• 文献检索
  • 文档翻译
  • 深度研究
  • 学术资讯
  • Suppr Zotero 插件Zotero 插件
  • 邀请有礼
  • 套餐&价格
  • 历史记录
应用&插件
Suppr Zotero 插件Zotero 插件浏览器插件Mac 客户端Windows 客户端微信小程序
定价
高级版会员购买积分包购买API积分包
服务
文献检索文档翻译深度研究API 文档MCP 服务
关于我们
关于 Suppr公司介绍联系我们用户协议隐私条款
关注我们

Suppr 超能文献

核心技术专利:CN118964589B侵权必究
粤ICP备2023148730 号-1Suppr @ 2026

文献检索

告别复杂PubMed语法,用中文像聊天一样搜索,搜遍4000万医学文献。AI智能推荐,让科研检索更轻松。

立即免费搜索

文件翻译

保留排版,准确专业,支持PDF/Word/PPT等文件格式,支持 12+语言互译。

免费翻译文档

深度研究

AI帮你快速写综述,25分钟生成高质量综述,智能提取关键信息,辅助科研写作。

立即免费体验

中国东南部中老年男性中白蛋白与肌酐比值对慢性肾脏病早期筛查的年龄和性别特异性诊断价值

Age- and Gender-Specific Diagnostic Value of the Albumin-to-Creatinine Ratio for the Early Screening of Chronic Kidney Disease Among Middle-Aged and Elderly Males in Southeast China.

作者信息

Zheng Xiang, Liu Dan, Zhu Jing, Lu Li, Yang Jianshu

机构信息

Department of Health Management Center, the First Affiliated Hospital of Soochow University, Suzhou, People's Republic of China.

出版信息

Int J Gen Med. 2023 Jul 13;16:3033-3042. doi: 10.2147/IJGM.S419100. eCollection 2023.

DOI:10.2147/IJGM.S419100
PMID:37465553
原文链接:https://pmc.ncbi.nlm.nih.gov/articles/PMC10351596/
Abstract

OBJECTIVE

To evaluate the potential diagnostic value of the albumin-to-creatinine ratio (ACR) in screening for early kidney injury in a physically examined population from Southeast China.

METHODS

A total of 13,250 candidates were selected. Urinary ACR values <30, 30-300, and >300 mg/g were utilized as positive cut-off points to denote normal proteinuria, microalbuminuria, and macroalbuminuria, respectively.

RESULTS

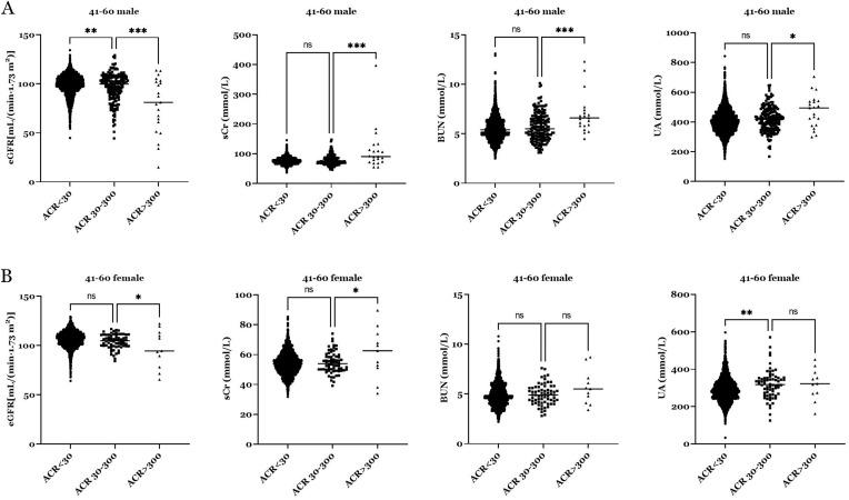
Age, systolic blood pressure, diastolic blood pressure, body mass index, waistline, fasting blood glucose, glycated hemoglobin, triglycerides, and high-density lipoprotein cholesterol were significantly different among the three groups. eGFR was negatively correlated with the levels of sCr, BUN, and UA in the microalbuminuria and macroalbuminuria groups. Furthermore, there was a significant difference in CKD stage between the normal and abnormal urine ACR groups. Meanwhile, for the 20-40 years patients, the eGFR, sCr and BUN showed no significant difference between microalbuminuria group compared with the normal proteinuria group; in contrast, for the 41-60 years and >61 years patients, eGFR, sCr, BUN and UA were all markedly increase in microalbuminuria and macroalbuminuria group in comparison with the normal proteinuria group. Finally, for the 41-60 males, only eGFR significantly decreased in microalbuminuria group compared with the normal proteinuria group, while for the 41-60 females, only UA showed no significant difference between microalbuminuria group and normal proteinuria group. On the other hand, for the >61 males, eGFR, sCr and BUN all significantly changed between microalbuminuria group and normal proteinuria group, while for the >61 females, eGFR, sCr and BUN all showed no significant difference between microalbuminuria group and normal proteinuria group, as well as microalbuminuria group and macroalbuminuria group.

