Suppr超能文献

在红三叶草()的北欧种群中观察到有限的遗传变化及保守性。

Limited genetic changes observed during and conservation in Nordic populations of red clover ().

作者信息

Hagenblad Jenny, Aloisi Karolina, Marum Petter, Öhlund Linda, Solberg Svein Øivind, Asdal Åsmund, Palmé Anna

机构信息

Department of Physics, Chemistry and Biology, Linköping University, Linköping, Sweden.

Nordic Genetic Resource Center (NordGen), Alnarp, Sweden.

出版信息

Front Plant Sci. 2023 Aug 9;14:1233838. doi: 10.3389/fpls.2023.1233838. eCollection 2023.

Abstract

INTRODUCTION

and conservation are the two main approaches for preserving genetic diversity. The advantages and disadvantages of the two approaches have been discussed but their genetic effects have not been fully evaluated.

METHODS

In this study we investigate the effects of the two conservation approaches on genetic diversity in red clover. Seed samples collected from wild populations in Sweden and Norway in 1980, their subsequent generations created during seed regeneration at the gene bank and samples recollected from the same location as the original samples, were analyzed with microsatellite markers, alongside reference samples from cultivars.

RESULTS

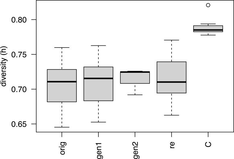
Overall, there was a differentiation between cultivars and the wild material and between wild material from Sweden and Norway. In general, the original collections clustered together with the later generations of the same accession in the gene bank, and with the recollected samples from the same location, and the level of diversity remained the same among samples of the same accession. Limited gene flow from cultivated varieties to the wild populations was detected; however, some wild individuals are likely to be escapees or affected by gene flow.

DISCUSSION

In conclusion, there were examples of genetic changes within individual accessions both and , as is also to be expected in any living population. However, we observed only limited genetic changes in both and conservation over the generations included in this study and with the relatively large populations used in the conservation in the gene bank at NordGen.

摘要

引言

迁地保护和原地保护是保护遗传多样性的两种主要方法。这两种方法的优缺点已被讨论过,但它们的遗传效应尚未得到充分评估。

方法

在本研究中,我们调查了这两种保护方法对红三叶草遗传多样性的影响。对1980年从瑞典和挪威野生种群采集的种子样本、它们在基因库种子再生过程中产生的后代以及从与原始样本相同地点重新采集的样本,使用微卫星标记进行分析,并与栽培品种的参考样本一起分析。

结果

总体而言,栽培品种与野生材料之间以及来自瑞典和挪威的野生材料之间存在差异。一般来说,原始收集的样本与基因库中同一种质的后代以及从同一地点重新采集的样本聚集在一起,并且同一种质的样本之间的多样性水平保持不变。检测到从栽培品种到野生种群的有限基因流动;然而,一些野生个体可能是逃逸者或受到基因流动的影响。

讨论

总之,在迁地保护和原地保护中,个体种质内都存在遗传变化的例子,这在任何生物种群中也是可以预期的。然而,在本研究涵盖的几代人中,以及在北欧基因库用于原地保护的相对较大种群中,我们观察到迁地保护和原地保护中的遗传变化都有限。

https://cdn.ncbi.nlm.nih.gov/pmc/blobs/4886/10445542/84dab63c6fe2/fpls-14-1233838-g001.jpg

文献AI研究员

20分钟写一篇综述,助力文献阅读效率提升50倍。

立即体验

用中文搜PubMed

大模型驱动的PubMed中文搜索引擎

马上搜索

文档翻译

学术文献翻译模型,支持多种主流文档格式。

立即体验