Suppr超能文献

运动对阿尔茨海默病大鼠模型下丘脑-垂体-性腺轴的影响。

Effect of exercise on the hypothalamic-pituitary-gonadal axis in a rat model of Alzheimer's disease.

机构信息

Department of Physiology, Medical Research Institute, Alexandria University, 165, Horreya Avenue, Hadara, Alexandria, Egypt.

出版信息

Sci Rep. 2023 Aug 31;13(1):14300. doi: 10.1038/s41598-023-41415-8.

Abstract

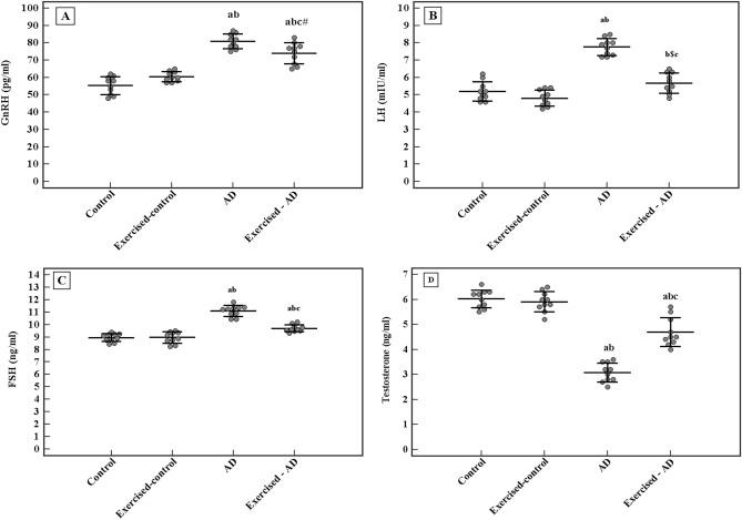
Hypothalamic-pituitary-gonadal (HPG) axis dysregulation was suggested to play a crucial role in Alzheimer's disease (AD). This study investigated the effects of exercise on HPG hormones in an AD rat model, as a possible mechanism underlying the favorable effect of exercise on AD. Forty male Wistar albino rats 2-3 months old were subdivided randomly into two groups (n = 20 each): AD group (injected intraperitoneally with aluminum chloride (70 mg/kg/day) for 6 weeks) and Control group. Each group was subdivided into exercised or non-exercised group (n = 10 each). Exercised groups were subjected to a swimming protocol (60 min/day, 5 days/week, 4 weeks). Serum HPG hormones, hippocampal β-amyloid levels and Morris water-maze cognition were assessed. Results demonstrated higher levels of β-amyloid, gonadotropin releasing hormone (GnRH), luteinizing hormone (LH) and follicle stimulating hormone (FSH) together with lower testosterone levels and cognitive impairment in the AD rats compared to controls. Β-amyloid levels negatively correlated with testosterone levels and positively correlated with GnRH, LH and FSH among the AD rats. Higher testosterone and lower GnRH, LH, FSH and β-amyloid levels, as well as cognitive improvement, were observed in the exercised compared to non-exercised AD rats, suggesting a modulatory role of exercise training on AD-associated HPG axis dysregulation.

摘要

下丘脑-垂体-性腺(HPG)轴失调被认为在阿尔茨海默病(AD)中起关键作用。本研究探讨了运动对 AD 大鼠模型 HPG 激素的影响,作为运动对 AD 有益作用的潜在机制。40 只 2-3 月龄雄性 Wistar 白化大鼠随机分为两组(每组 n=20):AD 组(腹腔内注射氯化铝(70mg/kg/天)6 周)和对照组。每组再分为运动组和非运动组(每组 n=10)。运动组进行游泳方案(每天 60 分钟,每周 5 天,4 周)。评估血清 HPG 激素、海马 β-淀粉样蛋白水平和 Morris 水迷宫认知。结果表明,与对照组相比,AD 大鼠的 β-淀粉样蛋白、促性腺激素释放激素(GnRH)、黄体生成素(LH)和卵泡刺激素(FSH)水平升高,睾丸激素水平降低,认知功能受损。AD 大鼠中β-淀粉样蛋白水平与睾丸激素水平呈负相关,与 GnRH、LH 和 FSH 呈正相关。与非运动 AD 大鼠相比,运动 AD 大鼠的睾丸激素水平更高,GnRH、LH、FSH 和 β-淀粉样蛋白水平更低,认知功能改善,表明运动训练对 AD 相关 HPG 轴失调具有调节作用。

https://cdn.ncbi.nlm.nih.gov/pmc/blobs/bead/10471618/7a29cb09f142/41598_2023_41415_Fig1_HTML.jpg

文献AI研究员

20分钟写一篇综述,助力文献阅读效率提升50倍。

立即体验

用中文搜PubMed

大模型驱动的PubMed中文搜索引擎

马上搜索

文档翻译

学术文献翻译模型,支持多种主流文档格式。

立即体验