,4-丁二醇二缩水甘油醚(BDDGE)和聚乙二醇二缩水甘油醚(PEGDGE)交联的壳聚糖支架相比,交联剂支化如何影响壳聚糖支架的力学性能和细胞毒性。我们已经证明,在零下温度下,TGP与壳聚糖的摩尔比为1:1至1:20时,TGP是壳聚糖的有效交联剂。尽管壳聚糖支架的弹性按交联剂PEGDGE > TGP > BDDGE的顺序增加,但TGP提供的冷冻凝胶具有最高的抗压强度。壳聚糖-TGP冷冻凝胶对结肠直肠癌HCT 116细胞系显示出低细胞毒性,并支持形成球形且尺寸达200 µm的三维多细胞结构,而在更脆的壳聚糖-BDDGE冷冻凝胶中,这种细胞培养形成上皮样片层。因此,选择壳聚糖支架制造的交联剂类型和浓度可用于模拟某些人体组织的实体瘤微环境,控制基质驱动的癌细胞聚集体形态变化,并促进三维肿瘤细胞培养的长期实验。

https://cdn.ncbi.nlm.nih.gov/pmc/blobs/a471/10296740/f315fd6961d1/biomimetics-08-00228-sch001.jpg

文献AI研究员

20分钟写一篇综述,助力文献阅读效率提升50倍。

立即体验

用中文搜PubMed

大模型驱动的PubMed中文搜索引擎

马上搜索

文档翻译

学术文献翻译模型,支持多种主流文档格式。

立即体验