Suppr超能文献

用于研究β-淀粉样蛋白聚集的带电液-液界面的电化学与计算研究

An Electrochemistry and Computational Study at an Electrified Liquid-Liquid Interface for Studying Beta-Amyloid Aggregation.

作者信息

Silwane Bongiwe, Wilson Mark, Kataky Ritu

机构信息

Department of Chemistry, Durham University, Durham DH1 3LE, UK.

出版信息

Membranes (Basel). 2023 Jun 5;13(6):584. doi: 10.3390/membranes13060584.

Abstract

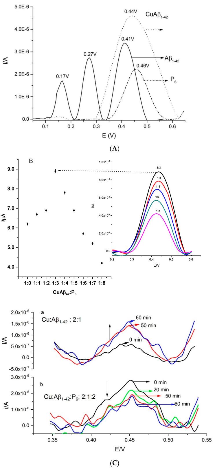
Amphiphilic peptides, such as Aß amyloids, can adsorb at an interface between two immiscible electrolyte solutions (ITIES). Based on previous work (vide infra), a hydrophilic/hydrophobic interface is used as a simple biomimetic system for studying drug interactions. The ITIES provides a 2D interface to study ion-transfer processes associated with aggregation, as a function of Galvani potential difference. Here, the aggregation/complexation behaviour of Aβ is studied in the presence of Cu (II) ions, together with the effect of a multifunctional peptidomimetic inhibitor (P6). Cyclic and differential pulse voltammetry proved to be particularly sensitive to the detection of the complexation and aggregation of Aβ, enabling estimations of changes in lipophilicity upon binding to Cu (II) and P6. At a 1:1 ratio of Cu (II):Aβ, fresh samples showed a single DPV (Differential Pulse Voltammetry) peak half wave transfer potential (E1/2) at 0.40 V. Upon increasing the ratio of Cu (II) two-fold, fluctuations were observed in the DPVs, indicating aggregation. The approximate stoichiometry and binding properties of Aβ during complexation with Cu (II) were determined by performing a differential pulse voltammetry (DPV) standard addition method, which showed two binding regimes. A pKa of 8.1 was estimated, with a Cu:Aβ ratio~1:1.7. Studies using molecular dynamics simulations of peptides at the ITIES show that Aβ strands interact through the formation of β-sheet stabilised structures. In the absence of copper, binding/unbinding is dynamic, and interactions are relatively weak, leading to the observation of parallel and anti-parallel arrangements of β-sheet stabilised aggregates. In the presence of copper ions, strong binding occurs between a copper ion and histidine residues on two peptides. This provides a convenient geometry for inducing favourable interactions between folded β-sheet structures. Circular Dichroism spectroscopy (CD spectroscopy) was used to support the aggregation behaviour of the Aβ peptides following the addition of Cu (II) and P6 to the aqueous phase.

摘要

两亲性肽,如Aβ淀粉样蛋白,可吸附在两种互不相溶的电解质溶液(ITIES)之间的界面上。基于先前的工作(见下文),亲水/疏水界面被用作研究药物相互作用的简单仿生系统。ITIES提供了一个二维界面,用于研究与聚集相关的离子转移过程,该过程是伽伐尼电位差的函数。在此,研究了在铜(II)离子存在下Aβ的聚集/络合行为,以及多功能拟肽抑制剂(P6)的作用。循环伏安法和差分脉冲伏安法被证明对检测Aβ的络合和聚集特别敏感,能够估计与铜(II)和P6结合后亲脂性的变化。在铜(II)与Aβ的比例为1:1时,新鲜样品在0.40 V处显示出单个差分脉冲伏安法(DPV)峰半波转移电位(E1/2)。当铜(II)的比例增加两倍时,在DPV中观察到波动,表明发生了聚集。通过执行差分脉冲伏安法(DPV)标准加入法确定了Aβ与铜(II)络合过程中的近似化学计量和结合特性,该方法显示出两种结合模式。估计pKa为8.1,铜与Aβ的比例约为1:1.7。使用ITIES处肽的分子动力学模拟进行的研究表明,Aβ链通过形成β-折叠稳定结构相互作用。在没有铜的情况下,结合/解离是动态的,相互作用相对较弱,导致观察到β-折叠稳定聚集体的平行和反平行排列。在铜离子存在下,铜离子与两条肽上的组氨酸残基之间发生强结合。这为诱导折叠的β-折叠结构之间的有利相互作用提供了便利的几何结构。圆二色光谱(CD光谱)用于支持在水相中添加铜(II)和P6后Aβ肽的聚集行为。

https://cdn.ncbi.nlm.nih.gov/pmc/blobs/2ccf/10303370/8714de19e3f6/membranes-13-00584-g001.jpg

文献AI研究员

20分钟写一篇综述,助力文献阅读效率提升50倍。

立即体验

用中文搜PubMed

大模型驱动的PubMed中文搜索引擎

马上搜索

文档翻译

学术文献翻译模型,支持多种主流文档格式。

立即体验