Suppr超能文献

纤维与水泥改性废浆体的强度及变形特性

Strength and Deformation Characteristics of Fiber and Cement-Modified Waste Slurry.

作者信息

Ye Jiahao, Jiang Ping, Chen Lejie, Zhou Xuhui, Rao Fei, Tang Xinyi

机构信息

School of Civil Engineering, Shaoxing University, Shaoxing 312000, China.

Shaoxing Key Laboratory of Interaction between Soft Soil Foundation and Building Structure, Shaoxing 312000, China.

出版信息

Polymers (Basel). 2023 Aug 17;15(16):3435. doi: 10.3390/polym15163435.

Abstract

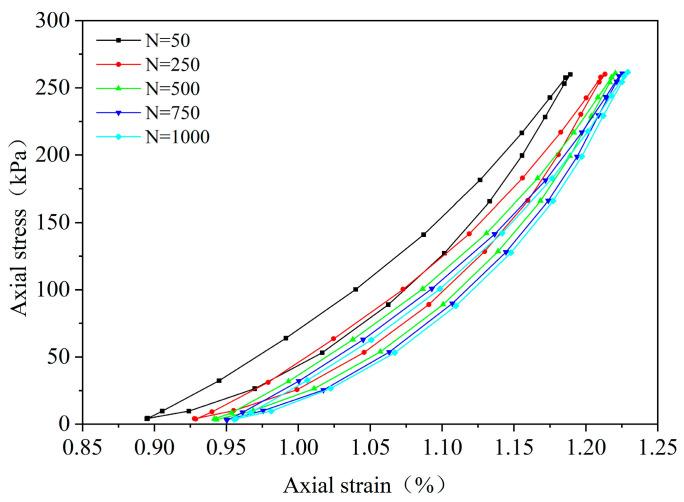
Using fiber and cement to modify waste slurry and apply it to roads is an effective way to recycle waste slurry. A new type of road material, fiber-cement-modified waste slurry (FRCS), was prepared in this study. The static and dynamic characteristics of the cement soil were studied using an unconfined compressive strength test and dynamic triaxial test. The results show that the optimum fiber content of FRCS is 0.75%. In the unconfined compressive strength test, under this fiber content, the unconfined compressive strength (UCS) of the FRCS is the largest, and the elastic modulus and modulus strength ratio are both the smallest, indicating that the tensile properties of the cement slurry have been enhanced. In the dynamic triaxial test, the hysteretic curve of the FRCS tends to be stable with the increase in the number of cycles, the dynamic elastic modulus of the FRCS decreases first and then increases with the increase in the dosage, while the damping ratio becomes stable after a rapid decline, and the fiber incorporation increases the cumulative strain of the soil-cement under low-stress cycles, indicating that the ductility of the FRCS is improved. In addition, a cumulative strain prediction model of the FRCS is established in this paper, which can provide a reference for the resource application of waste slurry in road engineering.

摘要

利用纤维和水泥对废弃泥浆进行改性并将其应用于道路是废弃泥浆回收利用的有效途径。本研究制备了一种新型道路材料——纤维水泥改性废弃泥浆(FRCS)。采用无侧限抗压强度试验和动三轴试验研究了水泥土的静动力特性。结果表明,FRCS的最佳纤维含量为0.75%。在无侧限抗压强度试验中,在此纤维含量下,FRCS的无侧限抗压强度(UCS)最大,弹性模量和模量强度比均最小,表明水泥浆体的拉伸性能得到了增强。在动三轴试验中,FRCS的滞回曲线随循环次数的增加趋于稳定,FRCS的动弹性模量随掺量增加先减小后增大,而阻尼比在快速下降后趋于稳定,纤维的掺入增加了低应力循环下水泥土的累积应变,表明FRCS的延性得到了改善。此外,本文建立了FRCS的累积应变预测模型,可为废弃泥浆在道路工程中的资源化应用提供参考。

https://cdn.ncbi.nlm.nih.gov/pmc/blobs/6a23/10458154/1112c3dc4d07/polymers-15-03435-g001.jpg

文献AI研究员

20分钟写一篇综述,助力文献阅读效率提升50倍。

立即体验

用中文搜PubMed

大模型驱动的PubMed中文搜索引擎

马上搜索

文档翻译

学术文献翻译模型,支持多种主流文档格式。

立即体验