• 文献检索
  • 文档翻译
  • 深度研究
  • 学术资讯
  • Suppr Zotero 插件Zotero 插件
  • 邀请有礼
  • 套餐&价格
  • 历史记录
应用&插件
Suppr Zotero 插件Zotero 插件浏览器插件Mac 客户端Windows 客户端微信小程序
定价
高级版会员购买积分包购买API积分包
服务
文献检索文档翻译深度研究API 文档MCP 服务
关于我们
关于 Suppr公司介绍联系我们用户协议隐私条款
关注我们

Suppr 超能文献

核心技术专利:CN118964589B侵权必究
粤ICP备2023148730 号-1Suppr @ 2026

文献检索

告别复杂PubMed语法,用中文像聊天一样搜索,搜遍4000万医学文献。AI智能推荐,让科研检索更轻松。

立即免费搜索

文件翻译

保留排版,准确专业,支持PDF/Word/PPT等文件格式,支持 12+语言互译。

免费翻译文档

深度研究

AI帮你快速写综述,25分钟生成高质量综述,智能提取关键信息,辅助科研写作。

立即免费体验

引起不相容的情绪是否能抵消行动倾向?以焦虑和愤怒为例。

Can action tendencies be counteracted by inducing incompatible emotions? Considering instances of anxiety and anger.

机构信息

Department for Psychology and Behavioral Sciences, Aarhus University, Aarhus, Denmark.

Faculty of Psychology and Educational Sciences, KU Leuven, Leuven, Belgium.

出版信息

Brain Behav. 2023 Nov;13(11):e3247. doi: 10.1002/brb3.3247. Epub 2023 Sep 7.

DOI:10.1002/brb3.3247
PMID:37679879
原文链接:https://pmc.ncbi.nlm.nih.gov/articles/PMC10636385/
Abstract

BACKGROUND

The incompatible response hypothesis suggests that emotions and other affective states can counteract each other when incompatible. With the present study, we focused on two negative emotions (anger and anxiety) associated with different action tendencies (approach vs. avoidance). Specifically, we wanted to investigate if an anxiety manipulation, subsequent to an anger manipulation, would show a counteracting effect of the approach action tendencies associated with the initial anger manipulation and vice versa for anxiety and avoidance tendencies.

METHODS

We conducted a preregistered online experiment (N = 173). We evaluated changes from when the individual (1) was presented with a task in relation to a specific goal (e.g., anxiety induction: recordings of students' view on climate changes), (2) received a subsequent emotion induction framed within an unrelated task and goal (e.g., anger induction: student feedback on changes to the economic student compensation system), (3) after which they were asked to return to the initial task (e.g., from the anger induction back to the anxiety induction). Primary outcomes included visual and verbal measures of action tendencies, and secondary outcomes included appraisals and emotion experience.

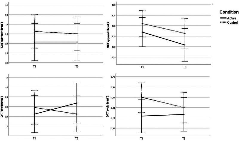
RESULTS

The results showed no evidence of a counteractive effect by inducing emotions unrelated to the initial task and with incompatible action tendencies. Rather, results pointed to spill-over effects, which should be seen in light of the anger conditions resulting not only in increase anger and irritability but also anxiety and nervousness.

CONCLUSIONS

The lack of counteractive effects could be due to either the mixed emotions induced by the anger condition or the compatibility of motivational context (i.e., threat) of anxiety and anger. Future research needs to refine the incompatible response hypothesis, honing the ways in which incompatibility is needed for emotion alteration, for instance by investigating the role of the motivational context.

摘要

背景

不相容反应假说认为,当情绪和其他情感状态不相容时,它们可以相互抵消。在本研究中,我们专注于两种与不同行为倾向(趋近与回避)相关的负性情绪(愤怒和焦虑)。具体来说,我们想研究在愤怒操作之后进行焦虑操作是否会表现出与初始愤怒操作相关的趋近行为倾向的抵消效应,反之亦然,焦虑和回避倾向也是如此。

方法

我们进行了一项预先注册的在线实验(N=173)。我们评估了个体经历以下三个阶段时的变化:(1)进行与特定目标相关的任务(例如,焦虑诱导:记录学生对气候变化的看法);(2)在不相关的任务和目标框架内进行后续的情绪诱导(例如,愤怒诱导:学生对经济学生补偿制度变化的反馈);(3)之后要求他们返回初始任务(例如,从愤怒诱导回到焦虑诱导)。主要结果包括行为倾向的视觉和口头测量,次要结果包括评价和情绪体验。

结果

结果没有显示出通过诱导与初始任务无关且具有不相容行为倾向的情绪来产生抵消效应的证据。相反,结果指向溢出效应,这应该从愤怒条件不仅导致愤怒和烦躁增加,而且还导致焦虑和紧张的角度来看待。

结论

缺乏抵消效应可能是由于愤怒条件引起的混合情绪或焦虑和愤怒的动机背景(即威胁)的兼容性所致。未来的研究需要进一步完善不相容反应假说,例如通过研究动机背景的作用,来精确地研究需要不相容性来改变情绪的方式。

