Department of Infectious Diseases, Children's Hospital of Chongqing Medical University, National Clinical Research Center for Child Health and Disorders, Ministry of Education Key Laboratory of Child Development and Disorders, Chongqing Key Laboratory of Child Infection and Immunity, Chongqing, China.
Department of Infectious Diseases, Key Laboratory of Molecular Biology for Infectious Diseases, Ministry of Education, Institute for Viral Hepatitis, the Second Affiliated Hospital, Chongqing Medical University, Chongqing, China.
Front Cell Infect Microbiol. 2023 Jun 29;13:1201101. doi: 10.3389/fcimb.2023.1201101. eCollection 2023.
Inactivated SARS-CoV-2 vaccination has recently been approved for children aged 3-17 years in China. However, data on long-term humoral responses to inactivated vaccines in children with chronic hepatitis B (CHB) are still limited.
In this prospective observational study, CHB children after primary inactivated SARS-CoV-2 vaccines were recruited consecutively and followed up for 1 year. CHB adults from another cohort study (NCT05007665) were used as a control. The receptor-binding domain IgG antibody (anti-RBD-IgG), neutralizing antibody (NAb), neutralization against Omicron (BA2.12.1, BA.4 and BA.5), and memory B -cell (MBC) responses were evaluated.
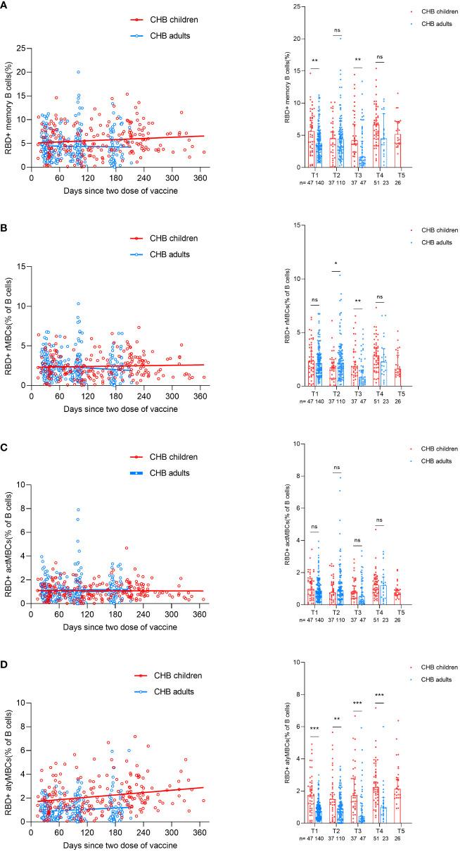
Overall, 115 CHB children and 351 CHB adults were included in this analysis. The antibody titers decreased over the first ~180 days and then plateaued up to 1 year in CHB children. However, lower and faster declines in antibody responses were observed in CHB adults. Interestingly, the seroprevalence of antibodies was still high after over 8 months in CHB children (anti-RBD-IgG [90%] and NAbs [83%]). However, neutralization against Omicron subvariants was significantly reduced in CHB children (-3.68-fold to -8.60-fold). Notably, neutralization against the BA.5 subvariant was obviously diminished in CHB children compared with adults. Moreover, CHB children had similar RBD-specific MBCs but higher RBD-specific atypical MBCs compared with adults.
Inactivated vaccination could elicit more robust and durable antibody responses to the wild-type SARS-CoV-2 strain in CHB children than in CHB adults but showed inferior responses to Omicron subvariants (especially to the BA.5 strain). Hence, new Omicron-related or all-in-one vaccines are needed immediately for CHB children.
在中国,最近已批准将灭活的 SARS-CoV-2 疫苗用于 3-17 岁儿童。然而,关于慢性乙型肝炎(CHB)儿童接种灭活疫苗后长期体液免疫反应的数据仍然有限。
在这项前瞻性观察性研究中,连续招募了完成基础免疫的 CHB 儿童,并进行了为期 1 年的随访。将另一项队列研究(NCT05007665)中的 CHB 成人作为对照。评估了受体结合域 IgG 抗体(anti-RBD-IgG)、中和抗体(NAb)、对奥密克戎(BA2.12.1、BA.4 和 BA.5)的中和作用以及记忆 B 细胞(MBC)反应。
共有 115 名 CHB 儿童和 351 名 CHB 成人纳入本分析。抗体滴度在最初的 180 天左右下降,然后在 CHB 儿童中稳定至 1 年。然而,在 CHB 成人中观察到抗体反应下降更快、更低。有趣的是,CHB 儿童在超过 8 个月后仍保持较高的抗体血清阳性率(anti-RBD-IgG[90%]和 NAbs[83%])。然而,CHB 儿童对奥密克戎亚变体的中和作用明显降低(-3.68 倍至-8.60 倍)。值得注意的是,与成人相比,CHB 儿童对 BA.5 亚变体的中和作用明显减弱。此外,CHB 儿童的 RBD 特异性 MBC 与成人相似,但具有更高的 RBD 特异性非典型 MBC。
与 CHB 成人相比,灭活疫苗可在 CHB 儿童中诱导针对野生型 SARS-CoV-2 株更强大和持久的抗体反应,但对奥密克戎亚变体(尤其是 BA.5 株)的反应较差。因此,CHB 儿童急需新的奥密克戎相关或多价疫苗。