• 文献检索
  • 文档翻译
  • 深度研究
  • 学术资讯
  • Suppr Zotero 插件Zotero 插件
  • 邀请有礼
  • 套餐&价格
  • 历史记录
应用&插件
Suppr Zotero 插件Zotero 插件浏览器插件Mac 客户端Windows 客户端微信小程序
定价
高级版会员购买积分包购买API积分包
服务
文献检索文档翻译深度研究API 文档MCP 服务
关于我们
关于 Suppr公司介绍联系我们用户协议隐私条款
关注我们

Suppr 超能文献

核心技术专利:CN118964589B侵权必究
粤ICP备2023148730 号-1Suppr @ 2026

文献检索

告别复杂PubMed语法,用中文像聊天一样搜索,搜遍4000万医学文献。AI智能推荐,让科研检索更轻松。

立即免费搜索

文件翻译

保留排版,准确专业,支持PDF/Word/PPT等文件格式,支持 12+语言互译。

免费翻译文档

深度研究

AI帮你快速写综述,25分钟生成高质量综述,智能提取关键信息,辅助科研写作。

立即免费体验

存在双引发剂的低密度不饱和聚酯树脂

Low-Density Unsaturated Polyester Resin with the Presence of Dual-Initiator.

作者信息

Zhu Jinjian, Wang Xiaojun, Chen Minzhuang

机构信息

Department of Composite Materials, College of Materials Science and Engineering, Nanjing Tech University, Nanjing 211800, China.

出版信息

Materials (Basel). 2023 Jun 28;16(13):4677. doi: 10.3390/ma16134677.

DOI:10.3390/ma16134677
PMID:37444990
原文链接:https://pmc.ncbi.nlm.nih.gov/articles/PMC10342389/
Abstract

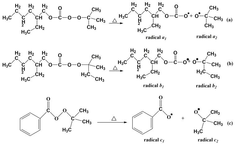
Dual-initiation is a new orientation of many studies in the curing of unsaturated polyester resin and the manufacture of low-density unsaturated polyester resin (LDUPR) composite materials. In our research, two kinds of low-temperature (40-70 °C) initiators (cyclohexanone peroxide (CYHP) and methyl ethyl ketone peroxide (MEKP)), one kind of medium-temperature (70-130 °C) initiator (tert-butyl peroxy-2-ethylhexanoate (TBPO)), and three kinds of high-temperature (≥130 °C) initiators (tert-butyl benzoate peroxide (TBPB), tert-amyl carbonate peroxide-2-ethylhexanoate (TAEC), and tert-butyl carbonate peroxide-2-ethylhexanoate (TBEC)) were applied to constitute different dual-initiators. Those dual-initiators were a low-temperature dual-initiator (CYHP/MEKP), medium-low-temperature dual-initiators (CYHP/TBPO and MEKP/TBPO), and high-temperature dual-initiators (TAEC/TBPB, TAEC/TBEC, and TBEC/TBPB). In the low-temperature and medium-low-temperature ranges, the LDUPR sample displayed the highest specific compression strength () of 42.08 ± 0.26 MPa·g·cm in the presence of the MEKP/TBPO dual-initiator. In the high-temperature range, the LDUPR sample exhibited the highest specific compression strength () of 43.32 ± 0.45 MPa·g·cm for the existence of the TAEC/TBPB dual-initiator. It is pointed out that the dual-initiator released more active free radicals, accelerating the initial curing time and the peak time of UPR. More active free radicals caused both high-activity (short-chain) molecules and low-activity (long-chain or intertwined) molecules in resin to cross-link, prolonging UPR's curing process by approximately two minutes and resulting in an improvement of UPR's cross-linking. In the presence of a dual-initiator, the integrated and planar microstructure of LDUPR samples performed uniformly distributed dimples, dispersed external forces, and enhanced samples' specific compressive strength.

