Suppr超能文献

组织系统病理学检测在预测 Barrett 食管患者进展方面优于标准护理变量。

A Tissue Systems Pathology Test Outperforms the Standard-of-Care Variables in Predicting Progression in Patients With Barrett's Esophagus.

机构信息

University of Pittsburgh School of Medicine, Pittsburgh, Pennsylvania, USA.

Cleveland Clinic, Cleveland, Ohio, USA.

出版信息

Clin Transl Gastroenterol. 2023 Nov 1;14(11):e00631. doi: 10.14309/ctg.0000000000000631.

Abstract

INTRODUCTION

Objective risk stratification is needed for patients with Barrett's esophagus (BE) to enable risk-aligned management to improve health outcomes. This study evaluated the predictive performance of a tissue systems pathology [TSP-9] test (TissueCypher) vs current clinicopathologic variables in a multicenter cohort of patients with BE.

METHODS

Data from 699 patients with BE from 5 published studies on the TSP-9 test were evaluated. Five hundred nine patients did not progress during surveillance, 40 were diagnosed with high-grade dysplasia/esophageal adenocarcinoma (HGD/EAC) within 12 months, and 150 progressed to HGD/EAC after 12 months. Age, sex, segment length, hiatal hernia, original and expert pathology review diagnoses, and TSP-9 risk classes were collected. The predictive performance of clinicopathologic variables and the TSP-9 test was compared, and the TSP-9 test was evaluated in clinically relevant patient subsets.

RESULTS

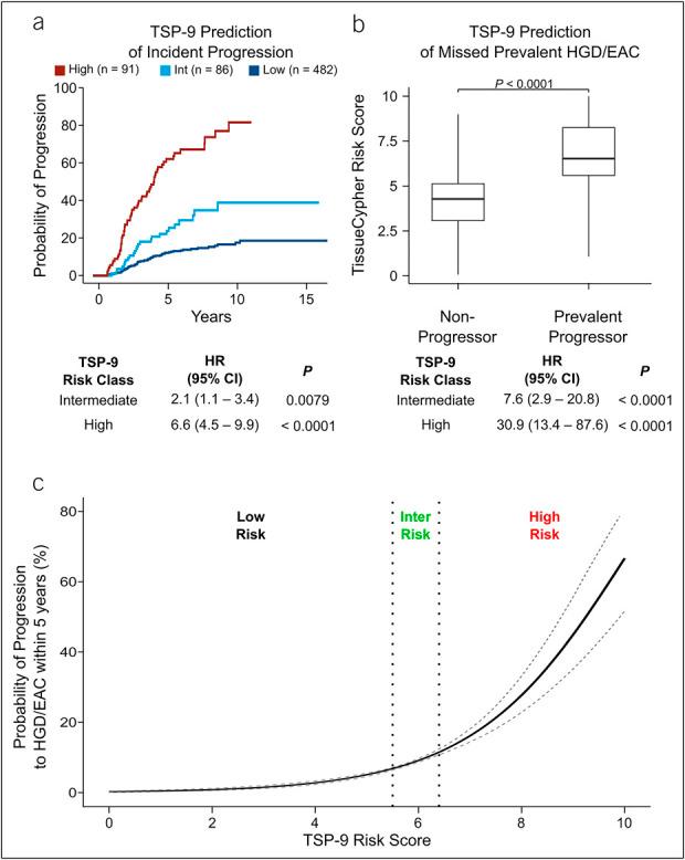
The sensitivity of the TSP-9 test in detecting progressors was 62.3% compared with 28.3% for expert-confirmed low-grade dysplasia (LGD), while the original diagnosis abstracted from medical records did not provide any significant risk stratification. The TSP-9 test identified 57% of progressors with nondysplastic Barrett's esophagus (NDBE) ( P < 0.0001). Patients with NDBE who scored TSP-9 high risk progressed at a similar rate (3.2%/yr) to patients with expert-confirmed LGD (3.7%/yr). The TSP-9 test provided significant risk stratification in clinically low-risk patients (NDBE, female, short-segment BE) and clinically high-risk patients (IND/LGD, male, long-segment BE) ( P < 0.0001 for comparison of high-risk classes vs low-risk classes).

DISCUSSION

The TSP-9 test predicts risk of progression to HGD/EAC independently of current clinicopathologic variables in patients with BE. The test provides objective risk stratification results that may guide management decisions to improve health outcomes for patients with BE.

摘要

简介

为了改善健康结果,需要对巴雷特食管(BE)患者进行客观的风险分层,以便进行风险匹配管理。本研究评估了组织系统病理学 [TSP-9] 测试(TissueCypher)与 BE 患者多中心队列中当前临床病理变量相比的预测性能。

方法

评估了来自 TissueCypher 五项 TSP-9 测试研究的 699 例 BE 患者的数据。509 例患者在监测期间未进展,40 例在 12 个月内被诊断为高级别发育不良/食管腺癌(HGD/EAC),150 例在 12 个月后进展为 HGD/EAC。收集了年龄、性别、节段长度、食管裂孔疝、原始和专家病理复查诊断以及 TSP-9 风险类别。比较了临床病理变量和 TSP-9 测试的预测性能,并在临床相关患者亚组中评估了 TSP-9 测试。

结果

与专家确认的低级别发育不良(LGD)相比,TSP-9 测试检测进展者的敏感性为 62.3%,而从病历中提取的原始诊断并未提供任何有意义的风险分层。TSP-9 测试识别出 57%的非异型性 Barrett 食管(NDBE)进展者(P<0.0001)。TSP-9 高风险评分的 NDBE 患者的进展速度与专家确认的 LGD 患者相似(3.2%/年)。TSP-9 测试在临床低风险患者(NDBE、女性、短节段 BE)和临床高风险患者(IND/LGD、男性、长节段 BE)中提供了显著的风险分层(高风险类别与低风险类别比较,P<0.0001)。

讨论

TSP-9 测试独立于 BE 患者当前的临床病理变量预测进展为 HGD/EAC 的风险。该测试提供了客观的风险分层结果,可能有助于指导管理决策,改善 BE 患者的健康结果。

https://cdn.ncbi.nlm.nih.gov/pmc/blobs/fc3d/10684217/f59b2b1b4871/ct9-14-e00631-g001.jpg

文献AI研究员

20分钟写一篇综述,助力文献阅读效率提升50倍。

立即体验

用中文搜PubMed

大模型驱动的PubMed中文搜索引擎

马上搜索

文档翻译

学术文献翻译模型,支持多种主流文档格式。

立即体验