Suppr超能文献

基于秋水仙碱的首创可视光照开关微管动力学干扰剂。

First-in-Class Colchicine-Based Visible Light Photoswitchable Microtubule Dynamics Disrupting Agent.

机构信息

Department of Organic Chemistry, Faculty of Chemistry, Warsaw University of Technology, Noakowskiego 3 Street, 00-664 Warsaw, Poland.

Laboratory of Cytoskeleton and Cilia Biology, Nencki Institute of Experimental Biology, Polish Academy of Sciences, 3 Pasteur Street, 02-093 Warsaw, Poland.

出版信息

Cells. 2023 Jul 16;12(14):1866. doi: 10.3390/cells12141866.

Abstract

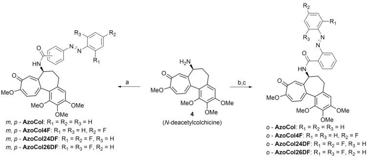
Compounds that disrupt microtubule dynamics, such as colchicine, paclitaxel, or Vinca alkaloids, have been broadly used in biological studies and have found application in clinical anticancer medications. However, their main disadvantage is the lack of specificity towards cancerous cells, leading to severe side effects. In this paper, we report the first synthesis of 12 new visible light photoswitchable colchicine-based microtubule inhibitors . Among the obtained compounds, two photoswitches showed light-dependent cytotoxicity in cancerous cell lines (HCT116 and MCF-7). The most promising compound displayed a nearly twofold increase in potency. Moreover, dissimilar inhibition of purified tubulin polymerisation in cell-free assay and light-dependent disruption of microtubule organisation visualised by immunofluorescence imaging sheds light on the mechanism of action as microtubule photoswitchable destabilisers. The presented results provide a foundation towards the synthesis and development of a novel class of photoswitchable colchicine-based microtubule polymerisation inhibitors.

摘要

化合物,如秋水仙碱、紫杉醇或长春花生物碱,可破坏微管动力学,已广泛应用于生物学研究,并在临床抗癌药物中得到应用。然而,它们的主要缺点是缺乏对癌细胞的特异性,导致严重的副作用。在本文中,我们报告了 12 种新型可见光光致开关秋水仙碱类微管抑制剂的首次合成。在所获得的化合物中,两种光开关在癌细胞系(HCT116 和 MCF-7)中表现出光依赖性细胞毒性。最有前途的化合物显示出近两倍的效力增加。此外,在无细胞测定中对纯化微管聚合的抑制作用不同,以及通过免疫荧光成像观察到的微管组织的光依赖性破坏,揭示了作为微管光致开关失稳剂的作用机制。所呈现的结果为合成和开发新型光致开关秋水仙碱类微管聚合抑制剂奠定了基础。

https://cdn.ncbi.nlm.nih.gov/pmc/blobs/9038/10378023/1eb94c7e04ca/cells-12-01866-g001.jpg

文献检索

告别复杂PubMed语法,用中文像聊天一样搜索,搜遍4000万医学文献。AI智能推荐,让科研检索更轻松。

立即免费搜索

文件翻译

保留排版,准确专业,支持PDF/Word/PPT等文件格式,支持 12+语言互译。

免费翻译文档

深度研究

AI帮你快速写综述,25分钟生成高质量综述,智能提取关键信息,辅助科研写作。

立即免费体验