• 文献检索
  • 文档翻译
  • 深度研究
  • 学术资讯
  • Suppr Zotero 插件Zotero 插件
  • 邀请有礼
  • 套餐&价格
  • 历史记录
应用&插件
Suppr Zotero 插件Zotero 插件浏览器插件Mac 客户端Windows 客户端微信小程序
定价
高级版会员购买积分包购买API积分包
服务
文献检索文档翻译深度研究API 文档MCP 服务
关于我们
关于 Suppr公司介绍联系我们用户协议隐私条款
关注我们

Suppr 超能文献

核心技术专利:CN118964589B侵权必究
粤ICP备2023148730 号-1Suppr @ 2026

文献检索

告别复杂PubMed语法,用中文像聊天一样搜索,搜遍4000万医学文献。AI智能推荐,让科研检索更轻松。

立即免费搜索

文件翻译

保留排版,准确专业,支持PDF/Word/PPT等文件格式,支持 12+语言互译。

免费翻译文档

深度研究

AI帮你快速写综述,25分钟生成高质量综述,智能提取关键信息,辅助科研写作。

立即免费体验

[铅]Pb-eSOMA-01:一种用于神经内分泌肿瘤靶向α治疗的有前景的放射性配体。

[Pb]Pb-eSOMA-01: A Promising Radioligand for Targeted Alpha Therapy of Neuroendocrine Tumors.

作者信息

Chapeau Dylan, Koustoulidou Sofia, Handula Maryana, Beekman Savanne, de Ridder Corrina, Stuurman Debra, de Blois Erik, Buchatskaya Yulia, van der Schilden Karlijn, de Jong Marion, Konijnenberg Mark W, Seimbille Yann

机构信息

Erasmus MC, Department of Radiology and Nuclear Medicine, University Medical Center Rotterdam, 3015 GD Rotterdam, The Netherlands.

Erasmus MC Cancer Institute, 3015 GD Rotterdam, The Netherlands.

出版信息

Pharmaceuticals (Basel). 2023 Jul 10;16(7):985. doi: 10.3390/ph16070985.

DOI:10.3390/ph16070985
PMID:37513897
原文链接:https://pmc.ncbi.nlm.nih.gov/articles/PMC10384862/
Abstract

