Suppr超能文献

评估 0.1%环孢素 A 阳离子乳剂治疗 COVID-19 大流行期间干眼症的疗效。

Assessment of the efficacy of 0.1% cyclosporine A cationic emulsion in the treatment of dry eye disease during COVID-19 pandemic.

机构信息

MW med Eye Centre, Cracow, Poland.

出版信息

Rom J Ophthalmol. 2023 Apr-Jun;67(2):164-168. doi: 10.22336/rjo.2023.28.

Abstract

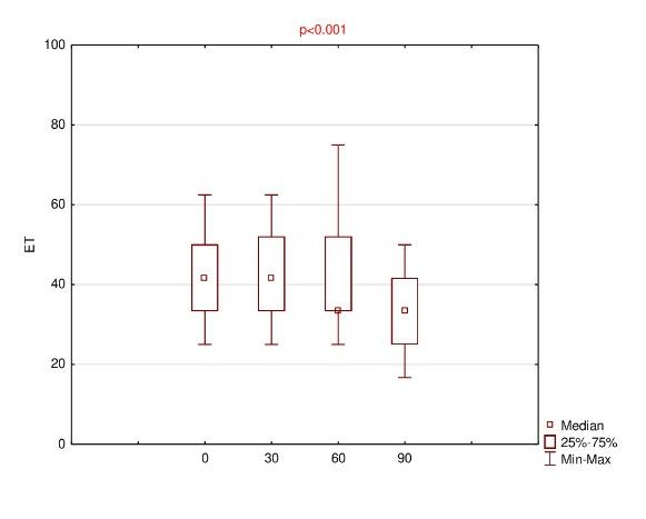
To assess the efficacy of 0.1% cyclosporine A (CsA) cationic emulsion (CE) in the treatment of dry eye disease (DED) in terms of ocular surface disease index (OSDI). DED patients with corneal fluorescein staining grade (CFS) ≤ 3 on the Oxford scale and Schirmer test score < 10 mm/ 5 min were enrolled for once-daily CsA use in this observational, prospective, one-center study. Efficacy of CE at 30, 60, and 90-day follow-up visit was evaluated using OSDI questionnaire. Both the overall OSDI score and the outcomes for all subscales - ocular symptoms (OS), vision-related function (VRF) and environmental triggers (ET) were considered. Twelve patients (10 women and 2 men), whose baseline OSDI ranged between 27.08 and 70.03 mm (48.2 ± 11.8), were included. Their achieved mean scores for subscales such OS, VRF and ET were 66.6 ± 16.8, 42.2 ± 12.0 and 42.2 ± 12.5, respectively. Statistically significant results were obtained after 30 days for OSDI (45.5 ± 10.0; p=0.011), whereas after 90 days for both OSDI (35.4 ± 7.4; p=0.003) and OS (47.2 ± 10.9; p=0.005), VRF (30.5 ± 6.1; p=0.003) and ET (33.3 ± 11.2; p=0.008). CsA CE significantly reduced symptoms of patients with DED. Recovery was the most successful after 90 days of treatment and included OSDI, OS, VRF and ET. CE = cationic emulsion, CFS = corneal fluorescein staining, CsA = cyclosporine A, DED = dry eye disease, ET = environmental triggers, OS = ocular symptoms, OSDI = ocular surface disease index, VRF = vision-related function.

摘要

评估 0.1%环孢素 A(CsA)阳离子乳液(CE)在治疗干眼病(DED)方面的疗效,采用眼表疾病指数(OSDI)评估。在牛津量表上角膜荧光素染色等级(CFS)≤3 和泪液分泌试验评分<10mm/5min 的 DED 患者,在这项观察性、前瞻性、单中心研究中,每天使用一次 CsA。在 30、60 和 90 天随访时,使用 OSDI 问卷评估 CE 的疗效。考虑了整体 OSDI 评分和所有亚量表的结果 - 眼部症状(OS)、与视觉相关的功能(VRF)和环境触发因素(ET)。共纳入 12 名患者(10 名女性和 2 名男性),他们的基线 OSDI 范围为 27.08 至 70.03mm(48.2±11.8)。他们在 OS、VRF 和 ET 等亚量表上的平均得分分别为 66.6±16.8、42.2±12.0 和 42.2±12.5。30 天后 OSDI 有显著统计学意义(45.5±10.0;p=0.011),90 天后 OSDI(35.4±7.4;p=0.003)和 OS(47.2±10.9;p=0.005)、VRF(30.5±6.1;p=0.003)和 ET(33.3±11.2;p=0.008)也有显著统计学意义。CE 显著降低了 DED 患者的症状。治疗 90 天后恢复最成功,包括 OSDI、OS、VRF 和 ET。CE =阳离子乳液,CFS =角膜荧光素染色,CsA =环孢素 A,DED =干眼病,ET =环境触发因素,OS =眼部症状,OSDI =眼表疾病指数,VRF =与视觉相关的功能。

https://cdn.ncbi.nlm.nih.gov/pmc/blobs/c7d8/10385704/7118e783f2df/RomJOphthalmol-67-164-g001.jpg

文献检索

告别复杂PubMed语法,用中文像聊天一样搜索,搜遍4000万医学文献。AI智能推荐,让科研检索更轻松。

立即免费搜索

文件翻译

保留排版,准确专业,支持PDF/Word/PPT等文件格式,支持 12+语言互译。

免费翻译文档

深度研究

AI帮你快速写综述,25分钟生成高质量综述,智能提取关键信息,辅助科研写作。

立即免费体验