CONCLUSION

We proposed using the urinary ACR for the screening of physically examined patients, especially among the elderly males. This approach would assist in the early diagnosis and treatment of renal damage.

摘要

目的

评估白蛋白与肌酐比值(ACR)在筛查中国东南部体检人群早期肾损伤中的潜在诊断价值。

方法

共选取13250名受试者。尿ACR值<30、30 - 300和>300mg/g分别作为正常蛋白尿、微量白蛋白尿和大量白蛋白尿的阳性截断点。

结果

三组之间的年龄、收缩压、舒张压、体重指数、腰围、空腹血糖、糖化血红蛋白、甘油三酯和高密度脂蛋白胆固醇存在显著差异。在微量白蛋白尿组和大量白蛋白尿组中,估算肾小球滤过率(eGFR)与血清肌酐(sCr)、尿素氮(BUN)和尿酸(UA)水平呈负相关。此外,尿ACR正常组和异常组之间的慢性肾脏病(CKD)分期存在显著差异。同时,对于20 - 40岁的患者,微量白蛋白尿组与正常蛋白尿组相比,eGFR、sCr和BUN无显著差异;相反,对于41 - 60岁和>61岁的患者,微量白蛋白尿组和大量白蛋白尿组的eGFR、sCr、BUN和UA均较正常蛋白尿组显著升高。最后,对于41 - 60岁的男性,微量白蛋白尿组与正常蛋白尿组相比仅eGFR显著降低,而对于41 - 60岁的女性,微量白蛋白尿组与正常蛋白尿组相比仅UA无显著差异。另一方面,对于>61岁的男性,微量白蛋白尿组与正常蛋白尿组之间eGFR、sCr和BUN均有显著变化,而对于>61岁的女性,微量白蛋白尿组与正常蛋白尿组之间以及微量白蛋白尿组与大量白蛋白尿组之间eGFR、sCr和BUN均无显著差异。

结论

我们建议将尿ACR用于体检患者的筛查,尤其是老年男性。这种方法将有助于肾损伤的早期诊断和治疗。

https://cdn.ncbi.nlm.nih.gov/pmc/blobs/99ff/10351596/7638aeb643f9/IJGM-16-3033-g0005.jpg
https://cdn.ncbi.nlm.nih.gov/pmc/blobs/99ff/10351596/cf9bf5aa4150/IJGM-16-3033-g0001.jpg
https://cdn.ncbi.nlm.nih.gov/pmc/blobs/99ff/10351596/9c189285870a/IJGM-16-3033-g0002.jpg
https://cdn.ncbi.nlm.nih.gov/pmc/blobs/99ff/10351596/bc5e6500ac05/IJGM-16-3033-g0003.jpg
https://cdn.ncbi.nlm.nih.gov/pmc/blobs/99ff/10351596/e9dfa5dbae8c/IJGM-16-3033-g0004.jpg
https://cdn.ncbi.nlm.nih.gov/pmc/blobs/99ff/10351596/7638aeb643f9/IJGM-16-3033-g0005.jpg
https://cdn.ncbi.nlm.nih.gov/pmc/blobs/99ff/10351596/cf9bf5aa4150/IJGM-16-3033-g0001.jpg
https://cdn.ncbi.nlm.nih.gov/pmc/blobs/99ff/10351596/9c189285870a/IJGM-16-3033-g0002.jpg
https://cdn.ncbi.nlm.nih.gov/pmc/blobs/99ff/10351596/bc5e6500ac05/IJGM-16-3033-g0003.jpg
https://cdn.ncbi.nlm.nih.gov/pmc/blobs/99ff/10351596/e9dfa5dbae8c/IJGM-16-3033-g0004.jpg
https://cdn.ncbi.nlm.nih.gov/pmc/blobs/99ff/10351596/7638aeb643f9/IJGM-16-3033-g0005.jpg

