• 文献检索
  • 文档翻译
  • 深度研究
  • 学术资讯
  • Suppr Zotero 插件Zotero 插件
  • 邀请有礼
  • 套餐&价格
  • 历史记录
应用&插件
Suppr Zotero 插件Zotero 插件浏览器插件Mac 客户端Windows 客户端微信小程序
定价
高级版会员购买积分包购买API积分包
服务
文献检索文档翻译深度研究API 文档MCP 服务
关于我们
关于 Suppr公司介绍联系我们用户协议隐私条款
关注我们

Suppr 超能文献

核心技术专利:CN118964589B侵权必究
粤ICP备2023148730 号-1Suppr @ 2026

文献检索

告别复杂PubMed语法,用中文像聊天一样搜索,搜遍4000万医学文献。AI智能推荐,让科研检索更轻松。

立即免费搜索

文件翻译

保留排版,准确专业,支持PDF/Word/PPT等文件格式,支持 12+语言互译。

免费翻译文档

深度研究

AI帮你快速写综述,25分钟生成高质量综述,智能提取关键信息,辅助科研写作。

立即免费体验

金刚烷胺衍生物靶向 ATP5B 抑制低氧诱导因子-1α 的翻译。

Adamantaniline Derivatives Target ATP5B to Inhibit Translation of Hypoxia Inducible Factor-1α.

机构信息

Department of Medicinal Chemistry, School of Pharmacy, Fudan University, 826 Zhangheng Road, Shanghai, 201203, P. R. China.

Institute of Aging & Tissue Regeneration, National Key Laboratory of Cancer Systems Medicine and Chinese Academy of Medical Sciences Research Unit (NO.2019RU043), Renji Hospital, Shanghai Jiao Tong University School of Medicine, Shanghai, 200025, China.

出版信息

Adv Sci (Weinh). 2023 Sep;10(25):e2301071. doi: 10.1002/advs.202301071. Epub 2023 Jul 3.

DOI:10.1002/advs.202301071
PMID:37401167
原文链接:https://pmc.ncbi.nlm.nih.gov/articles/PMC10477886/
Abstract

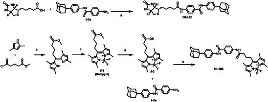
Hypoxia inducible factor-1α (HIF-1α) plays a critical role in cellular adaptation to hypoxia and it is a potential therapeutic target for anti-cancer drugs. Applying high-throughput screening, here it is found that HI-101, a small molecule containing an adamantaniline moiety, effectively reduces HIF-1α protein expression. With the compound as a hit, a probe (HI-102) is developed for target identification by affinity-based protein profiling. The catalytic β subunit of mitochondrial F F -ATP synthase, ATP5B, is identified as the binding protein of HI-derivatives. Mechanistically, HI-101 promotes the binding of HIF-1α mRNA to ATP5B, thus inhibiting HIF-1α translation and the following transcriptional activity. Further modifications of HI-101 lead to HI-104, a compound with good pharmacokinetic properties, exhibiting antitumor activity in MHCC97-L mice xenograft model, and HI-105, the most potent compound with an IC of 26 nm. The findings provide a new strategy for further developing HIF-1α inhibitors by translational inhibition through ATP5B.

摘要

缺氧诱导因子-1α(HIF-1α)在细胞对缺氧的适应中起着关键作用,是抗癌药物的潜在治疗靶点。通过高通量筛选,发现小分子化合物 HI-101 能有效降低 HIF-1α 蛋白表达。以该化合物为先导物,通过亲和蛋白谱法开发了探针 HI-102 进行靶标鉴定。HI-衍生物的结合蛋白被鉴定为线粒体 F F -ATP 合酶的催化β亚基 ATP5B。在机制上,HI-101 促进 HIF-1α mRNA 与 ATP5B 的结合,从而抑制 HIF-1α 的翻译及其后续的转录活性。对 HI-101 的进一步修饰得到了 HI-104,一种具有良好药代动力学性质的化合物,在 MHCC97-L 小鼠异种移植模型中显示出抗肿瘤活性,以及最有效的化合物 HI-105,其 IC 为 26nm。这些发现为通过 ATP5B 翻译抑制进一步开发 HIF-1α 抑制剂提供了一种新策略。

