Suppr超能文献

高分子量风险变异、严重血小板减少和大未染色细胞计数会影响原发性骨髓纤维化的预后。

High molecular risk variants, severe thrombocytopenia and large unstained cells count affect the outcome in primary myelofibrosis.

机构信息

Department of Hematology and Bone Marrow Transplantation, Poznań University of Medical Sciences, Poznan, Poland.

Department of General Pathology, Pomeranian Medical University, Szczecin, Poland.

出版信息

J Appl Genet. 2023 Sep;64(3):479-491. doi: 10.1007/s13353-023-00771-x. Epub 2023 Jul 29.

Abstract

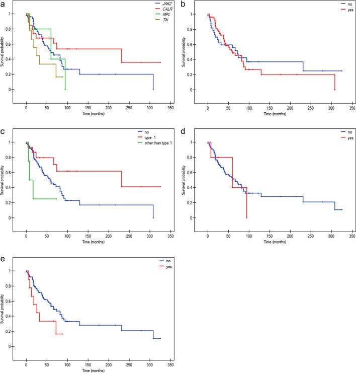
Apart from the driver mutations, high molecular risk (HMR) variants and other factors have been reported to influence the prognosis of primary myelofibrosis (PMF). The aim of our study was to investigate the impact of laboratory and molecular characteristics at the time of diagnosis (TOD) on the PMF outcome. The study group consisted of 82 patients recruited from three Polish university centers. Among the driver mutations, only CALR type 1 positively influenced the overall survival (OS). The risk of progression to accelerated or blastic disease phase (AP/BP) did not depend on the driver mutation type, but was closely associated with the presence of HMR variants (p = 0.0062). The risk of death (ROD) was higher in patients with HMR variants (OR[95%CI] = 4.33[1.52;12.34], p = 0.0044) and in patients with a platelet count at the TOD between 50-100 G/L (HR[95%CI] = 2.66[1.11;6.35]) and < 50 G/L (HR[95%CI] = 8.44[2.50;28.44]). Median survival time was 7.8, 2.2 and 1.4 years in patients with large unstained cells (LUC) count of [0.0-0.2], (0.2-0.4] and > 0.4 G/L at the TOD, respectively. We found an unexpected, hitherto undescribed, association between LUC count at the TOD and PMF prognosis. Our analysis led to the following conclusions: in PMF patients at the TOD 1) the presence of HMR variants, especially combined, is associated with an increased risk of progression to the AP and BP, and shorter OS, 2) severe thrombocytopenia confers worse prognosis than the moderate one, 3) LUC count is closely related with the disease phase, and associated with the ROD and OS.

摘要

除了驱动突变外,高分子风险(HMR)变体和其他因素已被报道会影响原发性骨髓纤维化(PMF)的预后。我们的研究旨在探讨诊断时(TOD)的实验室和分子特征对 PMF 结果的影响。研究组由来自波兰三个大学中心的 82 名患者组成。在驱动突变中,仅 CALR 1 型阳性影响总体生存(OS)。向加速或成骨细胞疾病阶段(AP/BP)进展的风险与驱动突变类型无关,但与 HMR 变体的存在密切相关(p=0.0062)。在存在 HMR 变体的患者中,死亡风险(ROD)更高(OR[95%CI] = 4.33[1.52;12.34],p=0.0044),在 TOD 时血小板计数为 50-100 G/L(HR[95%CI] = 2.66[1.11;6.35])和<50 G/L(HR[95%CI] = 8.44[2.50;28.44])的患者中也是如此。TOD 时大无染色细胞(LUC)计数分别为[0.0-0.2]、(0.2-0.4]和>0.4 G/L 的患者中位生存时间分别为 7.8、2.2 和 1.4 年。我们发现 TOD 时 LUC 计数与 PMF 预后之间存在意外的、迄今尚未描述的关联。我们的分析得出以下结论:在 PMF 患者中:1)TOD 时存在 HMR 变体,尤其是合并存在,与向 AP 和 BP 进展以及较短的 OS 风险增加相关,2)严重血小板减少症比中度血小板减少症预后更差,3)LUC 计数与疾病阶段密切相关,与 ROD 和 OS 相关。

https://cdn.ncbi.nlm.nih.gov/pmc/blobs/4a81/10457229/a14544d47a6c/13353_2023_771_Fig1_HTML.jpg

文献检索

告别复杂PubMed语法,用中文像聊天一样搜索,搜遍4000万医学文献。AI智能推荐,让科研检索更轻松。

立即免费搜索

文件翻译

保留排版,准确专业,支持PDF/Word/PPT等文件格式,支持 12+语言互译。

免费翻译文档

深度研究

AI帮你快速写综述,25分钟生成高质量综述,智能提取关键信息,辅助科研写作。

立即免费体验