相似文献

1
Age- and Gender-Specific Diagnostic Value of the Albumin-to-Creatinine Ratio for the Early Screening of Chronic Kidney Disease Among Middle-Aged and Elderly Males in Southeast China.中国东南部中老年男性中白蛋白与肌酐比值对慢性肾脏病早期筛查的年龄和性别特异性诊断价值
Int J Gen Med. 2023 Jul 13;16:3033-3042. doi: 10.2147/IJGM.S419100. eCollection 2023.
2
[Clinical Significance of Urinary Microalbumin to Creatinine Ratio in Physical Examinations].[尿微量白蛋白与肌酐比值在体检中的临床意义]
Sichuan Da Xue Xue Bao Yi Xue Ban. 2016 Jan;47(1):122-7.
3
Microalbuminuria in patients with preserved renal function as a risk factor for contrast-Induced acute kidney injury following invasive coronary angiography.肾功能正常患者的微量白蛋白尿作为有创冠状动脉造影后对比剂诱导的急性肾损伤的危险因素。
Eur J Radiol. 2016 Jun;85(6):1063-7. doi: 10.1016/j.ejrad.2016.03.010. Epub 2016 Mar 16.
4
Gender-specific reference value of urine albumin-creatinine ratio in healthy Chinese adults: results of the Beijing CKD survey.中国健康成年人尿白蛋白肌酐比值的性别特异性参考值:北京慢性肾脏病调查结果
Clin Chim Acta. 2008 Dec;398(1-2):125-9. doi: 10.1016/j.cca.2008.09.002. Epub 2008 Sep 10.
5
Microalbuminuria among Type 1 and Type 2 diabetic patients of African origin in Dar Es Salaam, Tanzania.坦桑尼亚达累斯萨拉姆市非洲裔1型和2型糖尿病患者的微量白蛋白尿情况。
BMC Nephrol. 2007 Jan 15;8:2. doi: 10.1186/1471-2369-8-2.
6
The association between glycaemic level and lipid profile with Albuminuria in Iraqi type 2 diabetes patients - A cross sectional study.伊拉克 2 型糖尿病患者中血糖水平与血脂谱与白蛋白尿的关系-一项横断面研究。
J Pak Med Assoc. 2021 Dec;71(Suppl 8)(12):S57-S62.
7
Assessment of urinary podocalyxin as an alternative marker for urinary albumin creatinine ratio in early stage of diabetic kidney disease in older patients.评估尿足细胞标记蛋白作为老年患者糖尿病肾病早期尿白蛋白肌酐比值的替代标志物。
Nefrologia (Engl Ed). 2022 Nov-Dec;42(6):664-670. doi: 10.1016/j.nefroe.2022.11.007. Epub 2022 Nov 17.
8
Prediction of microalbuminuria from proteinuria in chronic kidney disease due to non-diabetic lifestyle-related diseases: comparison with diabetes.非糖尿病生活方式相关疾病导致的慢性肾脏病中蛋白尿对微量白蛋白尿的预测:与糖尿病的比较。
Clin Exp Nephrol. 2021 Jul;25(7):727-750. doi: 10.1007/s10157-021-02027-6. Epub 2021 Mar 3.
9
Association of uric acid with kidney function and albuminuria: the Uric Acid Right for heArt Health (URRAH) Project.尿酸与肾功能和蛋白尿的关系:心脏健康尿酸合适水平研究(URRAH)项目。
J Nephrol. 2022 Jan;35(1):211-221. doi: 10.1007/s40620-021-00985-4. Epub 2021 Mar 23.
10
Microalbuminuria and uric acid in healthy subjects.健康受试者中的微量白蛋白尿和尿酸
J Nephrol. 2006 Jul-Aug;19(4):458-64.

