Suppr超能文献

一种优化斑马鱼幼鱼戊四氮和匹罗卡品致癫痫实验条件的对比研究。

A comparative study to optimize experimental conditions of pentylenetetrazol and pilocarpine-induced epilepsy in zebrafish larvae.

机构信息

Institute of Transdisciplinary Discoveries, Medical School, University of Pecs, Pecs, Hungary.

Institute of Physiology, Medical School, University of Pecs, Pecs, Hungary.

出版信息

PLoS One. 2023 Jul 28;18(7):e0288904. doi: 10.1371/journal.pone.0288904. eCollection 2023.

Abstract

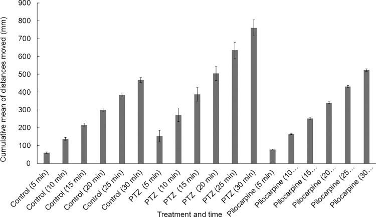
A common way to investigate epilepsy and the effect of antiepileptic pharmaceuticals is to analyze the movement patterns of zebrafish larvae treated with different convulsants like pentylenetetrazol (PTZ), pilocarpine, etc. Many articles have been written on this topic, but the research methods and exact settings are not sufficiently defined in most. Here we designed and executed a series of experiments to optimize and standardize the zebrafish epilepsy model. We found that during the light and the dark trials, the zebrafish larvae moved significantly more in the light, independent of the treatment, both in PTZ and pilocarpine-treated and the control groups. As expected, zebrafish larvae treated with convulsants moved significantly more than the ones in the control group, although this difference was higher between the individuals treated with PTZ than pilocarpine. When examining the optimal observation time, we divided the half-hour period into 5-minute time intervals, and between these, the first 5 minutes were found to be the most different from the others. There were fewer significant differences in the total movement of larvae between the other time intervals. We also performed a linear regression analysis with the cumulative values of the distance moved during the time intervals that fit the straight line. In conclusion, we recommend 30 minutes of drug pretreatment followed by a 10-minute test in light conditions with a 5-minute accommodation time. Our result paves the way toward improved experimental designs using zebrafish to develop novel pharmaceutical approaches to treat epilepsy.

摘要

研究癫痫和抗癫痫药物效果的常用方法是分析用不同致惊厥剂(如戊四氮、匹罗卡品等)处理的斑马鱼幼虫的运动模式。已经有许多关于这个主题的文章,但大多数文章没有充分定义研究方法和确切设置。在这里,我们设计并执行了一系列实验,以优化和标准化斑马鱼癫痫模型。我们发现,在光暗试验中,无论是否接受治疗,与对照组相比,斑马鱼幼虫在光下的移动明显更多,无论是在 PTZ 还是匹罗卡品处理组中都是如此。正如预期的那样,用致惊厥剂处理的斑马鱼幼虫比对照组的移动明显更多,尽管与用 PTZ 处理的个体相比,这种差异在用匹罗卡品处理的个体中更高。当检查最佳观察时间时,我们将半小时的时间段分为 5 分钟的时间间隔,发现前 5 分钟与其他时间间隔最不同。在其他时间间隔中,幼虫的总运动之间的显著差异较少。我们还对符合直线的时间段内移动的累积值进行了线性回归分析。总之,我们建议进行 30 分钟的药物预处理,然后在光条件下进行 10 分钟的测试,适应时间为 5 分钟。我们的结果为使用斑马鱼开发治疗癫痫的新型药物方法的改进实验设计铺平了道路。

https://cdn.ncbi.nlm.nih.gov/pmc/blobs/d26a/10381053/50564ad83bf4/pone.0288904.g001.jpg

文献检索

告别复杂PubMed语法,用中文像聊天一样搜索,搜遍4000万医学文献。AI智能推荐,让科研检索更轻松。

立即免费搜索

文件翻译

保留排版,准确专业,支持PDF/Word/PPT等文件格式,支持 12+语言互译。

免费翻译文档

深度研究

AI帮你快速写综述,25分钟生成高质量综述,智能提取关键信息,辅助科研写作。

立即免费体验