https://cdn.ncbi.nlm.nih.gov/pmc/blobs/416c/10477886/7312397efb18/ADVS-10-2301071-g030.jpg
https://cdn.ncbi.nlm.nih.gov/pmc/blobs/416c/10477886/86f0381d7600/ADVS-10-2301071-g022.jpg
https://cdn.ncbi.nlm.nih.gov/pmc/blobs/416c/10477886/4753d89acf7c/ADVS-10-2301071-g013.jpg
https://cdn.ncbi.nlm.nih.gov/pmc/blobs/416c/10477886/a6e4dc360cd6/ADVS-10-2301071-g020.jpg
https://cdn.ncbi.nlm.nih.gov/pmc/blobs/416c/10477886/01f455b62744/ADVS-10-2301071-g032.jpg
https://cdn.ncbi.nlm.nih.gov/pmc/blobs/416c/10477886/eceece6bdcb1/ADVS-10-2301071-g008.jpg
https://cdn.ncbi.nlm.nih.gov/pmc/blobs/416c/10477886/30e41dac44a2/ADVS-10-2301071-g021.jpg
https://cdn.ncbi.nlm.nih.gov/pmc/blobs/416c/10477886/2e2a8ab635c0/ADVS-10-2301071-g007.jpg
https://cdn.ncbi.nlm.nih.gov/pmc/blobs/416c/10477886/dc246c53866d/ADVS-10-2301071-g031.jpg
https://cdn.ncbi.nlm.nih.gov/pmc/blobs/416c/10477886/7312397efb18/ADVS-10-2301071-g030.jpg
https://cdn.ncbi.nlm.nih.gov/pmc/blobs/416c/10477886/86f0381d7600/ADVS-10-2301071-g022.jpg
https://cdn.ncbi.nlm.nih.gov/pmc/blobs/416c/10477886/4753d89acf7c/ADVS-10-2301071-g013.jpg
https://cdn.ncbi.nlm.nih.gov/pmc/blobs/416c/10477886/a6e4dc360cd6/ADVS-10-2301071-g020.jpg
https://cdn.ncbi.nlm.nih.gov/pmc/blobs/416c/10477886/01f455b62744/ADVS-10-2301071-g032.jpg
https://cdn.ncbi.nlm.nih.gov/pmc/blobs/416c/10477886/eceece6bdcb1/ADVS-10-2301071-g008.jpg
https://cdn.ncbi.nlm.nih.gov/pmc/blobs/416c/10477886/30e41dac44a2/ADVS-10-2301071-g021.jpg
https://cdn.ncbi.nlm.nih.gov/pmc/blobs/416c/10477886/2e2a8ab635c0/ADVS-10-2301071-g007.jpg
https://cdn.ncbi.nlm.nih.gov/pmc/blobs/416c/10477886/dc246c53866d/ADVS-10-2301071-g031.jpg
https://cdn.ncbi.nlm.nih.gov/pmc/blobs/416c/10477886/7312397efb18/ADVS-10-2301071-g030.jpg