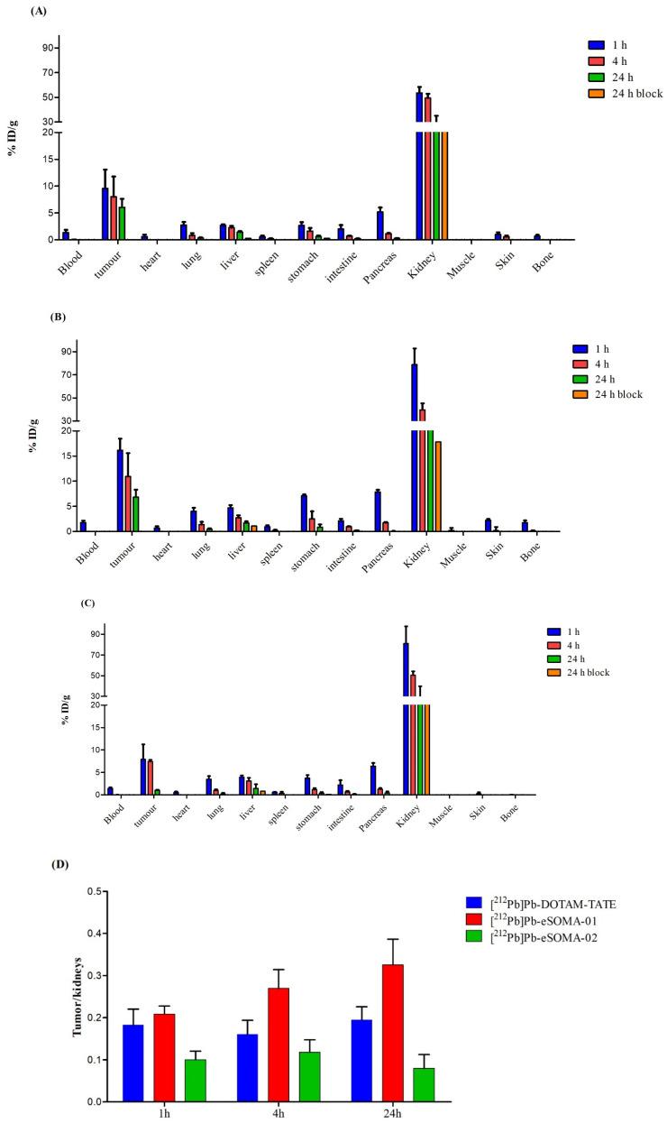
Peptide receptor radionuclide therapy (PRRT) has been applied to the treatment of neuroendocrine tumors (NETs) for over two decades. However, improvement is still needed, and targeted alpha therapy (TAT) with alpha emitters such as lead-212 (Pb) represents a promising avenue. A series of ligands based on octreotate was developed. Lead-203 was used as an imaging surrogate for the selection of the best candidate for the studies with lead-212. Pb radiolabeling and in vitro assays were carried out, followed by SPECT/CT imaging and ex vivo biodistribution in NCI-H69 tumor-bearing mice. High radiochemical yields (≥99%) and purity (≥96%) were obtained for all ligands. [Pb]Pb-eSOMA-01 and [Pb]Pb-eSOMA-02 showed high stability in PBS and mouse serum up to 24 h, whereas [Pb]Pb-eSOMA-03 was unstable in those conditions. All compounds exhibited a nanomolar affinity (2.5-3.1 nM) for SSTR2. SPECT/CT images revealed high tumor uptake at 1, 4, and 24 h post-injection of [Pb]Pb-eSOMA-01/02. Ex vivo biodistribution studies confirmed that the highest uptake in tumors was observed with [Pb]Pb-eSOMA-01. [Pb]Pb-eESOMA-01 displayed the highest absorbed dose in the tumor (35.49 Gy/MBq) and the lowest absorbed dose in the kidneys (121.73 Gy/MBq) among the three tested radioligands. [Pb]Pb-eSOMA-01 is a promising candidate for targeted alpha therapy of NETs. Further investigations are required to confirm its potential.

摘要

肽受体放射性核素治疗(PRRT)已应用于神经内分泌肿瘤(NETs)的治疗二十多年。然而,仍有改进的必要,而使用诸如铅 - 212(Pb)等α发射体的靶向α治疗(TAT)是一条有前景的途径。基于奥曲肽开发了一系列配体。铅 - 203被用作成像替代物,以选择用于铅 - 212研究的最佳候选物。进行了铅放射性标记和体外测定,随后在荷NCI - H69肿瘤小鼠中进行SPECT/CT成像和离体生物分布研究。所有配体均获得了高放射化学产率(≥99%)和纯度(≥96%)。[Pb]Pb - eSOMA - 01和[Pb]Pb - eSOMA - 02在PBS和小鼠血清中直至24小时都表现出高稳定性,而[Pb]Pb - eSOMA - 03在这些条件下不稳定。所有化合物对SSTR2均表现出纳摩尔亲和力(2.5 - 3.1 nM)。SPECT/CT图像显示在注射[Pb]Pb - eSOMA - 01/02后1、4和24小时肿瘤摄取高。离体生物分布研究证实,[Pb]Pb - eSOMA - 01在肿瘤中的摄取最高。在三种测试的放射性配体中,[Pb]Pb - eESOMA - 01在肿瘤中的吸收剂量最高(35.49 Gy/MBq),在肾脏中的吸收剂量最低(121.73 Gy/MBq)。[Pb]Pb - eSOMA - 01是NETs靶向α治疗的一个有前景的候选物。需要进一步研究以确认其潜力。

