Suppr超能文献

铜酸盐中费米面的输运性质与掺杂演变

Transport properties and doping evolution of the Fermi surface in cuprates.

作者信息

Klebel-Knobloch B, Tabiś W, Gala M A, Barišić O S, Sunko D K, Barišić N

机构信息

Institute of Solid State Physics, TU Wien, 1040, Vienna, Austria.

Faculty of Physics and Applied Computer Science, AGH University of Krakow, 30-059, Krakow, Poland.

出版信息

Sci Rep. 2023 Aug 21;13(1):13562. doi: 10.1038/s41598-023-39813-z.

Abstract

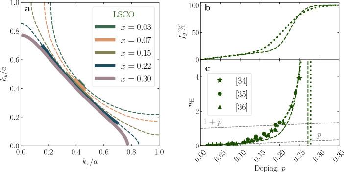
Measured transport properties of three representative cuprates are reproduced within the paradigm of two electron subsystems, itinerant and localized. The localized subsystem evolves continuously from the Cu 3d[Formula: see text] hole at half-filling and corresponds to the (pseudo)gapped parts of the Fermi surface. The itinerant subsystem is observed as a pure Fermi liquid (FL) with material-independent universal mobility across the doping/temperature phase diagram. The localized subsystem affects the itinerant one in our transport calculations solely by truncating the textbook FL integrals to the observed (doping- and temperature-dependent) Fermi arcs. With this extremely simple picture, we obtain the measured evolution of the resistivity and Hall coefficients in all three cases considered, including LSCO which undergoes a Lifshitz transition in the relevant doping range, a complication which turns out to be superficial. Our results imply that prior to evoking polaronic, quantum critical point, quantum dissipation, or even more exotic scenarios for the evolution of transport properties in cuprates, Fermi-surface properties must be addressed in realistic detail.

摘要

在巡游电子和局域电子两个子系统的框架内,再现了三种典型铜酸盐的测量输运性质。局域子系统从半填充时的Cu 3d[公式:见正文]空穴连续演化,对应于费米面的(准)能隙部分。巡游子系统表现为一种纯费米液体(FL),在整个掺杂/温度相图中具有与材料无关的普遍迁移率。在我们的输运计算中,局域子系统仅通过将教科书式的FL积分截断为观测到的(依赖于掺杂和温度的)费米弧来影响巡游子系统。基于这一极其简单的图像,我们得到了所考虑的所有三种情况下电阻率和霍尔系数的测量演化,包括在相关掺杂范围内经历里夫希茨转变的LSCO,结果表明这种复杂性只是表面现象。我们的结果意味着,在为铜酸盐中输运性质的演化援引极化子、量子临界点、量子耗散甚至更奇特的情景之前,必须切实详细地考虑费米面性质。

https://cdn.ncbi.nlm.nih.gov/pmc/blobs/0202/10442347/3c07f29a2d1f/41598_2023_39813_Fig1_HTML.jpg

文献AI研究员

20分钟写一篇综述,助力文献阅读效率提升50倍。

立即体验

用中文搜PubMed

大模型驱动的PubMed中文搜索引擎

马上搜索

文档翻译

学术文献翻译模型,支持多种主流文档格式。

立即体验