Suppr超能文献

持续性根尖周炎的细胞因子/趋化因子谱与合并症有关吗?

Are comorbidities associated with the cytokine/chemokine profile of persistent apical periodontitis?

机构信息

Department of Biomaterials, Institute of Clinical Dentistry, University of Oslo, Oslo, Norway.

Department of Endodontics, Institute of Clinical Dentistry, University of Oslo, Oslo, Norway.

出版信息

Clin Oral Investig. 2023 Sep;27(9):5203-5215. doi: 10.1007/s00784-023-05139-3. Epub 2023 Jul 11.

Abstract

OBJECTIVES

This study aimed to identify disease-related markers in persistent apical periodontitis (PAP) biopsies and examine whether these were associated with comorbidities like rheumatoid arthritis (RA) and cardiovascular diseases (CVD).

MATERIALS AND METHOD

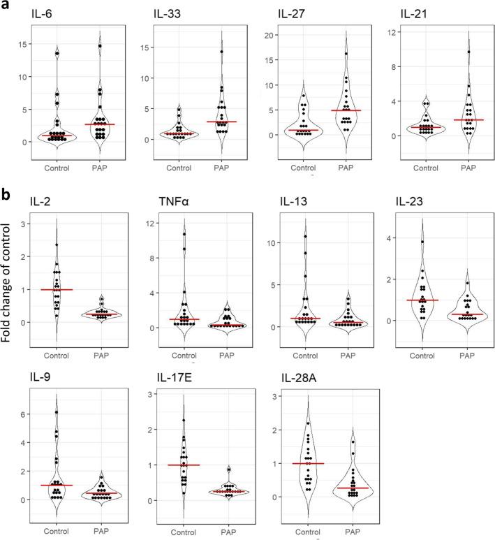
The levels of the cytokines/chemokines GM-CSF, IFN-γ, IL-2, IL-6, IL-9, IL-10, IL-13, IL-15, IL-17E/IL-25, IL-21, IL-23, IL-27, IL-28A/IFN -λ2, IL-33, MIP-3α/CCL20, and TNF-α were determined in lesions from patients with PAP (n = 20) and compared to healthy bone samples (n = 20).

RESULTS

We identified eleven cytokines to be differently expressed, and among them, IL-2, IL-6, IL-17E, IL-21, and IL-27 appeared to drive the discrepancy between the disease and healthy groups. The levels of T follicular helper (Tfh) cell promoting cytokines (IL-21, IL-6, IL-27) were enhanced while T helper (Th) 1 cell promoting cytokine (IL-2), Th2 cell promoting cytokine (IL-13), and Th17 cell promoting cytokine (IL-17E) were reduced in the PAP group. The data also indicate that Tfh cell differentiation (IL-21), along with Th1 (GM-CSF, IFNγ), Th2 (IL-13), and Th17 (GM-CSF) cell differentiation, might be increased in the subpopulation of patients suffering from RA, whereas no differences were found in patients with CVD.

CONCLUSIONS

Levels of cytokines/chemokines in PAP were identified, and cluster analyzes indicated that these markers may be associated with the differentiation of different T cell populations. Patients with PAP and RA comorbidities showed elevated levels of markers reinforcing this association.

CLINICAL RELEVANCE

Molecular analyses of PAP may result in identification of prognostic markers.

摘要

目的

本研究旨在鉴定持续性根尖周炎(PAP)活检中的疾病相关标志物,并研究这些标志物是否与类风湿关节炎(RA)和心血管疾病(CVD)等合并症相关。

材料和方法

测定了患者(n=20)PAP 病变和健康骨样本(n=20)中细胞因子/趋化因子 GM-CSF、IFN-γ、IL-2、IL-6、IL-9、IL-10、IL-13、IL-15、IL-17E/IL-25、IL-21、IL-23、IL-27、IL-28A/IFN-λ2、IL-33、MIP-3α/CCL20 和 TNF-α 的水平,并将其与健康骨样本进行了比较。

结果

我们鉴定出 11 种细胞因子表达不同,其中 IL-2、IL-6、IL-17E、IL-21 和 IL-27 似乎是导致疾病组与健康组差异的原因。滤泡辅助性 T(Tfh)细胞促进细胞因子(IL-21、IL-6、IL-27)水平升高,而辅助性 T(Th)1 细胞促进细胞因子(IL-2)、Th2 细胞促进细胞因子(IL-13)和 Th17 细胞促进细胞因子(IL-17E)水平降低。数据还表明,在患有 RA 的患者亚群中,Tfh 细胞分化(IL-21)以及 Th1(GM-CSF、IFNγ)、Th2(IL-13)和 Th17(GM-CSF)细胞分化可能增加,而在患有 CVD 的患者中则没有差异。

结论

鉴定了 PAP 中的细胞因子/趋化因子水平,聚类分析表明这些标志物可能与不同 T 细胞群的分化有关。患有 PAP 和 RA 合并症的患者显示出升高的标志物水平,进一步证实了这种关联。

临床意义

对 PAP 的分子分析可能会鉴定出预后标志物。

https://cdn.ncbi.nlm.nih.gov/pmc/blobs/a804/10492720/377febc2341a/784_2023_5139_Fig1_HTML.jpg

文献检索

告别复杂PubMed语法,用中文像聊天一样搜索,搜遍4000万医学文献。AI智能推荐,让科研检索更轻松。

立即免费搜索

文件翻译

保留排版,准确专业,支持PDF/Word/PPT等文件格式,支持 12+语言互译。

免费翻译文档

深度研究

AI帮你快速写综述,25分钟生成高质量综述,智能提取关键信息,辅助科研写作。

立即免费体验