Suppr超能文献

动态血压作为一般人群长期肾功能下降的危险因素:一种分布回归方法。

Ambulatory blood pressure as risk factor for long-term kidney function decline in the general population: a distributional regression approach.

机构信息

Metabolic and Renal Research Group, UiT The Arctic University of Norway, Tromsø, Norway.

Section of Nephrology, Clinic of Internal Medicine, University Hospital of North Norway, Tromsø, Norway.

出版信息

Sci Rep. 2023 Aug 31;13(1):14296. doi: 10.1038/s41598-023-41181-7.

Abstract

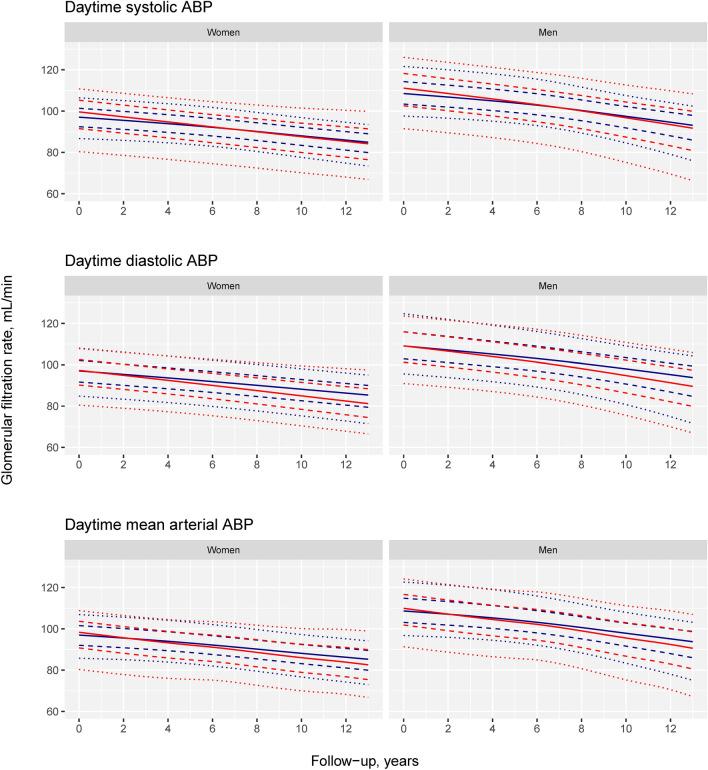
The results of randomized controlled trials are unclear about the long-term effect of blood pressure (BP) on kidney function assessed as the glomerular filtration rate (GFR) in persons without chronic kidney disease or diabetes. The limited duration of follow-up and use of imprecise methods for assessing BP and GFR are important reasons why this issue has not been settled. Since a long-term randomized trial is unlikely, we investigated the association between 24-h ambulatory BP (ABP) and measured GFR in a cohort study with a median follow-up of 11 years. The Renal Iohexol Clearance Survey (RENIS) cohort is a representative sample of persons aged 50 to 62 years without baseline cardiovascular disease, diabetes, or kidney disease from the general population of Tromsø in northern Norway. ABP was measured at baseline, and iohexol clearance at baseline and twice during follow-up. The study population comprised 1589 persons with 4127 GFR measurements. Baseline ABP or office BP components were not associated with the GFR change rate in multivariable adjusted conventional regression models. In generalized additive models for location, scale, and shape (GAMLSS), higher daytime systolic, diastolic, and mean arterial ABP were associated with a slight shift of the central part of the GFR distribution toward lower GFR and with higher probability of GFR < 60 mL/min/1.73 m during follow-up (p < 0.05). The use of a distributional regression method and precise methods for measuring exposure and outcome were necessary to detect an unfavorable association between BP and GFR in this study of the general population.

摘要

随机对照试验的结果尚不清楚在没有慢性肾脏病或糖尿病的人群中,血压(BP)对肾小球滤过率(GFR)的长期影响。随访时间有限以及评估 BP 和 GFR 的不精确方法的使用是尚未解决此问题的重要原因。由于长期随机试验不太可能进行,我们在一项中位随访时间为 11 年的队列研究中调查了 24 小时动态血压(ABP)与测量的 GFR 之间的关联。REnAL iohexol cLearance SURvey(RENIS)队列是来自挪威北部特罗姆瑟的一般人群中年龄在 50 至 62 岁之间、无基线心血管疾病、糖尿病或肾脏病的代表性样本。在基线时测量 ABP,并在基线和随访期间两次测量 iohexol 清除率。该研究人群包括 1589 名患者,共进行了 4127 次 GFR 测量。多变量调整的传统回归模型显示,基线 ABP 或诊室 BP 成分与 GFR 变化率无关。在位置、规模和形状的广义加性模型(GAMLSS)中,白天收缩压、舒张压和平均动脉 ABP 较高与 GFR 分布中心向较低 GFR 略有偏移以及随访期间 GFR<60 mL/min/1.73 m 的可能性较高相关(p<0.05)。在这项针对一般人群的研究中,使用分布回归方法和精确的暴露和结局测量方法是检测 BP 和 GFR 之间不利关联的必要条件。

https://cdn.ncbi.nlm.nih.gov/pmc/blobs/0602/10471748/e11710b15e9f/41598_2023_41181_Fig1_HTML.jpg

文献AI研究员

20分钟写一篇综述,助力文献阅读效率提升50倍。

立即体验

用中文搜PubMed

大模型驱动的PubMed中文搜索引擎

马上搜索

文档翻译

学术文献翻译模型,支持多种主流文档格式。

立即体验