Suppr超能文献

合成与 Mycalin A 相关的溴化内脂:对转移性黑素瘤细胞的选择性抗增殖活性和细胞迁移抑制作用。

Synthesis of Brominated Lactones Related to Mycalin A: Selective Antiproliferative Activity on Metastatic Melanoma Cells and Inhibition of the Cell Migration.

机构信息

CESTEV, University of Naples Federico II, 80145 Naples, Italy.

Department of Chemical Sciences, University of Naples Federico II, 80126 Naples, Italy.

出版信息

Mar Drugs. 2023 Jun 7;21(6):349. doi: 10.3390/md21060349.

Abstract

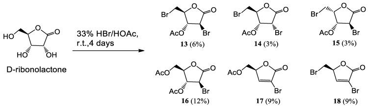
Starting from D-xylonolactone and D-ribonolactone, several five-membered bromolactones, related to the C1-C5 portion of mycalin A lactone, have been synthesized. The bromination of D-ribonolactone with HBr/AcOH, without a subsequent transesterification step, has been studied for the first time, giving us most of the acetylated lactones investigated in the present study. For each compound, where possible, both the C-3 alcohol and the corresponding acetate were prepared. Evaluation of their anti-tumor activity showed that all the acetates possess a good cytotoxicity towards human melanoma (A375), human cervical adenocarcinoma (HeLa) and human metastatic melanoma (WM266) cancer cells, comparable or even higher than that displayed by the original mycalin A lactone. Lactone acetates derived from D-ribonolactone showed the higher selectivity of action, exhibiting a strong cytotoxicity on all the tested tumor cells but only a limited toxicity on healthy human dermal fibroblast (HDF) cells, used as a control. Wound healing assays showed that two of these substances inhibit the migration of the WM266 cells.

摘要

从 D-木糖醇和 D-核糖醇开始,已经合成了几种与 mycalin A 内酯的 C1-C5 部分有关的五元溴内酯。首次研究了 D-核糖醇与 HBr/AcOH 的溴化,而无需后续的酯交换步骤,这为我们提供了本研究中研究的大部分乙酰化内酯。对于每种化合物,在可能的情况下,都制备了 C-3 醇和相应的乙酸酯。评估它们的抗肿瘤活性表明,所有的乙酸酯对人黑色素瘤(A375)、人宫颈腺癌(HeLa)和人转移性黑色素瘤(WM266)癌细胞均具有良好的细胞毒性,与原始的 mycalin A 内酯相当甚至更高。衍生自 D-核糖醇的内酯乙酸酯显示出更高的作用选择性,对所有测试的肿瘤细胞均表现出强烈的细胞毒性,但对作为对照的健康人真皮成纤维细胞(HDF)仅有有限的毒性。伤口愈合试验表明,其中两种物质抑制了 WM266 细胞的迁移。

https://cdn.ncbi.nlm.nih.gov/pmc/blobs/e889/10301594/3bb16181290c/marinedrugs-21-00349-g001.jpg

文献检索

告别复杂PubMed语法,用中文像聊天一样搜索,搜遍4000万医学文献。AI智能推荐,让科研检索更轻松。

立即免费搜索

文件翻译

保留排版,准确专业,支持PDF/Word/PPT等文件格式,支持 12+语言互译。

免费翻译文档

深度研究

AI帮你快速写综述,25分钟生成高质量综述,智能提取关键信息,辅助科研写作。

立即免费体验