https://cdn.ncbi.nlm.nih.gov/pmc/blobs/01e6/10384862/eb27c7709d02/pharmaceuticals-16-00985-g006.jpg
https://cdn.ncbi.nlm.nih.gov/pmc/blobs/01e6/10384862/05ab2130a602/pharmaceuticals-16-00985-g001.jpg
https://cdn.ncbi.nlm.nih.gov/pmc/blobs/01e6/10384862/0f1fb77594c5/pharmaceuticals-16-00985-sch001.jpg
https://cdn.ncbi.nlm.nih.gov/pmc/blobs/01e6/10384862/05f9ac7671d9/pharmaceuticals-16-00985-sch002.jpg
https://cdn.ncbi.nlm.nih.gov/pmc/blobs/01e6/10384862/1d6fdb69b315/pharmaceuticals-16-00985-g002.jpg
https://cdn.ncbi.nlm.nih.gov/pmc/blobs/01e6/10384862/b1351891cbc7/pharmaceuticals-16-00985-g003.jpg
https://cdn.ncbi.nlm.nih.gov/pmc/blobs/01e6/10384862/851c16044824/pharmaceuticals-16-00985-g004.jpg
https://cdn.ncbi.nlm.nih.gov/pmc/blobs/01e6/10384862/6c811374f23b/pharmaceuticals-16-00985-g005.jpg
https://cdn.ncbi.nlm.nih.gov/pmc/blobs/01e6/10384862/eb27c7709d02/pharmaceuticals-16-00985-g006.jpg
https://cdn.ncbi.nlm.nih.gov/pmc/blobs/01e6/10384862/05ab2130a602/pharmaceuticals-16-00985-g001.jpg
https://cdn.ncbi.nlm.nih.gov/pmc/blobs/01e6/10384862/0f1fb77594c5/pharmaceuticals-16-00985-sch001.jpg
https://cdn.ncbi.nlm.nih.gov/pmc/blobs/01e6/10384862/05f9ac7671d9/pharmaceuticals-16-00985-sch002.jpg
https://cdn.ncbi.nlm.nih.gov/pmc/blobs/01e6/10384862/1d6fdb69b315/pharmaceuticals-16-00985-g002.jpg
https://cdn.ncbi.nlm.nih.gov/pmc/blobs/01e6/10384862/b1351891cbc7/pharmaceuticals-16-00985-g003.jpg
https://cdn.ncbi.nlm.nih.gov/pmc/blobs/01e6/10384862/851c16044824/pharmaceuticals-16-00985-g004.jpg
https://cdn.ncbi.nlm.nih.gov/pmc/blobs/01e6/10384862/6c811374f23b/pharmaceuticals-16-00985-g005.jpg
https://cdn.ncbi.nlm.nih.gov/pmc/blobs/01e6/10384862/eb27c7709d02/pharmaceuticals-16-00985-g006.jpg

