• 文献检索
  • 文档翻译
  • 深度研究
  • 学术资讯
  • Suppr Zotero 插件Zotero 插件
  • 邀请有礼
  • 套餐&价格
  • 历史记录
应用&插件
Suppr Zotero 插件Zotero 插件浏览器插件Mac 客户端Windows 客户端微信小程序
定价
高级版会员购买积分包购买API积分包
服务
文献检索文档翻译深度研究API 文档MCP 服务
关于我们
关于 Suppr公司介绍联系我们用户协议隐私条款
关注我们

Suppr 超能文献

核心技术专利:CN118964589B侵权必究
粤ICP备2023148730 号-1Suppr @ 2026

文献检索

告别复杂PubMed语法,用中文像聊天一样搜索,搜遍4000万医学文献。AI智能推荐,让科研检索更轻松。

立即免费搜索

文件翻译

保留排版,准确专业,支持PDF/Word/PPT等文件格式,支持 12+语言互译。

免费翻译文档

深度研究

AI帮你快速写综述,25分钟生成高质量综述,智能提取关键信息,辅助科研写作。

立即免费体验

约克夏梗犬牙齿的发育

Development of Yorkshire Terrier Dentition.

作者信息

Wallis Corrin, Solmi Francesca, Pesci Ilaria, Desforges Neil, Holcombe Lucy J

机构信息

Waltham Petcare Science Institute, Waltham-on-the-Wolds, Leicestershire LE14 4RT, UK.

Interuniversity Institute for Biostatistics and Statistical Bioinformatics (I-Biostat), Data Science, Hasselt University, 3500 Hasselt, Belgium.

出版信息

Vet Sci. 2023 Jun 21;10(7):406. doi: 10.3390/vetsci10070406.

DOI:10.3390/vetsci10070406
PMID:37505812
原文链接:https://pmc.ncbi.nlm.nih.gov/articles/PMC10384937/
Abstract