摘要

双引发是不饱和聚酯树脂固化及低密度不饱和聚酯树脂(LDUPR)复合材料制造领域众多研究的新方向。在我们的研究中,应用了两种低温(40 - 70°C)引发剂(过氧化环己酮(CYHP)和过氧化甲乙酮(MEKP))、一种中温(70 - 130°C)引发剂(叔丁基过氧 - 2 - 乙基己酸酯(TBPO))以及三种高温(≥130°C)引发剂(过氧化苯甲酸叔丁酯(TBPB)、2 - 乙基己酸叔戊酯过氧化物(TAEC)和2 - 乙基己酸叔丁酯过氧化物(TBEC))来构成不同的双引发剂。这些双引发剂包括低温双引发剂(CYHP/MEKP)、中低温双引发剂(CYHP/TBPO和MEKP/TBPO)以及高温双引发剂(TAEC/TBPB、TAEC/TBEC和TBEC/TBPB)。在低温和中低温范围内,LDUPR样品在MEKP/TBPO双引发剂存在下显示出最高的比压缩强度(),为42.08 ± 0.26 MPa·g·cm。在高温范围内,LDUPR样品在TAEC/TBPB双引发剂存在时表现出最高的比压缩强度(),为43.32 ± 0.45 MPa·g·cm。研究指出,双引发剂释放出更多活性自由基,加快了不饱和聚酯树脂(UPR)的初始固化时间和峰值时间。更多的活性自由基促使树脂中的高活性(短链)分子和低活性(长链或缠结)分子交联,使UPR的固化过程延长约两分钟,并导致UPR交联度提高。在双引发剂存在的情况下,LDUPR样品的整体平面微观结构呈现出均匀分布的凹坑,分散了外力,增强了样品的比压缩强度。

https://cdn.ncbi.nlm.nih.gov/pmc/blobs/6acb/10342389/e24dd2bf0d3f/materials-16-04677-g008.jpg
https://cdn.ncbi.nlm.nih.gov/pmc/blobs/6acb/10342389/27d520d64797/materials-16-04677-g001.jpg
https://cdn.ncbi.nlm.nih.gov/pmc/blobs/6acb/10342389/66b331441754/materials-16-04677-g002.jpg
https://cdn.ncbi.nlm.nih.gov/pmc/blobs/6acb/10342389/e24dd2bf0d3f/materials-16-04677-g008.jpg
https://cdn.ncbi.nlm.nih.gov/pmc/blobs/6acb/10342389/27d520d64797/materials-16-04677-g001.jpg
https://cdn.ncbi.nlm.nih.gov/pmc/blobs/6acb/10342389/66b331441754/materials-16-04677-g002.jpg
https://cdn.ncbi.nlm.nih.gov/pmc/blobs/6acb/10342389/e24dd2bf0d3f/materials-16-04677-g008.jpg