相似文献

1
Adamantaniline Derivatives Target ATP5B to Inhibit Translation of Hypoxia Inducible Factor-1α.金刚烷胺衍生物靶向 ATP5B 抑制低氧诱导因子-1α 的翻译。
Adv Sci (Weinh). 2023 Sep;10(25):e2301071. doi: 10.1002/advs.202301071. Epub 2023 Jul 3.
2
Design, synthesis, and target identification of new hypoxia-inducible factor 1 (HIF-1) inhibitors containing 1-alkyl-1H-pyrazole-3-carboxamide moiety.含 1-烷基-1H-吡唑-3-甲酰胺部分的新型缺氧诱导因子 1(HIF-1)抑制剂的设计、合成与靶标鉴定。
Bioorg Med Chem. 2021 Sep 15;46:116375. doi: 10.1016/j.bmc.2021.116375. Epub 2021 Aug 30.
3
Synthesis and evaluation of biarylquinoline derivatives as novel HIF-1α inhibitors.联苯喹啉衍生物的合成与评价及其作为新型 HIF-1α 抑制剂的研究。
Bioorg Chem. 2022 Apr;121:105681. doi: 10.1016/j.bioorg.2022.105681. Epub 2022 Feb 12.
4
Cucurbitacin B inhibits the translational expression of hypoxia-inducible factor-1α.葫芦素 B 抑制低氧诱导因子-1α 的翻译表达。
Eur J Pharmacol. 2014 Jan 15;723:46-54. doi: 10.1016/j.ejphar.2013.12.005. Epub 2013 Dec 12.
5
Identification of approved and investigational drugs that inhibit hypoxia-inducible factor-1 signaling.鉴定抑制缺氧诱导因子-1信号传导的已批准和正在研究的药物。
Oncotarget. 2016 Feb 16;7(7):8172-83. doi: 10.18632/oncotarget.6995.
6
Stilbenoid derivatives as potent inhibitors of HIF-1α-centric cancer metabolism under hypoxia.二苯乙烯类衍生物作为潜在的缺氧条件下 HIF-1α 中心型癌症代谢抑制剂。
Biomed Pharmacother. 2024 Jul;176:116838. doi: 10.1016/j.biopha.2024.116838. Epub 2024 May 30.
7
MPT0B098, a novel microtubule inhibitor that destabilizes the hypoxia-inducible factor-1α mRNA through decreasing nuclear-cytoplasmic translocation of RNA-binding protein HuR.MPT0B098,一种新型的微管抑制剂,通过减少 RNA 结合蛋白 HuR 的核质转位来破坏缺氧诱导因子-1α mRNA 的稳定性。
Mol Cancer Ther. 2013 Jul;12(7):1202-12. doi: 10.1158/1535-7163.MCT-12-0778. Epub 2013 Apr 25.
8
Kamebakaurin inhibits the expression of hypoxia-inducible factor-1α and its target genes to confer antitumor activity.龟甲aurin抑制缺氧诱导因子-1α及其靶基因的表达以赋予抗肿瘤活性。
Oncol Rep. 2016 Apr;35(4):2045-52. doi: 10.3892/or.2016.4576. Epub 2016 Jan 19.
9
Identification of novel small molecule inhibitors of hypoxia-inducible factor-1 that differentially block hypoxia-inducible factor-1 activity and hypoxia-inducible factor-1alpha induction in response to hypoxic stress and growth factors.鉴定新型小分子缺氧诱导因子-1抑制剂,这些抑制剂可在低氧应激和生长因子作用下差异性地阻断缺氧诱导因子-1活性和缺氧诱导因子-1α诱导。
Cancer Res. 2005 Jun 1;65(11):4918-28. doi: 10.1158/0008-5472.CAN-04-4453.
10
Suppression of hypoxia-inducible factor 1α (HIF-1α) by tirapazamine is dependent on eIF2α phosphorylation rather than the mTORC1/4E-BP1 pathway.替拉扎胺抑制低氧诱导因子 1α(HIF-1α)的作用依赖于 eIF2α 的磷酸化,而不是 mTORC1/4E-BP1 通路。
PLoS One. 2010 Nov 9;5(11):e13910. doi: 10.1371/journal.pone.0013910.

引用本文的文献

1
Spatiotemporal Heterogeneity of Tumor Glucose Metabolism Reprogramming: From Single-Cell Mechanisms to Precision Interventions.肿瘤葡萄糖代谢重编程的时空异质性:从单细胞机制到精准干预
Int J Mol Sci. 2025 Jul 18;26(14):6901. doi: 10.3390/ijms26146901.
2
Recent advances in novel tumor immunotherapy strategies based on regulating the tumor microenvironment and immune checkpoints.基于调节肿瘤微环境和免疫检查点的新型肿瘤免疫治疗策略的最新进展。
Front Immunol. 2025 Jun 18;16:1529403. doi: 10.3389/fimmu.2025.1529403. eCollection 2025.
3
[Research Progress in the Role of Hypoxia-Inducible Factor 1 in Altitude Sickness and the Mechanisms Involved].