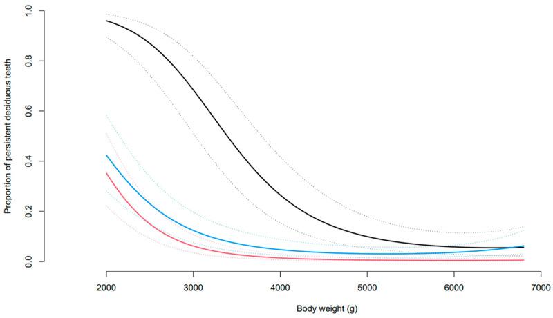
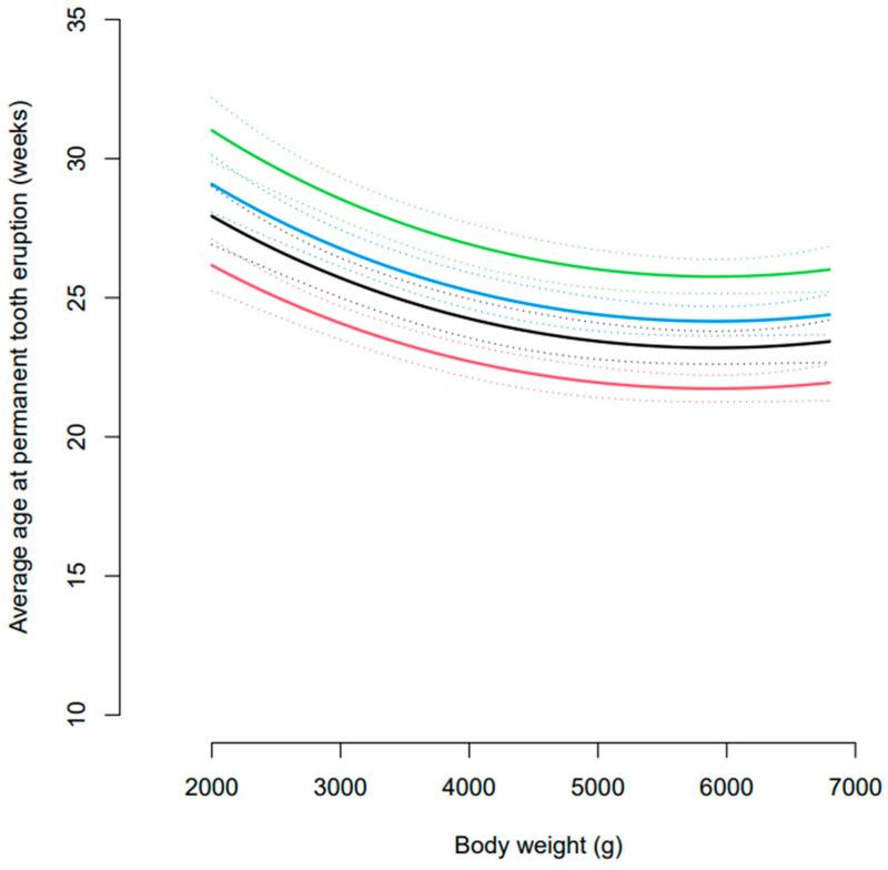
The development of dentition in dogs has been associated with several problems including tooth over-crowding, missing permanent dentition, and persistent deciduous teeth (PDT). Information on dentition development in different breeds is lacking. This study of 61 Yorkshire terriers aimed to determine the (i) average age at deciduous tooth exfoliation, (ii) average age at permanent tooth eruption, (iii) PDT incidence, and influencing factors such as body weight. The ages of exfoliation of deciduous teeth and eruption of permanent dentition were influenced by body weight and tooth type. These dentition changes tended to occur later in dogs ≤ 3 kg versus dogs > 5 kg. Generally, incisors were exfoliated first, followed by premolars and then canines. At a body weight of 4.5 kg, the middle of the data range, the estimated age at loss of deciduous teeth (with 95% confidence intervals) was 21.9 (21.1, 22.9) weeks for incisors, 26.1 (24.9, 27.4) weeks for canines, and 23.9 (22.9, 24.9) weeks for premolar. The estimated age at eruption of permanent dentition was 22.3 (21.6, 23.0) weeks for incisors, 23.8 (23.0, 24.6) weeks for canines, 24.7 (24.0, 25.5) weeks for premolars, and 26.4 (25.5, 27.3) for molar teeth. However, this sequence was disrupted in dogs ≤ 3 kg. Yorkshire terriers had a high incidence of PDT. At a body weight of 4.5 kg, the estimated proportion of PDT was: incisors 0.86% (0.32, 2.31), canines 15.62% (7.62, 29.37) and premolars 3.57% (1.62, 7.66). Canines constituted the most frequently retained tooth type, with 89.1% retained in dogs ≤ 3 kg compared to 12.0% in dogs > 5 kg. This information will enable veterinarians to provide personalised advice regarding the oral care requirements for Yorkshire terriers and highlights the need to regularly monitor this breed between the ages of two and seven months, during the active phases of tooth development.

摘要

犬齿列的发育与多个问题相关,包括牙齿过度拥挤、恒牙列缺失和乳牙滞留(PDT)。目前缺乏不同犬种齿列发育的相关信息。这项对61只约克夏梗犬的研究旨在确定:(i)乳牙脱落的平均年龄;(ii)恒牙萌出的平均年龄;(iii)乳牙滞留发生率以及体重等影响因素。乳牙脱落和恒牙萌出的年龄受体重和牙齿类型影响。体重≤3千克的犬与体重>5千克的犬相比,这些齿列变化往往发生得更晚。一般来说,门牙最先脱落,其次是前磨牙,然后是犬齿。在体重4.5千克(数据范围的中间值)时,乳牙脱落的估计年龄(95%置信区间)为:门牙21.9(21.1,22.9)周,犬齿26.1(24.9,27.4)周,前磨牙23.9(22.9,24.9)周。恒牙萌出的估计年龄为:门牙22.3(21.6,23.0)周,犬齿23.8(23.0,24.6)周,前磨牙24.7(24.0,25.5)周,磨牙26.4(25.5,27.3)周。然而,在体重≤3千克的犬中,这个顺序被打乱。约克夏梗犬乳牙滞留的发生率较高。在体重4.5千克时,乳牙滞留的估计比例为:门牙0.86%(0.32,2.31),犬齿15.62%(7.62,29.37),前磨牙3.57%(1.62,7.66)。犬齿是最常滞留的牙齿类型,体重≤3千克的犬中有89.1%的犬齿滞留,而体重>5千克的犬中这一比例为12.0%。这些信息将使兽医能够就约克夏梗犬的口腔护理需求提供个性化建议,并突出了在牙齿发育活跃阶段,即两到七个月大期间对该犬种进行定期监测的必要性。

