Gansu Agricultural University, Lanzhou, China.
PeerJ. 2023 Aug 24;11:e15881. doi: 10.7717/peerj.15881. eCollection 2023.
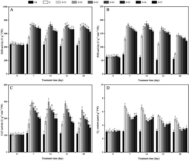
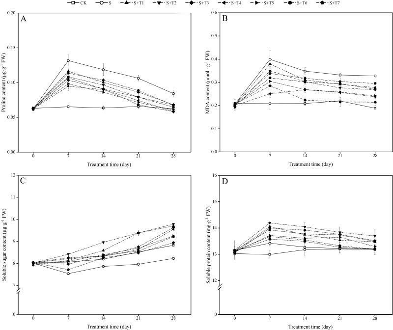
Hydrogen sulfide (HS), as an endogenous gas signaling molecule, plays an important role in plant growth regulation and resistance to abiotic stress. This study aims to investigate the mechanism of exogenous HS on the growth and development of seedlings under salt stress and to determine the optimal concentration for foliar application. To investigate the regulatory effects of exogenous HS (donor sodium hydrosulfide, NaHS) at concentrations ranging from 0 to 1 mM on reactive oxygen species (ROS), antioxidant system, and osmoregulation in seedlings under 300 mM NaCl stress. The growth of seedlings was inhibited by salt stress, which resulted in a decrease in the leaf relative water content (LRWC), specific leaf area (SLA), and soluble sugar content in leaves, elevated activity levels of superoxide dismutase (SOD), peroxidase (POD), and catalase (CAT); and accumulated superoxide anion (O), proline, malondialdehyde (MDA), and soluble protein content in leaves; and increased L-cysteine desulfhydrase (LCD) activity and endogenous HS content. This indicated that a high level of ROS was produced in the leaves of seedlings and seriously affected the growth and development of seedlings. The exogenous application of different concentrations of NaHS reduced the content of O , proline and MDA, increased the activity of antioxidant enzymes and the content of osmoregulators (soluble sugars and soluble proteins), while the LCD enzyme activity and the content of endogenous HS were further increased with the continuous application of exogenous HS. The inhibitory effects of salt stress on the growth rate of plant height and ground diameter, the LRWC, biomass, and SLA were effectively alleviated. A comprehensive analysis showed that the LRWC, POD, and proline could be used as the main indicators to evaluate the alleviating effect of exogenous HS on seedlings under salt stress. The optimal concentration of exogenous HS for seedlings under salt stress was 0.025 mM. This study provides an important theoretical foundation for understanding the salt tolerance mechanism of and for cultivating high-quality germplasm resources.
硫化氢(HS)作为一种内源性气体信号分子,在植物生长调节和非生物胁迫抗性中发挥重要作用。本研究旨在探讨外源 HS 对盐胁迫下幼苗生长发育的调控机制,并确定叶片喷施的最佳浓度。研究了外源 HS(供体硫氢化钠,NaHS)在 0 至 1mM 浓度范围内对 300mM NaCl 胁迫下幼苗中活性氧(ROS)、抗氧化系统和渗透调节的调节作用。盐胁迫抑制了 幼苗的生长,导致叶片相对含水量(LRWC)、比叶面积(SLA)和叶片可溶性糖含量降低,超氧化物歧化酶(SOD)、过氧化物酶(POD)和过氧化氢酶(CAT)活性升高;叶片中超氧阴离子(O)、脯氨酸、丙二醛(MDA)和可溶性蛋白含量积累;L-半胱氨酸脱硫酶(LCD)活性和内源性 HS 含量增加。这表明 ROS 在 幼苗叶片中大量产生,严重影响了幼苗的生长发育。不同浓度的外源 NaHS 的施加降低了 O 、脯氨酸和 MDA 的含量,提高了抗氧化酶的活性和渗透调节剂(可溶性糖和可溶性蛋白)的含量,而随着外源 HS 的持续施加,LCD 酶活性和内源性 HS 的含量进一步增加。盐胁迫对株高和地径生长速率、LRWC、生物量和 SLA 的抑制作用得到有效缓解。综合分析表明,LRWC、POD 和脯氨酸可作为评价外源 HS 缓解盐胁迫下 幼苗生长的主要指标。盐胁迫下 幼苗的最佳外源 HS 浓度为 0.025mM。本研究为了解 耐盐机制和培育优质种质资源提供了重要的理论基础。