本文引用的文献

1
Design, synthesis, and target identification of new hypoxia-inducible factor 1 (HIF-1) inhibitors containing 1-alkyl-1H-pyrazole-3-carboxamide moiety.含 1-烷基-1H-吡唑-3-甲酰胺部分的新型缺氧诱导因子 1(HIF-1)抑制剂的设计、合成与靶标鉴定。
Bioorg Med Chem. 2021 Sep 15;46:116375. doi: 10.1016/j.bmc.2021.116375. Epub 2021 Aug 30.
2
Synthesis and evaluation of 3-(phenylethynyl)-1,1'-biphenyl-2-carboxylate derivatives as new HIF-1 inhibitors.合成与评价 3-(苯乙炔基)-1,1'-联苯-2-羧酸酯衍生物作为新型 HIF-1 抑制剂。
Bioorg Chem. 2021 Nov;116:105298. doi: 10.1016/j.bioorg.2021.105298. Epub 2021 Aug 21.
3
Therapeutic targeting of the hypoxic tumour microenvironment.
[缺氧诱导因子1在高原病中的作用及相关机制的研究进展]
Sichuan Da Xue Xue Bao Yi Xue Ban. 2024 Nov 20;55(6):1424-1435. doi: 10.12182/20241160303.
4
Reduction of protects mice from diet-induced obesity.减少……可保护小鼠免受饮食诱导的肥胖。 (你提供的原文不完整,“Reduction of”后面缺少具体内容)
Genes Dis. 2024 Mar 22;12(2):101276. doi: 10.1016/j.gendis.2024.101276. eCollection 2025 Mar.
缺氧肿瘤微环境的治疗靶向。
Nat Rev Clin Oncol. 2021 Dec;18(12):751-772. doi: 10.1038/s41571-021-00539-4. Epub 2021 Jul 29.
4
An Overview of the Recent Development of Anticancer Agents Targeting the HIF-1 Transcription Factor.靶向缺氧诱导因子-1转录因子的抗癌药物最新进展概述
Cancers (Basel). 2021 Jun 4;13(11):2813. doi: 10.3390/cancers13112813.
5
Cancer Cell Metabolism in Hypoxia: Role of HIF-1 as Key Regulator and Therapeutic Target.缺氧环境下的肿瘤细胞代谢:HIF-1 作为关键调节因子和治疗靶点的作用。
Int J Mol Sci. 2021 May 27;22(11):5703. doi: 10.3390/ijms22115703.
6
Bedaquiline, an FDA-approved drug, inhibits mitochondrial ATP production and metastasis in vivo, by targeting the gamma subunit (ATP5F1C) of the ATP synthase.贝达喹啉是一种经 FDA 批准的药物,通过靶向 ATP 合酶的γ亚基(ATP5F1C)抑制线粒体 ATP 产生和体内转移。
Cell Death Differ. 2021 Sep;28(9):2797-2817. doi: 10.1038/s41418-021-00788-x. Epub 2021 May 13.
7
ATP5B promotes the metastasis and growth of gastric cancer by activating the FAK/AKT/MMP2 pathway.ATP5B 通过激活 FAK/AKT/MMP2 通路促进胃癌的转移和生长。
FASEB J. 2021 Apr;35(4):e20649. doi: 10.1096/fj.202000608R.
8
Benchmarking the mechanisms of frequent hitters: limitation of PAINS alerts.频繁命中药物靶点的机制基准测试:PAINS 警报的局限性。
Drug Discov Today. 2021 Jun;26(6):1353-1358. doi: 10.1016/j.drudis.2021.02.003. Epub 2021 Feb 10.
9
The role of hypoxia in the tumor microenvironment and development of cancer stem cell: a novel approach to developing treatment.缺氧在肿瘤微环境及癌症干细胞发展中的作用:一种开发治疗方法的新途径。
Cancer Cell Int. 2021 Jan 20;21(1):62. doi: 10.1186/s12935-020-01719-5.
10
Ways into Understanding HIF Inhibition.理解低氧诱导因子抑制的方法。
Cancers (Basel). 2021 Jan 5;13(1):159. doi: 10.3390/cancers13010159.