Suppr超能文献

家长报告版多伦多强迫症量表(TOCS)的临床验证:一种儿科开源评定量表。

Clinical validation of the parent-report Toronto Obsessive-Compulsive Scale (TOCS): A pediatric open-source rating scale.

作者信息

Lambe Laura J, Burton Christie L, Anagnostou Evdokia, Kelley Elizabeth, Nicolson Robert, Georgiades Stelios, Soreni Noam, Schachar Russell J, Hanna Gregory L, Arnold Paul D, Crosbie Jennifer

机构信息

Program of Neurosciences and Mental Health Hospital for Sick Children Toronto Ontario Canada.

Bloorview Research Institute Holland Bloorview Kids Rehabilitation Hospital Toronto Ontario Canada.

出版信息

JCPP Adv. 2021 Dec 3;1(4):e12056. doi: 10.1002/jcv2.12056. eCollection 2021 Dec.

Abstract

BACKGROUND

There is a need to develop a multipurpose obsessive-compulsive disorder (OCD) measure that is useful for cross disorder research and as a reliable clinical rating scale. The current study examined the psychometric properties and established clinical cutoffs for the parent-report version of the Toronto Obsessive-Compulsive Scale (TOCS), a 21-item rating scale of obsessive-compulsive traits.

METHOD

Participants ranged in age from 6 to 21 years old and had a primary diagnosis of OCD ( = 350, 50% female), attention-deficit/hyperactivity disorder (ADHD) ( = 820, 25% female), autism spectrum disorder (ASD) ( = 794, 22% female), or were typically developing controls ( = 391, 51% female). Confirmatory factor analyses, internal consistency reliability, and convergent and divergent validity of the TOCS were examined in the OCD group. Using various scoring approaches, receiver operating characteristic (ROC) analyses were used to establish a clinical cut-off by splitting the OCD group into a discovery sample (166 OCD cases, 164 controls) and a validation sample (184 OCD cases, 227 controls). Classification accuracy and TOCS scores were compared across OCD, ADHD, and ASD groups.

RESULTS

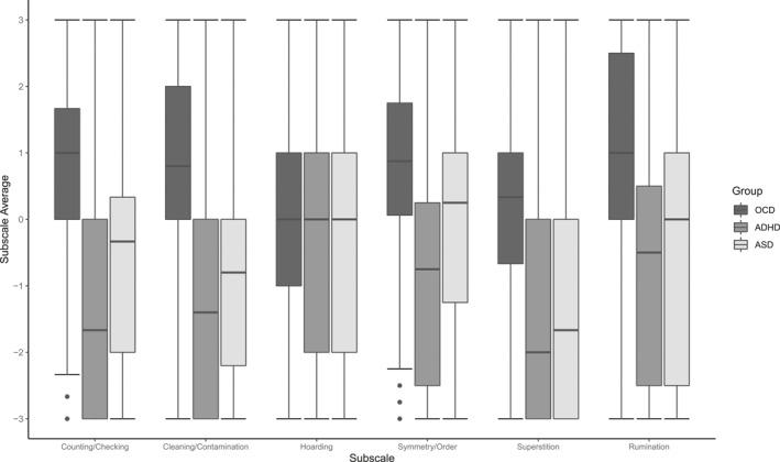
The psychometric properties of the TOCS were confirmed. ROC analyses across TOCS scoring approaches in the discovery sample indicated excellent diagnostic discrimination (AUC ≥0.95, sensitivity 77%-92%, specificity 92%-98%). Established cutoffs, when applied in the independent validation sample of OCD cases and controls, showed an overall classification accuracy of 85%-90%. The TOCS total score and symptom count showed good discrimination of OCD from ADHD (AUC ≥0.86) and ASD (AUC ≥0.81). The OCD group scored significantly higher on all TOCS dimensions (except Hoarding) than the ADHD and ASD groups.

CONCLUSION

The TOCS is a reliable and valid rating scale with strong sensitivity and specificity in discriminating OCD cases from controls, as well as from ASD and ADHD. It is a quantitative OCD measure with important clinical and research applications, with particular relevance for cross disorder phenotyping and population-based studies.

摘要

背景

需要开发一种多用途的强迫症(OCD)测量工具,用于跨疾病研究并作为可靠的临床评定量表。本研究检验了多伦多强迫观念与行为量表(TOCS)家长报告版的心理测量特性,并确定了临床临界值,该量表是一个包含21个条目的强迫特质评定量表。

方法

参与者年龄在6至21岁之间,主要诊断为强迫症(n = 350,50%为女性)、注意力缺陷多动障碍(ADHD)(n = 820,25%为女性)、自闭症谱系障碍(ASD)(n = 794,22%为女性),或为发育正常的对照组(n = 391,51%为女性)。在强迫症组中检验了TOCS的验证性因素分析、内部一致性信度以及聚合效度和区分效度。使用多种计分方法,通过将强迫症组分为发现样本(166例强迫症病例,164例对照)和验证样本(184例强迫症病例,227例对照),采用受试者操作特征(ROC)分析来确定临床临界值。比较了强迫症、ADHD和ASD组的分类准确性和TOCS分数。

结果

TOCS的心理测量特性得到了验证。发现样本中TOCS各种计分方法的ROC分析显示出优异的诊断区分度(曲线下面积[AUC]≥0.95,灵敏度77%-92%,特异度92%-98%)。在强迫症病例和对照的独立验证样本中应用确定的临界值时,总体分类准确性为85%-90%。TOCS总分和症状计数在区分强迫症与ADHD(AUC≥0.86)和ASD(AUC≥0.81)方面表现出良好的区分度。强迫症组在TOCS所有维度(除囤积维度外)上的得分均显著高于ADHD组和ASD组。

结论

TOCS是一种可靠且有效的评定量表,在区分强迫症病例与对照以及与ASD和ADHD方面具有很强的灵敏度和特异度。它是一种定量的强迫症测量工具,具有重要的临床和研究应用价值,尤其适用于跨疾病表型分析和基于人群的研究。

https://cdn.ncbi.nlm.nih.gov/pmc/blobs/f6ec/10242913/91d8fd2cdf5c/JCV2-1-e12056-g001.jpg

文献检索

告别复杂PubMed语法,用中文像聊天一样搜索,搜遍4000万医学文献。AI智能推荐,让科研检索更轻松。

立即免费搜索

文件翻译

保留排版,准确专业,支持PDF/Word/PPT等文件格式,支持 12+语言互译。

免费翻译文档

深度研究

AI帮你快速写综述,25分钟生成高质量综述,智能提取关键信息,辅助科研写作。

立即免费体验