本文引用的文献

1
Perturbed gut microbiome and fecal and serum metabolomes are associated with chronic kidney disease severity.肠道微生物组紊乱及粪便和血清代谢组与慢性肾脏病的严重程度有关。
Microbiome. 2023 Jan 9;11(1):3. doi: 10.1186/s40168-022-01443-4.
2
Diabetes Management in Chronic Kidney Disease: Synopsis of the KDIGO 2022 Clinical Practice Guideline Update.慢性肾脏病中的糖尿病管理:KDIGO 2022临床实践指南更新概要
Ann Intern Med. 2023 Mar;176(3):381-387. doi: 10.7326/M22-2904. Epub 2023 Jan 10.
3
Lipid Parameters and the Development of Chronic Kidney Disease: A Prospective Cohort Study in Middle-Aged and Elderly Chinese Individuals.
血脂参数与慢性肾脏病的发展:一项对中国中老年人群的前瞻性队列研究。
Nutrients. 2022 Dec 26;15(1):112. doi: 10.3390/nu15010112.
4
Leveraging the South African Diabetes Prevention Programme to screen for chronic kidney disease: an observational study.利用南非糖尿病预防计划筛查慢性肾脏病:一项观察性研究。
BMJ Open. 2023 Jan 6;13(1):e068672. doi: 10.1136/bmjopen-2022-068672.
5
Comparison of the profiles of patients defined by age-adapted and fixed threshold CKD criteria: a nationwide, cross-sectional study.根据年龄适配和固定阈值的慢性肾脏病(CKD)标准所定义的患者概况比较:一项全国性横断面研究。
Clin Kidney J. 2022 Aug 25;15(12):2312-2321. doi: 10.1093/ckj/sfac188. eCollection 2022 Dec.
6
Serum Albumin to Creatinine Ratio and Short-Term Clinical Outcomes in Patients With ST-Elevation Myocardial Infarction.血清白蛋白与肌酐比值与 ST 段抬高型心肌梗死患者短期临床结局的关系。
Angiology. 2022 Oct;73(9):809-817. doi: 10.1177/00033197221089423. Epub 2022 Apr 22.
7
Comparison of 24-h Urine Protein, Urine Albumin-to-Creatinine Ratio, and Protein-to-Creatinine Ratio in IgA Nephropathy.IgA肾病中24小时尿蛋白、尿白蛋白与肌酐比值及蛋白与肌酐比值的比较
Front Med (Lausanne). 2022 Feb 28;9:809245. doi: 10.3389/fmed.2022.809245. eCollection 2022.
8
Differences between race-based and race-free estimated glomerular filtration rate among living kidney donors.活体肾供体中基于种族和不考虑种族的估计肾小球滤过率之间的差异。
Am J Transplant. 2022 May;22(5):1504-1505. doi: 10.1111/ajt.16962. Epub 2022 Jan 28.
9
Elevated albumin-to-creatinine ratio as a risk factor for stroke and homocysteine as an effect modifier in hypertensive Asian individuals.在高血压亚洲人群中,较高的白蛋白与肌酐比值作为中风的危险因素,而高半胱氨酸作为效应修饰因子。
Hypertens Res. 2022 Jan;45(1):170-171. doi: 10.1038/s41440-021-00794-z. Epub 2021 Nov 5.
10
Molecular Biological and Clinical Understanding of the Pathophysiology and Treatments of Hyperuricemia and Its Association with Metabolic Syndrome, Cardiovascular Diseases and Chronic Kidney Disease.高尿酸血症的病理生理学及治疗的分子生物学和临床认识及其与代谢综合征、心血管疾病和慢性肾脏病的关系。
Int J Mol Sci. 2021 Aug 26;22(17):9221. doi: 10.3390/ijms22179221.