Suppr超能文献

RBBP4基因在低级别胶质瘤中的表达及临床意义:一项综合分析

Expression and clinical significance of RBBP4 gene in lower-grade glioma: An integrative analysis.

作者信息

Liang Ruofei, Xiang Yue, Hu Chao, Tang Xiaoping

机构信息

Department of Neurosurgery, Affiliated Hospital of North Sichuan Medical College, China.

Department of Pathology, Affiliated Hospital of North Sichuan Medical College, China.

出版信息

Biochem Biophys Rep. 2023 Aug 22;35:101533. doi: 10.1016/j.bbrep.2023.101533. eCollection 2023 Sep.

Abstract

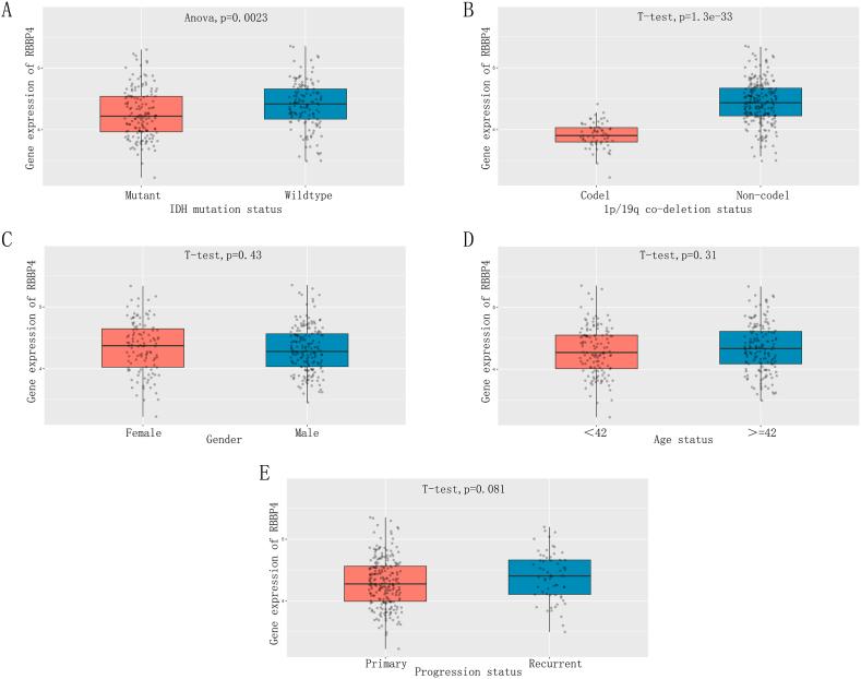
This study investigated the expression pattern of retinoblastoma binding protein 4 (RBBP4) gene in glioma and explored its associations with clinicopathologic characteristics and prognosis of patients. Data retrieved from the GEPIA, CGGA, HPA and TIMER databases were processed to analyze RBBP4 expression in glioma and investigate its relationship with clinicopathologic characteristics, tumor immune infiltration and prognosis in glioma patients. Immunohistochemistry was applied to determine the expression of RBBP4 protein in glioma tissue. Additionally, the Coexpedia database was visited to identify co-expressed genes for RBBP4 gene, while the Cytoscape software was run to visualize the enriched GO entries and KEGG pathways of these co-expressed genes. The expression levels of RBBP4 in lower-grade glioma (LGG) and glioblastoma (GBM) tissues were markedly elevated when compared to normal tissues (both p < 0.05). The up-regulation of RBBP4 expression was associated with an increase in WHO grade (II-IV), wild-type IDH, and 1p/19q non-codeletion (all p < 0.05). Multi-variate Cox regression analysis showed that both increased abundance of infiltrating macrophages and up-regulated RBBP4 expression independently predicted poor survival outcomes in LGG patients (both p < 0.05). Furthermore, RBBP4 expression exhibited significant positive correlations with the abundance of infiltrating B cell, CD8 T cell, CD4 T cell, macrophage, neutrophil, and dendritic cell in LGG (all p < 0.05). Functional enrichment analyses indicated that the co-expressed genes associated with RBBP4 were highly involved in pathways such as the p53 signaling pathway, cell cycle, DNA replication, glutathione metabolism, as well as biological processes including cell cycle process, DNA replication, and DNA repair. High levels of RBBP4 are predictive for the poor survival outcome of LGG patients. RBBP4 gene, therefore, is expected to be a potential biomarker for prognosis of LGG and a target for immunotherapy.

摘要

本研究调查了视网膜母细胞瘤结合蛋白4(RBBP4)基因在胶质瘤中的表达模式,并探讨其与患者临床病理特征及预后的相关性。对从GEPIA、CGGA、HPA和TIMER数据库检索到的数据进行处理,以分析RBBP4在胶质瘤中的表达,并研究其与胶质瘤患者临床病理特征、肿瘤免疫浸润及预后的关系。应用免疫组织化学法检测RBBP4蛋白在胶质瘤组织中的表达。此外,访问Coexpedia数据库以鉴定RBBP4基因的共表达基因,同时运行Cytoscape软件以可视化这些共表达基因的富集GO条目和KEGG通路。与正常组织相比,低级别胶质瘤(LGG)和胶质母细胞瘤(GBM)组织中RBBP4的表达水平显著升高(均p<0.05)。RBBP4表达上调与世界卫生组织分级(II-IV级)增加、异柠檬酸脱氢酶(IDH)野生型和1p/19q非缺失相关(均p<0.05)。多因素Cox回归分析显示,浸润性巨噬细胞丰度增加和RBBP4表达上调均独立预测LGG患者生存结局较差(均p<0.05)。此外,RBBP4表达与LGG中浸润性B细胞、CD8 T细胞、CD4 T细胞、巨噬细胞、中性粒细胞和树突状细胞的丰度呈显著正相关(均p<0.05)。功能富集分析表明,与RBBP4相关的共表达基因高度参与p53信号通路、细胞周期、DNA复制、谷胱甘肽代谢等通路,以及细胞周期进程、DNA复制和DNA修复等生物学过程。RBBP4高水平预示LGG患者生存结局较差。因此,RBBP4基因有望成为LGG预后的潜在生物标志物和免疫治疗靶点。

https://cdn.ncbi.nlm.nih.gov/pmc/blobs/5c67/10469049/90e6fb8bd1c5/gr1.jpg

文献AI研究员

20分钟写一篇综述,助力文献阅读效率提升50倍。

立即体验

用中文搜PubMed

大模型驱动的PubMed中文搜索引擎

马上搜索

文档翻译

学术文献翻译模型,支持多种主流文档格式。

立即体验