相似文献

1
[Pb]Pb-eSOMA-01: A Promising Radioligand for Targeted Alpha Therapy of Neuroendocrine Tumors.[铅]Pb-eSOMA-01:一种用于神经内分泌肿瘤靶向α治疗的有前景的放射性配体。
Pharmaceuticals (Basel). 2023 Jul 10;16(7):985. doi: 10.3390/ph16070985.
2
eSOMA-DM1, a Maytansinoid-Based Theranostic Small-Molecule Drug Conjugate for Neuroendocrine Tumors.基于美登素的治疗性小分子药物偶联物 eSOMA-DM1 用于神经内分泌肿瘤。
Bioconjug Chem. 2024 Nov 20;35(11):1823-1834. doi: 10.1021/acs.bioconjchem.4c00413. Epub 2024 Oct 12.
3
First preclinical evaluation of [Ac]Ac-DOTA-JR11 and comparison with [Lu]Lu-DOTA-JR11, alpha versus beta radionuclide therapy of NETs.[锕]Ac-DOTA-JR11的首次临床前评估以及与[镥]Lu-DOTA-JR11的比较,神经内分泌肿瘤的α与β放射性核素治疗
EJNMMI Radiopharm Chem. 2023 Jun 30;8(1):13. doi: 10.1186/s41181-023-00197-0.
4
203Pb-labeled alpha-melanocyte-stimulating hormone peptide as an imaging probe for melanoma detection.203Pb标记的α-黑素细胞刺激素肽作为检测黑色素瘤的成像探针。
J Nucl Med. 2008 May;49(5):823-9. doi: 10.2967/jnumed.107.048553. Epub 2008 Apr 15.
5
Targeted -Emitter Therapy with Pb-DOTAMTATE for the Treatment of Metastatic SSTR-Expressing Neuroendocrine Tumors: First-in-Humans Dose-Escalation Clinical Trial.采用 Pb-DOTAMTATE 的靶向发射治疗治疗转移性 SSTR 表达神经内分泌肿瘤:首例人体剂量递增临床试验。
J Nucl Med. 2022 Sep;63(9):1326-1333. doi: 10.2967/jnumed.121.263230. Epub 2022 Jan 6.
6
Preclinical evaluation of [Ac]Ac-crown-TATE - An alpha-emitting radiopharmaceutical for neuroendocrine tumors.[Ac]Ac-冠醚-TATE的临床前评估——一种用于神经内分泌肿瘤的发射α粒子的放射性药物。
Nucl Med Biol. 2024 Nov-Dec;138-139:108944. doi: 10.1016/j.nucmedbio.2024.108944. Epub 2024 Jul 31.
7
Synthesis and Evaluation of Two Long-Acting SSTR2 Antagonists for Radionuclide Therapy of Neuroendocrine Tumors.两种用于神经内分泌肿瘤放射性核素治疗的长效SSTR2拮抗剂的合成与评价
Pharmaceuticals (Basel). 2022 Sep 16;15(9):1155. doi: 10.3390/ph15091155.
8
Ac-MACROPATATE: A Novel α-Particle Peptide Receptor Radionuclide Therapy for Neuroendocrine Tumors.Ac-MACROPATATE:一种用于神经内分泌肿瘤的新型 α 粒子肽受体放射性核素治疗药物。
J Nucl Med. 2023 Apr;64(4):549-554. doi: 10.2967/jnumed.122.264707. Epub 2022 Nov 17.
9
Development and dosimetry of Pb/Pb-labelled PSMA ligands: bringing "the lead" into PSMA-targeted alpha therapy?Pb/Pb 标记 PSMA 配体的研发与剂量学:将“铅”带入 PSMA 靶向α治疗?
Eur J Nucl Med Mol Imaging. 2019 May;46(5):1081-1091. doi: 10.1007/s00259-018-4220-z. Epub 2019 Jan 3.
10
Pb Theranostic Radiopharmaceuticals for Image-guided Radionuclide Therapy for Cancer.用于癌症导向放射性核素治疗的放射性诊断和治疗药剂。
Curr Med Chem. 2020;27(41):7003-7031. doi: 10.2174/0929867327999200727190423.

引用本文的文献

1
Efficacy and Safety of Radioligand Therapy with Actinium-225 DOTATATE in Patients with Advanced, Metastatic or Inoperable Neuroendocrine Neoplasms: A Systematic Review and Meta-Analysis.用225锕DOTATATE进行放射性配体治疗晚期、转移性或不可切除神经内分泌肿瘤患者的疗效和安全性:一项系统评价和荟萃分析
Medicina (Kaunas). 2025 Jul 24;61(8):1341. doi: 10.3390/medicina61081341.
2
Pb in targeted radionuclide therapy: a review.靶向放射性核素治疗中的铅:综述
EJNMMI Radiopharm Chem. 2025 Jul 1;10(1):34. doi: 10.1186/s41181-025-00362-7.
3
Gamma camera imaging characteristics of Pb as a theragnostic pair for targeted alpha therapy: a feasibility study.