相似文献

1
Low-Density Unsaturated Polyester Resin with the Presence of Dual-Initiator.存在双引发剂的低密度不饱和聚酯树脂
Materials (Basel). 2023 Jun 28;16(13):4677. doi: 10.3390/ma16134677.
2
Long Chopped Glass Fiber Reinforced Low-Density Unsaturated Polyester Resin under Different Initiation.不同引发条件下的长切玻璃纤维增强低密度不饱和聚酯树脂
Materials (Basel). 2021 Nov 29;14(23):7307. doi: 10.3390/ma14237307.
3
High Mechanic Enhancement of Chopped Carbon Fiber Reinforced-Low-Density Unsaturated Polyester Resin Composite at Low Preparation Temperature with Facile Polymerization.在低温制备温度下通过简便聚合实现切碎碳纤维增强低密度不饱和聚酯树脂复合材料的高力学增强
Materials (Basel). 2021 Jul 30;14(15):4273. doi: 10.3390/ma14154273.
4
Thermal Hazard Characteristics of Unsaturated Polyester Resin Mixed with Hardeners.不饱和聚酯树脂与固化剂混合后的热危险特性
Polymers (Basel). 2021 Feb 10;13(4):522. doi: 10.3390/polym13040522.
5
Unravelling the thermal behavior and kinetics of unsaturated polyester resin supplemented with organo-nanoclay.解析添加有机纳米黏土的不饱和聚酯树脂的热行为和动力学
RSC Adv. 2024 Jan 2;14(1):517-528. doi: 10.1039/d3ra06076d.
6
NTP technical report on the toxicity studies of Methyl Ethyl Ketone Peroxide (CAS No. 1338-23-4) in Dimethyl Phthalate (CAS No. 131-11-3) (45:55) Administered Topically in F344/N Rats and B6C3F1 Mice.美国国家毒理学计划(NTP)关于过氧化甲乙酮(化学物质登记号:1338 - 23 - 4)在邻苯二甲酸二甲酯(化学物质登记号:131 - 11 - 3)(45:55)中对F344/N大鼠和B6C3F1小鼠进行局部给药的毒性研究技术报告。
Toxic Rep Ser. 1993 Feb;18:1-C10.
7
Study on Microwave Curing of Unsaturated Polyester Resin and Its Composites Containing Calcium Carbonate.含碳酸钙不饱和聚酯树脂及其复合材料的微波固化研究
Polymers (Basel). 2022 Jun 27;14(13):2598. doi: 10.3390/polym14132598.
8
Conformal polymeric thin films by low-temperature rapid initiated chemical vapor deposition (iCVD) using tert-butyl peroxybenzoate as an initiator.使用叔丁基过氧苯甲酸酯作为引发剂,通过低温快速引发化学气相沉积(iCVD)制备共形聚合物薄膜。
ACS Appl Mater Interfaces. 2011 Jul;3(7):2410-6. doi: 10.1021/am200322k. Epub 2011 Jun 20.
9
Development of a head CT dose index (CTDI) phantom based on polyester resin and methyl ethyl ketone peroxide (MEKP): a preliminary study.基于聚酯树脂和甲乙酮过氧化物(MEKP)的头部 CT 剂量指数(CTDI)体模的研制:初步研究。
J Radiol Prot. 2020 Jun;40(2):544-553. doi: 10.1088/1361-6498/ab81a6. Epub 2020 Mar 20.
10
Development of Low Shrinkage Curing Techniques for Unsaturated Polyester and Vinyl Ester Reinforced Composites.不饱和聚酯和乙烯基酯增强复合材料的低收缩固化技术的发展
Materials (Basel). 2022 Apr 19;15(9):2972. doi: 10.3390/ma15092972.

引用本文的文献

1
Impact of Tung oil on a sustainable bio-based polymer, and development by zinc oxide nanoparticles.桐油对可持续生物基聚合物的影响及氧化锌纳米颗粒的开发。
Sci Rep. 2025 May 26;15(1):18353. doi: 10.1038/s41598-025-99556-x.

本文引用的文献

1
NMR and GPC Analysis of Alkyd Resins: Influence of Synthesis Method, Vegetable Oil and Polyol Content.醇酸树脂的核磁共振与凝胶渗透色谱分析:合成方法、植物油及多元醇含量的影响
Polymers (Basel). 2023 Apr 23;15(9):1993. doi: 10.3390/polym15091993.
2
Development of Low Shrinkage Curing Techniques for Unsaturated Polyester and Vinyl Ester Reinforced Composites.不饱和聚酯和乙烯基酯增强复合材料的低收缩固化技术的发展
Materials (Basel). 2022 Apr 19;15(9):2972. doi: 10.3390/ma15092972.
3
Long Chopped Glass Fiber Reinforced Low-Density Unsaturated Polyester Resin under Different Initiation.
不同引发条件下的长切玻璃纤维增强低密度不饱和聚酯树脂
Materials (Basel). 2021 Nov 29;14(23):7307. doi: 10.3390/ma14237307.
4
High Mechanic Enhancement of Chopped Carbon Fiber Reinforced-Low-Density Unsaturated Polyester Resin Composite at Low Preparation Temperature with Facile Polymerization.在低温制备温度下通过简便聚合实现切碎碳纤维增强低密度不饱和聚酯树脂复合材料的高力学增强
Materials (Basel). 2021 Jul 30;14(15):4273. doi: 10.3390/ma14154273.