Suppr超能文献

评估偏头痛和抑郁症患者的脑容量差异:英国生物银行研究。

Assessing volumetric brain differences in migraine and depression patients: a UK Biobank study.

机构信息

Department of Surgical Science, Group of Functional Pharmacology and Neuroscience, Uppsala University, Uppsala, Sweden.

Uppsala University's Centre for Women's Mental Health During the Reproductive Lifespan - WoMHeR, University of Uppsala, Uppsala, Sweden.

出版信息

BMC Neurol. 2023 Jul 28;23(1):284. doi: 10.1186/s12883-023-03336-x.

Abstract

BACKGROUND

Migraine and depression are two of the most common and debilitating conditions. From a clinical perspective, they are mostly prevalent in women and manifest a partial overlapping symptomatology. Despite the high level of comorbidity, previous studies hardly investigated possible common patterns in brain volumetric differences compared to healthy subjects. Therefore, the current study investigates and compares the volumetric difference patterns in sub-cortical regions between participants with migraine or depression in comparison to healthy controls.

METHODS

The study included data from 43 930 participants of the large UK Biobank cohort. Using official ICD10 diagnosis, we selected 712 participants with migraine, 1 853 with depression and 23 942 healthy controls. We estimated mean volumetric difference between the groups for the different sub-cortical brain regions using generalized linear regression models, conditioning the model within the levels of BMI, age, sex, ethnical background, diastolic blood pressure, current tobacco smoking, alcohol intake frequency, Assessment Centre, Indices of Multiple Deprivation, comorbidities and total brain volume.

RESULTS

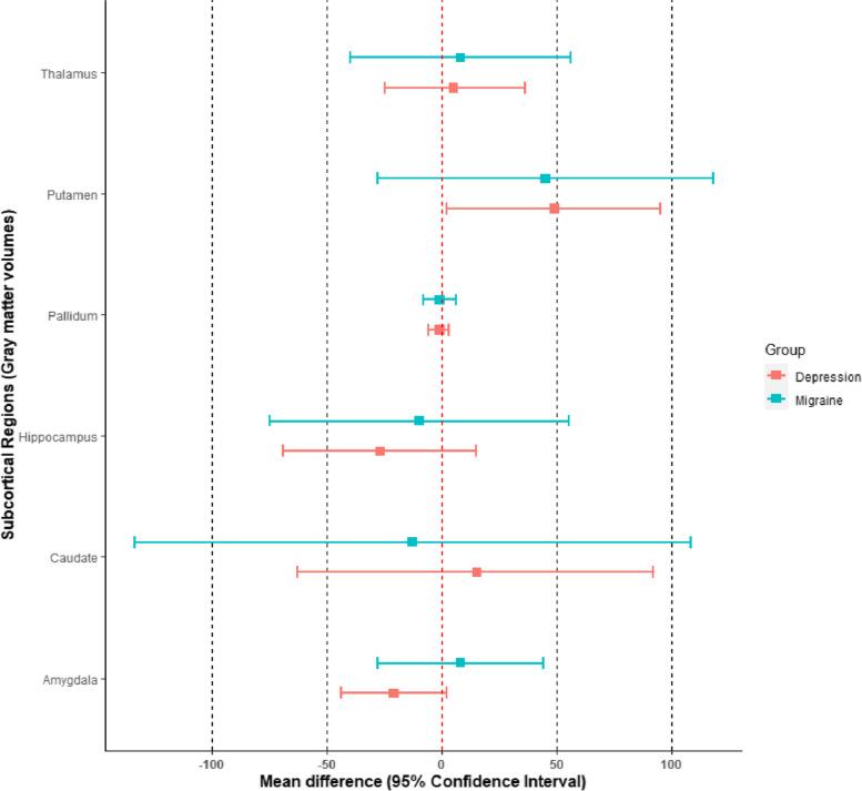
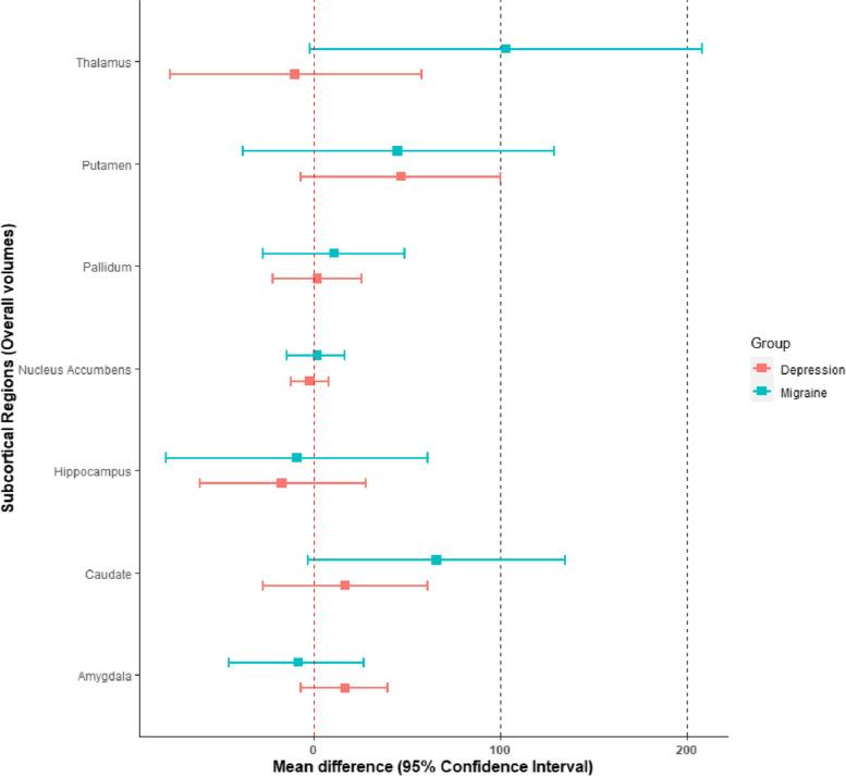
We detected larger overall volume of the caudate (mean difference: 66, 95% CI [-3, 135]) and of the thalamus (mean difference: 103 mm, 95% CI [-2, 208]) in migraineurs than healthy controls. We also observed that individuals with depression appear to have also larger overall (mean difference: 47 mm, 95% CI [-7, 100]) and gray matter (mean difference: 49 mm, 95% CI [2, 95]) putamen volumes than healthy controls, as well as larger amygdala volume (mean difference: 17 mm, 95% CI [-7, 40]).