本文引用的文献

1
Radiolysis-Associated Decrease in Radiochemical Purity of Lu-Radiopharmaceuticals and Comparison of the Effectiveness of Selected Quenchers against This Process.辐射分解相关的镥放射性药物放射化学纯度降低及几种淬灭剂对此过程效果的比较。
Molecules. 2023 Feb 16;28(4):1884. doi: 10.3390/molecules28041884.
2
Targeted -Emitter Therapy with Pb-DOTAMTATE for the Treatment of Metastatic SSTR-Expressing Neuroendocrine Tumors: First-in-Humans Dose-Escalation Clinical Trial.采用 Pb-DOTAMTATE 的靶向发射治疗治疗转移性 SSTR 表达神经内分泌肿瘤:首例人体剂量递增临床试验。
J Nucl Med. 2022 Sep;63(9):1326-1333. doi: 10.2967/jnumed.121.263230. Epub 2022 Jan 6.
3
用于靶向α治疗的铅作为诊疗一体化对的γ相机成像特性:一项可行性研究。
EJNMMI Phys. 2025 May 27;12(1):50. doi: 10.1186/s40658-025-00763-2.
4
Role of damaged mitochondrial transfer in alpha-particle generator Pb radiation-induced bystander effect.α粒子放射源 Pb 诱发旁观者效应中受损线粒体转移的作用。
Theranostics. 2024 Oct 14;14(17):6768-6782. doi: 10.7150/thno.101922. eCollection 2024.
5
Transplanted Murine Tumours SPECT Imaging with Tc Delivered with an Artificial Recombinant Protein.用人工重组蛋白递呈的 Tc 进行移植鼠肿瘤 SPECT 显像。
Int J Mol Sci. 2024 Sep 23;25(18):10197. doi: 10.3390/ijms251810197.
6
Towards Effective Targeted Alpha Therapy for Neuroendocrine Tumours: A Review.迈向神经内分泌肿瘤的有效靶向α治疗:综述
Pharmaceuticals (Basel). 2024 Mar 4;17(3):334. doi: 10.3390/ph17030334.
7
First-in-human SPECT/CT imaging of [Pb]Pb-VMT-α-NET in a patient with metastatic neuroendocrine tumor.首例转移性神经内分泌肿瘤患者[铅]铅-VMT-α-NET的人体单光子发射计算机断层扫描/计算机断层扫描成像
Eur J Nucl Med Mol Imaging. 2024 Apr;51(5):1490-1492. doi: 10.1007/s00259-023-06529-1. Epub 2023 Nov 22.
Radiation-induced kidney toxicity: molecular and cellular pathogenesis.
辐射诱导的肾毒性:分子和细胞发病机制。
Radiat Oncol. 2021 Feb 25;16(1):43. doi: 10.1186/s13014-021-01764-y.
4
Comparison of Metabolomic Profiles of Organs in Mice of Different Strains Based on SPME-LC-HRMS.基于固相微萃取-液相色谱-高分辨质谱法对不同品系小鼠器官代谢组学图谱的比较
Metabolites. 2020 Jun 17;10(6):255. doi: 10.3390/metabo10060255.
5
Targeted α-Emitter Therapy of Neuroendocrine Tumors.神经内分泌肿瘤的靶向α发射体疗法
Semin Nucl Med. 2020 Mar;50(2):171-176. doi: 10.1053/j.semnuclmed.2019.11.003.
6
Preclinical Investigation of Pb-DOTAMTATE for Peptide Receptor Radionuclide Therapy in a Neuroendocrine Tumor Model.基于 DOTAMTATE 的铅配合物用于神经内分泌肿瘤模型的肽受体放射性核素治疗的临床前研究。
Mol Cancer Ther. 2019 May;18(5):1012-1021. doi: 10.1158/1535-7163.MCT-18-1103. Epub 2019 Mar 29.
7
Development and dosimetry of Pb/Pb-labelled PSMA ligands: bringing "the lead" into PSMA-targeted alpha therapy?Pb/Pb 标记 PSMA 配体的研发与剂量学:将“铅”带入 PSMA 靶向α治疗?
Eur J Nucl Med Mol Imaging. 2019 May;46(5):1081-1091. doi: 10.1007/s00259-018-4220-z. Epub 2019 Jan 3.
8
EANM practical guidance on uncertainty analysis for molecular radiotherapy absorbed dose calculations.EANM 实践指南:分子放疗吸收剂量计算中的不确定性分析。
Eur J Nucl Med Mol Imaging. 2018 Dec;45(13):2456-2474. doi: 10.1007/s00259-018-4136-7. Epub 2018 Sep 14.
9
Health-Related Quality of Life in Patients With Progressive Midgut Neuroendocrine Tumors Treated With Lu-Dotatate in the Phase III NETTER-1 Trial.在 III 期 NETTER-1 试验中,接受 Lu-Dotatate 治疗的进展性中肠神经内分泌肿瘤患者的生活质量与健康相关。
J Clin Oncol. 2018 Sep 1;36(25):2578-2584. doi: 10.1200/JCO.2018.78.5865. Epub 2018 Jun 7.
10
Phase 3 Trial of Lu-Dotatate for Midgut Neuroendocrine Tumors.镥[177Lu]奥曲肽治疗中肠神经内分泌肿瘤的3期试验
N Engl J Med. 2017 Jan 12;376(2):125-135. doi: 10.1056/NEJMoa1607427.