https://cdn.ncbi.nlm.nih.gov/pmc/blobs/02d2/10384937/8674c645e8c8/vetsci-10-00406-g007.jpg
https://cdn.ncbi.nlm.nih.gov/pmc/blobs/02d2/10384937/a531f7031b2f/vetsci-10-00406-g001.jpg
https://cdn.ncbi.nlm.nih.gov/pmc/blobs/02d2/10384937/5c5b1f887e0a/vetsci-10-00406-g002.jpg
https://cdn.ncbi.nlm.nih.gov/pmc/blobs/02d2/10384937/5e74b32c1405/vetsci-10-00406-g003.jpg
https://cdn.ncbi.nlm.nih.gov/pmc/blobs/02d2/10384937/dea3940ab03e/vetsci-10-00406-g004.jpg
https://cdn.ncbi.nlm.nih.gov/pmc/blobs/02d2/10384937/04fbf8f0e7a1/vetsci-10-00406-g005.jpg
https://cdn.ncbi.nlm.nih.gov/pmc/blobs/02d2/10384937/eb57e9e78a62/vetsci-10-00406-g006.jpg
https://cdn.ncbi.nlm.nih.gov/pmc/blobs/02d2/10384937/8674c645e8c8/vetsci-10-00406-g007.jpg
https://cdn.ncbi.nlm.nih.gov/pmc/blobs/02d2/10384937/a531f7031b2f/vetsci-10-00406-g001.jpg
https://cdn.ncbi.nlm.nih.gov/pmc/blobs/02d2/10384937/5c5b1f887e0a/vetsci-10-00406-g002.jpg
https://cdn.ncbi.nlm.nih.gov/pmc/blobs/02d2/10384937/5e74b32c1405/vetsci-10-00406-g003.jpg
https://cdn.ncbi.nlm.nih.gov/pmc/blobs/02d2/10384937/dea3940ab03e/vetsci-10-00406-g004.jpg
https://cdn.ncbi.nlm.nih.gov/pmc/blobs/02d2/10384937/04fbf8f0e7a1/vetsci-10-00406-g005.jpg
https://cdn.ncbi.nlm.nih.gov/pmc/blobs/02d2/10384937/eb57e9e78a62/vetsci-10-00406-g006.jpg
https://cdn.ncbi.nlm.nih.gov/pmc/blobs/02d2/10384937/8674c645e8c8/vetsci-10-00406-g007.jpg

相似文献

1
Development of Yorkshire Terrier Dentition.约克夏梗犬牙齿的发育
Vet Sci. 2023 Jun 21;10(7):406. doi: 10.3390/vetsci10070406.
2
Time and sequence of the replacement of the deciduous by the permanent dentition in dogs and its applicability for age estimation.犬乳齿更换为恒齿的时间和顺序及其在年龄估计中的适用性。
Anat Histol Embryol. 2023 May;52(3):460-489. doi: 10.1111/ahe.12904. Epub 2023 Jan 24.
3
Time and sequence of emergence of the deciduous dentition in dogs and its applicability for age estimation.犬乳齿的萌出时间和顺序及其在年龄估计中的适用性。
Anat Histol Embryol. 2022 Sep;51(5):640-657. doi: 10.1111/ahe.12838. Epub 2022 Jul 24.
4
Molar distalization with pendulum appliances in the mixed dentition: effects on the position of unerupted canines and premolars.混合牙列期使用摆式矫治器进行磨牙远移:对未萌出尖牙和前磨牙位置的影响
Am J Orthod Dentofacial Orthop. 2006 Mar;129(3):407-17. doi: 10.1016/j.ajodo.2005.12.004.
5
Supragingival Microbial Profiles of Permanent and Deciduous Teeth in Children with Mixed Dentition.混合牙列期儿童恒牙与乳牙的龈上微生物特征
PLoS One. 2016 Jan 11;11(1):e0146938. doi: 10.1371/journal.pone.0146938. eCollection 2016.
6
Changes in the Dentition of Small Dogs up to 4 Months of Age.4月龄以下小型犬的牙列变化
Animals (Basel). 2022 May 31;12(11):1417. doi: 10.3390/ani12111417.
7
Effect of premature loss of deciduous canines and molars on malocclusion of the permanent dentition.乳牙和乳磨牙过早缺失对恒牙列错牙合的影响。
J Dent Res. 1976 Jul-Aug;55(4):584-90. doi: 10.1177/00220345760550040601.
8
The chronology and sequence of eruption of human permanent teeth in Northern Ireland.北爱尔兰人类恒牙萌出的时间顺序和序列
Int J Paediatr Dent. 1998 Dec;8(4):243-52. doi: 10.1046/j.1365-263x.1998.00092.x.
9
Difference in Bilateral Timing of Eruption of Permanent Teeth.恒牙萌出双侧时间差异。
Bull Tokyo Dent Coll. 2018 Nov 30;59(4):277-284. doi: 10.2209/tdcpublication.2018-0009. Epub 2018 Oct 18.
10
Normal profiles for deciduous dental eruption in domestic piglets: effect of sow, litter, and piglet characteristics.家猪仔猪乳牙萌出的正常情况:母猪、窝仔数和仔猪特征的影响。
J Anim Sci. 2009 Jul;87(7):2274-81. doi: 10.2527/jas.2008-1498. Epub 2009 Mar 27.