CONCLUSION

Migraineurs manifested larger overall volumes at the level of the nucleus caudate and of the thalamus, which might imply abnormal pain modulation and increased migraine susceptibility. Larger amygdala and putamen volumes in participants with depression than controls might be due to increased neuronal activity in these regions.

摘要

背景

偏头痛和抑郁症是最常见和最具破坏性的两种疾病。从临床角度来看,它们在女性中更为普遍,表现出部分重叠的症状。尽管合并症的发生率很高,但以前的研究几乎没有调查过与健康受试者相比,脑体积差异中可能存在的共同模式。因此,本研究调查并比较了偏头痛或抑郁症患者与健康对照组之间皮质下区域的体积差异模式。

方法

该研究纳入了来自英国生物银行大型队列的 43930 名参与者的数据。使用官方 ICD10 诊断,我们选择了 712 名偏头痛患者、1853 名抑郁症患者和 23942 名健康对照者。我们使用广义线性回归模型估计了不同皮质下脑区组间的平均体积差异,在模型中对 BMI、年龄、性别、种族背景、舒张压、当前吸烟状况、饮酒频率、评估中心、多重剥夺指数、合并症和总脑容量进行了条件处理。

结果

我们发现偏头痛患者的尾状核(平均差异:66,95%置信区间[-3,135])和丘脑(平均差异:103mm,95%置信区间[-2,208])的总体体积更大。我们还观察到,抑郁症患者的壳核(平均差异:47mm,95%置信区间[-7,100])和灰质(平均差异:49mm,95%置信区间[2,95])总体积以及杏仁核体积(平均差异:17mm,95%置信区间[-7,40])也更大。

结论

偏头痛患者尾状核和丘脑的总体积较大,这可能意味着疼痛调节异常和偏头痛易感性增加。与对照组相比,抑郁症患者的杏仁核和壳核体积更大,可能是由于这些区域的神经元活动增加。

https://cdn.ncbi.nlm.nih.gov/pmc/blobs/15b1/10375767/75dbe2288eaf/12883_2023_3336_Fig1_HTML.jpg

文献AI研究员

20分钟写一篇综述,助力文献阅读效率提升50倍。

立即体验

用中文搜PubMed

大模型驱动的PubMed中文搜索引擎

马上搜索

文档翻译

学术文献翻译模型,支持多种主流文档格式。

立即体验