Suppr超能文献

肺静脉隔离后额外消融的长期影响:EARNEST-PVI 试验结果。

Long-Term Impact of Additional Ablation After Pulmonary Vein Isolation: Results From EARNEST-PVI Trial.

机构信息

Cardiovascular Center Kansai Rosai Hospital Amagasaki Japan.

Cardiovascular Division National Hospital Organization Osaka National Hospital Osaka Japan.

出版信息

J Am Heart Assoc. 2023 Sep 5;12(17):e029651. doi: 10.1161/JAHA.123.029651. Epub 2023 Aug 29.

Abstract

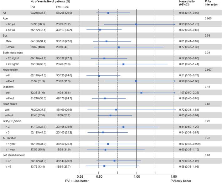
Background An optimal strategy for left atrial ablation in addition to pulmonary vein isolation (PVI) in patients with persistent atrial fibrillation (AF) has not been determined. Methods and Results We conducted an extended follow-up of the multicenter randomized controlled EARNEST-PVI (Efficacy of Pulmonary Vein Isolation Alone in Patients With Persistent Atrial Fibrillation) trial, which compared 12-month rhythm outcomes in patients with persistent AF between patients randomized to a PVI-alone strategy (n=248) or PVI-plus strategy (n=248; PVI followed by left atrial additional ablation, including linear ablation or ablation targeting areas with complex fractionated electrograms). The present study extended the follow-up period to 3 years after enrollment. Outcomes were compared not only between randomly allocated groups but also between on-treatment groups categorized by actually created ablation lesions. Recurrence rate of AF or atrial tachycardia (AT) was lower in the randomly allocated to PVI-plus group than the PVI-alone group (29.0% versus 37.5%, =0.036). On-treatment analysis revealed that patients with PVI+linear ablation (n=205) demonstrated a lower AF/AT recurrence rate than those with PVI only (26.3% versus 37.8%, =0.007). In contrast, patients with PVI+complex fractionated electrograms ablation (n=37) had an AF/AT recurrence rate comparable to that of patients with PVI only (40.5% versus 37.8%, =0.76). At second ablation in 126 patients with AF/AT recurrence, ATs excluding common atrial flutter were more frequent in patients with PVI+linear ablation than in those with PVI only (32.6% versus 5.7%, <0.0001). Conclusions Left atrial ablation in addition to PVI was efficacious during 3-year follow-up. Linear ablation was superior to other ablation strategies but may increase iatrogenic ATs. Registration URL: http://www.umin.ac.jp/ctr/index-j.htm; Unique identifier: UMIN000019449.

摘要

背景

对于持续性心房颤动(AF)患者,除肺静脉隔离(PVI)外,左心房消融的最佳策略尚未确定。

方法和结果

我们对多中心随机对照 EARNEST-PVI(单独肺静脉隔离对持续性心房颤动患者的疗效)试验进行了扩展随访,该试验比较了随机分为 PVI 单独组(n=248)或 PVI 加组(n=248;PVI 后行左心房附加消融,包括线性消融或针对复杂碎裂电图区域的消融)的持续性 AF 患者 12 个月时的节律结果。本研究将随访期延长至入组后 3 年。结果不仅在随机分组组之间进行比较,而且还在根据实际消融病灶分类的治疗组之间进行比较。随机分配到 PVI 加组的患者 AF 或房性心动过速(AT)的复发率低于 PVI 单独组(29.0%比 37.5%,=0.036)。治疗分析显示,行 PVI+线性消融的患者(n=205)AF/AT 复发率低于仅行 PVI 的患者(26.3%比 37.8%,=0.007)。相比之下,行 PVI+复杂碎裂电图消融的患者(n=37)的 AF/AT 复发率与仅行 PVI 的患者相当(40.5%比 37.8%,=0.76)。在 126 例 AF/AT 复发患者的第二次消融中,行 PVI+线性消融的患者的 AT (不包括常见的房扑)比仅行 PVI 的患者更常见(32.6%比 5.7%,<0.0001)。

结论

在 3 年随访期间,除 PVI 外,左心房消融是有效的。线性消融优于其他消融策略,但可能会增加医源性 AT。

登记网址

http://www.umin.ac.jp/ctr/index-j.htm;独特识别码:UMIN000019449。

https://cdn.ncbi.nlm.nih.gov/pmc/blobs/7478/10547359/d948accb25fc/JAH3-12-e029651-g002.jpg

文献AI研究员

20分钟写一篇综述,助力文献阅读效率提升50倍。

立即体验

用中文搜PubMed

大模型驱动的PubMed中文搜索引擎

马上搜索

文档翻译

学术文献翻译模型,支持多种主流文档格式。

立即体验