Department of Analytical Chemistry, Faculty of Chemistry, University of Vienna, 1090 Vienna, Austria.
Department of Neurosurgery, Kepler University Hospital GmbH, Johannes Kepler University, 4040 Linz, Austria.
Cells. 2023 Jun 15;12(12):1639. doi: 10.3390/cells12121639.
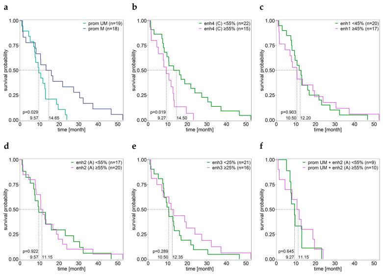
The repair protein O6-methylguanine-DNA methyltransferase (MGMT) is regulated epigenetically, mainly by the methylation of the promoter. promoter methylation status has emerged as a prognostic and predictive biomarker for patients with newly diagnosed glioblastoma (GBM). However, a strong negative correlation between promoter methylation and MGMT protein expression cannot be applied as a rule for all GBM patients. In order to investigate if the DNA methylation status of enhancers is associated with promoter methylation, MGMT expression, and the overall survival (OS) of GBM patients, we established assays based on high-resolution melting analysis and pyrosequencing for one intragenic and three intergenic enhancers. For CpGs in an enhancer located 560 kb upstream of the promoter, we found a significant negative correlation between the methylation status and MGMT protein levels of GBM samples expressing MGMT. The methylation status of CpGs in the intragenic enhancer (hs696) was strongly negatively correlated with promoter methylation and was significantly higher in MGMT-expressing GBM samples than in MGMT-non-expressing GBM samples. Moreover, low methylation of CpGs 01-03 and CpGs 09-13 was associated with the longer OS of the GBM patients. Our findings indicate an association between enhancer methylation and promoter methylation, MGMT protein expression, and/or OS.
修复蛋白 O6-甲基鸟嘌呤-DNA 甲基转移酶(MGMT)受表观遗传调控,主要受启动子的甲基化调控。启动子甲基化状态已成为新诊断的胶质母细胞瘤(GBM)患者的预后和预测生物标志物。然而,启动子甲基化和 MGMT 蛋白表达之间的强烈负相关不能作为所有 GBM 患者的规则。为了研究增强子的 DNA 甲基化状态是否与启动子甲基化、MGMT 表达和 GBM 患者的总生存期(OS)相关,我们建立了基于高分辨率熔解分析和焦磷酸测序的检测方法,用于一个内含子和三个间插子的增强子。对于位于启动子上游 560 kb 的增强子中的 CpG,我们发现表达 MGMT 的 GBM 样本中 CpG 的甲基化状态与 MGMT 蛋白水平之间存在显著的负相关。内含子增强子(hs696)中的 CpG 甲基化状态与启动子甲基化呈强烈负相关,并且在表达 MGMT 的 GBM 样本中显着高于不表达 MGMT 的 GBM 样本。此外,CpG01-03 和 CpG09-13 的低甲基化与 GBM 患者的 OS 延长相关。我们的研究结果表明,增强子甲基化与启动子甲基化、MGMT 蛋白表达和/或 OS 之间存在关联。