Department of Vascular Surgery, University Medical Center Utrecht, the Netherlands (S.J.A.D., R.J.T., G.J.d.B.).
Department of General Surgery, Jeroen Bosch Hospital, Den Bosch, the Netherlands (M.L.R.).
Stroke. 2023 Oct;54(10):2562-2568. doi: 10.1161/STROKEAHA.123.043336. Epub 2023 Aug 24.
Carotid artery revascularization can result in new ischemic brain lesions on diffusion-weighted magnetic resonance imaging. This study aimed to investigate the relationship between periprocedural ischemic diffusion-weighted imaging (DWI) lesions after carotid artery revascularization and recurrent long-term cerebrovascular events.
A secondary observational prospective cohort analysis of existing clinical trial data was performed on 162 patients with symptomatic carotid stenosis that were previously randomized to carotid artery stenting or carotid endarterectomy in the ICSS (International Carotid Stenting Study) and included in the magnetic resonance imaging substudy. Magnetic resonance imagings were performed 1 to 7 days before and 1 to 3 days after treatment. The primary composite clinical outcome was the time to any stroke or transient ischemic attack during follow-up. Patients with new diffusion-weighted imaging (DWI) lesions on posttreatment magnetic resonance imaging scan (DWI+) were compared with patients without new lesions (DWI-).
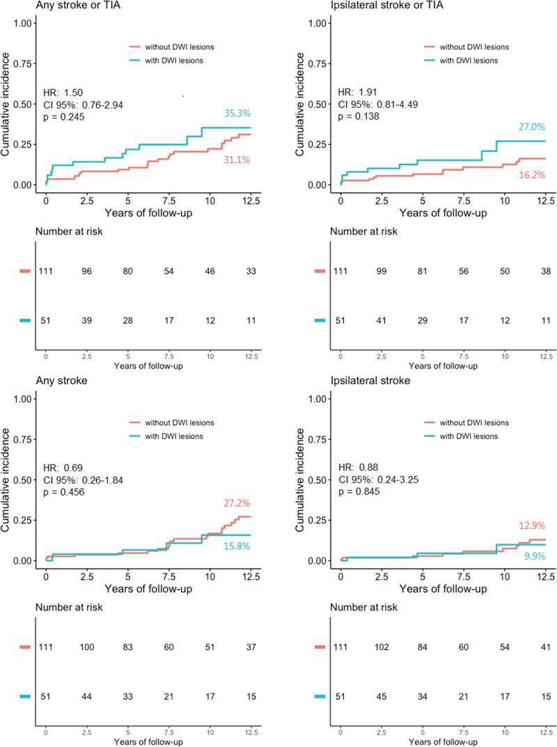
The median time of follow-up was 8.6 years (interquartile range, 5.0-12.5). Kaplan-Meier cumulative incidence for the primary outcome after 12.5-year follow-up was 35.3% (SE, 8.9%) in DWI+ patients and 31.1% (SE, 5.6%) in DWI- patients. Uni- and multivariable regression analyses did not show significant differences (hazard ratio, 1.50 [95% CI, 0.76-2.94] and hazard ratio, 1.30 [95% CI, 0.10-1.02], respectively). Higher event rate of the primary outcome in DWI+ patients in the overall cohort was mainly caused by events in the carotid artery stenting group.
Based on our outcome analysis within the ICSS magnetic resonance imaging substudy, DWI lesions following carotid revascularization did not seem to have a relationship with long-term stroke risk.
URL: https://www.
gov; Unique identifier: ISRCTN 25337470.
颈动脉血运重建可导致磁共振弥散加权成像(DWI)出现新的缺血性脑损伤。本研究旨在探讨颈动脉血运重建后围手术期缺血性 DWI 病变与复发性长期脑血管事件之间的关系。
对先前随机分配至颈动脉支架置入术或颈动脉内膜切除术的 162 例症状性颈动脉狭窄患者进行 ICSS(国际颈动脉支架置入研究)中现有临床研究数据的二次观察性前瞻性队列分析,并纳入磁共振成像亚研究。磁共振成像检查于治疗前 1 至 7 天和治疗后 1 至 3 天进行。主要复合临床结局为随访期间任何卒中和短暂性脑缺血发作的时间。将治疗后磁共振成像扫描出现新的弥散加权成像(DWI)病变(DWI+)的患者与无新病变(DWI-)的患者进行比较。
中位随访时间为 8.6 年(四分位间距,5.0-12.5)。12.5 年随访后主要结局的 Kaplan-Meier 累积发生率在 DWI+患者中为 35.3%(SE,8.9%),在 DWI-患者中为 31.1%(SE,5.6%)。单变量和多变量回归分析均未显示出显著差异(风险比,1.50[95%CI,0.76-2.94]和风险比,1.30[95%CI,0.10-1.02])。总体队列中 DWI+患者主要结局的更高事件发生率主要是由于颈动脉支架置入组的事件所致。
根据我们在 ICSS 磁共振成像亚研究中的结果分析,颈动脉血运重建后 DWI 病变似乎与长期卒中风险无关。
网址:www.clinicaltrials.gov;独特标识符:ISRCTN25337470。