Department of Orthopedics, Renmin Hospital of Wuhan University, 238, Jiefang Road, Wuchang District, Wuhan, 430060, Hubei, China.
J Orthop Surg Res. 2023 Jul 28;18(1):538. doi: 10.1186/s13018-023-04041-8.
Impaired knee stability is observed in patients with medial compartment knee osteoarthritis (OA) and varus malalignment. Although high tibial osteotomy (HTO) is widely used to treat OA-related knee varus deformity, its long-term influence on balance control in OA patients is poorly reported. This study aimed to evaluate the impact of HTO on balance control and assess its biological and functional significance.
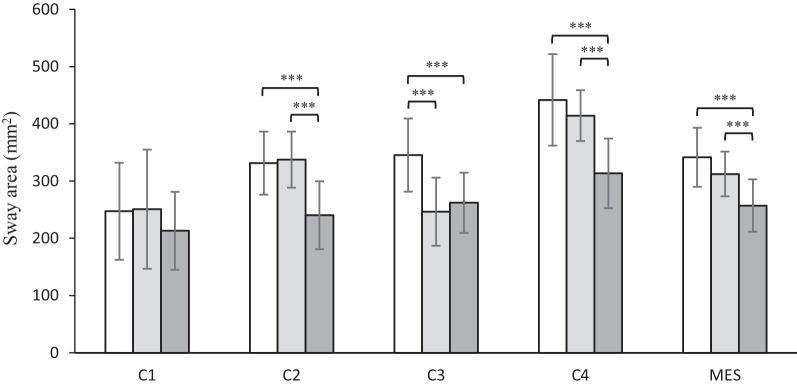
Thirty-two patients with medial compartment knee OA as well as varus deformity who were scheduled for HTO underwent static posturographic tests one month pre- and three months as well as one year postoperatively, respectively, along with forty matched control subjects. Radiographic and clinical evaluations were synchronously carried out on patients pre- and postoperatively.
Decreased postural sway was observed in patients one year after HTO. When compared to the control subjects, more postural sway was found in patients one month pre- and three months postoperatively. No difference was observed between the patients and control subjects one year postoperatively. The alignment and joint function of the affected knees significantly improved after HTO.
This study revealed that HTO improves balance control in patients with knee OA and varus deformity. Correct alignment and improved joint function enhance the likelihood of normal postural stability. Hence, this intervention allows the knee joint to recover its corrective compensatory role in postural regulation and should be taken into account for managing knee OA patients.
内侧间室膝骨关节炎(OA)和内翻畸形患者的膝关节稳定性受损。尽管胫骨高位截骨术(HTO)广泛用于治疗与 OA 相关的膝关节内翻畸形,但关于其对 OA 患者平衡控制的长期影响的报道甚少。本研究旨在评估 HTO 对平衡控制的影响,并评估其生物学和功能意义。
32 例内侧间室膝 OA 合并内翻畸形患者拟行 HTO,分别于术前 1 个月、术后 3 个月和 1 年进行静态姿势描记测试,同时选择 40 名匹配的对照者。对患者术前和术后同步进行影像学和临床评估。
HTO 后 1 年患者的姿势摆动减小。与对照组相比,术前 1 个月和术后 3 个月患者的姿势摆动更多。术后 1 年,患者与对照组之间无差异。患膝的对线和关节功能在 HTO 后明显改善。
本研究表明,HTO 可改善膝 OA 和内翻畸形患者的平衡控制。正确的对线和改善的关节功能增加了正常姿势稳定性的可能性。因此,这种干预措施使膝关节能够恢复其在姿势调节中的矫正补偿作用,应在管理膝 OA 患者时予以考虑。