本文引用的文献

1
Demography and commonly recorded clinical conditions of Chihuahuas under primary veterinary care in the UK in 2016.2016 年在英国,初级兽医护理下的奇瓦瓦犬的人口统计学和常见记录的临床情况。
BMC Vet Res. 2020 Feb 12;16(1):42. doi: 10.1186/s12917-020-2258-1.
2
Timing and sequence of emergence of permanent teeth in Syrian schoolchildren.叙利亚学龄儿童恒牙萌出的时间和顺序。
J Investig Clin Dent. 2018 May;9(2):e12311. doi: 10.1111/jicd.12311. Epub 2017 Dec 6.
3
A Contemporary Examination of First and Second Permanent Molar Emergence.
第一恒磨牙和第二恒磨牙萌出的当代研究
J Dent Res. 2017 Sep;96(10):1115-1121. doi: 10.1177/0022034517716395. Epub 2017 Jun 23.
4
Emergence of permanent teeth among the meiteis of Manipur, India.
Am J Hum Biol. 1994;6(3):321-328. doi: 10.1002/ajhb.1310060307.
5
One year follow-up study of stature, weight, emergence of dentition, and sexual maturation of well-nourished indian girls from birth to 20 years.对营养良好的印度女孩从出生到20岁的身高、体重、牙齿萌出和性成熟情况进行的一年随访研究。
Am J Hum Biol. 1994;6(4):425-436. doi: 10.1002/ajhb.1310060403.
6
Factors associated with number of erupted primary teeth in Brazilian children: a cross-sectional study.
J Dent Child (Chic). 2013 Sep-Dec;80(3):111-4.
7
Genome-wide association study of primary tooth eruption identifies pleiotropic loci associated with height and craniofacial distances.全基因组关联研究原发性牙齿萌出鉴定与身高和颅面距离相关的多效性位点。
Hum Mol Genet. 2013 Sep 15;22(18):3807-17. doi: 10.1093/hmg/ddt231. Epub 2013 May 23.
8
Weight, height and eruption times of permanent teeth of children aged 4-15 years in Kampala, Uganda.乌干达坎帕拉市 4-15 岁儿童的恒牙体重、身高和萌出时间。
BMC Oral Health. 2013 Mar 16;13:15. doi: 10.1186/1472-6831-13-15.
9
Relationship of deciduous teeth emergence with physical growth.乳牙萌出与身体生长的关系。
Indian J Dent Res. 2012 Mar-Apr;23(2):236-40. doi: 10.4103/0970-9290.100433.
10
The age of permanent tooth emergence in children of different ethnic origin in the Auckland region: a cross-sectional study.奥克兰地区不同种族儿童恒牙萌出年龄:一项横断面研究。
N Z Dent J. 2012 Jun;108(2):55-61.