https://cdn.ncbi.nlm.nih.gov/pmc/blobs/2278/10636385/6c04f32b606d/BRB3-13-e3247-g002.jpg
https://cdn.ncbi.nlm.nih.gov/pmc/blobs/2278/10636385/b90167a01ea1/BRB3-13-e3247-g004.jpg
https://cdn.ncbi.nlm.nih.gov/pmc/blobs/2278/10636385/8f676172eb90/BRB3-13-e3247-g005.jpg
https://cdn.ncbi.nlm.nih.gov/pmc/blobs/2278/10636385/b66fdcf2b3fa/BRB3-13-e3247-g006.jpg
https://cdn.ncbi.nlm.nih.gov/pmc/blobs/2278/10636385/f56b62efd881/BRB3-13-e3247-g001.jpg
https://cdn.ncbi.nlm.nih.gov/pmc/blobs/2278/10636385/6c04f32b606d/BRB3-13-e3247-g002.jpg
https://cdn.ncbi.nlm.nih.gov/pmc/blobs/2278/10636385/b90167a01ea1/BRB3-13-e3247-g004.jpg
https://cdn.ncbi.nlm.nih.gov/pmc/blobs/2278/10636385/8f676172eb90/BRB3-13-e3247-g005.jpg
https://cdn.ncbi.nlm.nih.gov/pmc/blobs/2278/10636385/b66fdcf2b3fa/BRB3-13-e3247-g006.jpg
https://cdn.ncbi.nlm.nih.gov/pmc/blobs/2278/10636385/f56b62efd881/BRB3-13-e3247-g001.jpg
https://cdn.ncbi.nlm.nih.gov/pmc/blobs/2278/10636385/6c04f32b606d/BRB3-13-e3247-g002.jpg

相似文献

1
Can action tendencies be counteracted by inducing incompatible emotions? Considering instances of anxiety and anger.引起不相容的情绪是否能抵消行动倾向?以焦虑和愤怒为例。
Brain Behav. 2023 Nov;13(11):e3247. doi: 10.1002/brb3.3247. Epub 2023 Sep 7.
2
Mixed emotional variants of gratitude: antecedent situations, cognitive appraisals, action tendencies, and psychosocial outcomes.混合情感变体的感激之情:先行情境、认知评价、行为倾向和社会心理结果。
Cogn Emot. 2023 May-Jun;37(3):572-585. doi: 10.1080/02699931.2023.2205104. Epub 2023 Apr 27.
3
Emotional lability and affective synchrony in borderline personality disorder.边缘型人格障碍中的情绪易激惹性和情感同步性。
Personal Disord. 2016 Jul;7(3):211-20. doi: 10.1037/per0000145.
4
Experimental manipulation of avoidable feelings of uncertainty: Effects on anger and anxiety.实验操控可避免的不确定感:对愤怒和焦虑的影响。
J Anxiety Disord. 2016 Jun;41:50-8. doi: 10.1016/j.janxdis.2016.03.007. Epub 2016 Mar 17.
5
Beyond essentialism: Cultural differences in emotions revisited.超越本质主义:重新审视情感的文化差异。
Emotion. 2018 Dec;18(8):1142-1162. doi: 10.1037/emo0000390. Epub 2018 Feb 1.
6
When eco-anger (but not eco-anxiety nor eco-sadness) makes you change! A temporal network approach to the emotional experience of climate change.当生态愤怒(而非生态焦虑或生态悲伤)促使你改变时!一种气候变化情感体验的时间网络方法。
J Anxiety Disord. 2024 Mar;102:102822. doi: 10.1016/j.janxdis.2023.102822. Epub 2023 Dec 21.
7
Motivational direction diverges from valence for sadness, anger, and amusement: A role for appraisals?动机方向与悲伤、愤怒和愉悦的效价不同:评价的作用?
Emotion. 2023 Aug;23(5):1334-1348. doi: 10.1037/emo0001165. Epub 2022 Sep 8.
8
In action or inaction? Social approach-avoidance tendencies in major depression.行动还是不行动?重度抑郁症中的社交趋近-回避倾向。
Psychiatry Res. 2014 Nov 30;219(3):513-7. doi: 10.1016/j.psychres.2014.07.011. Epub 2014 Jul 11.
9
Angry populists or concerned citizens? How linguistic emotion ascriptions shape affective, cognitive, and behavioural responses to political outgroups.愤怒的民粹主义者还是忧心的公民?语言情感归因如何塑造对政治外群体的情感、认知和行为反应。
Cogn Emot. 2023 Feb;37(1):147-161. doi: 10.1080/02699931.2022.2152430. Epub 2022 Dec 2.
10
Anger management style moderates effects of emotion suppression during initial stress on pain and cardiovascular responses during subsequent pain-induction.愤怒管理方式会调节初始压力期间情绪抑制对后续疼痛诱发期间疼痛和心血管反应的影响。
Ann Behav Med. 2007 Oct;34(2):154-65. doi: 10.1007/BF02872670.

引用本文的文献

1
Effective Statistics Are Essential for Strengthening a Paper in Brain and Behavior.有效统计对于增强脑与行为领域的论文至关重要。
Brain Behav. 2025 Sep;15(9):e70727. doi: 10.1002/brb3.70727.

本文引用的文献

1
Remote virtual reality assessment elucidates self-blame-related action tendencies in depression.远程虚拟现实评估揭示了抑郁症中与自责相关的行动倾向。
J Psychiatr Res. 2023 May;161:77-83. doi: 10.1016/j.jpsychires.2023.02.031. Epub 2023 Mar 6.
2
Developing a non-verbal, self-report assessment tool of action tendencies: The Depicted Action Tendencies (DAT) instrument.开发一种用于评估行动倾向的非语言自我报告评估工具:描绘行动倾向(DAT)量表。
Scand J Psychol. 2021 Jun;62(3):289-300. doi: 10.1111/sjop.12710. Epub 2021 Feb 4.
3
The Emotion Process: Event Appraisal and Component Differentiation.
情绪过程:事件评价与成分区分。
Annu Rev Psychol. 2019 Jan 4;70:719-745. doi: 10.1146/annurev-psych-122216-011854. Epub 2018 Aug 15.
4
Emotion fingerprints or emotion populations? A meta-analytic investigation of autonomic features of emotion categories.情绪指纹还是情绪群?情绪类别自主特征的元分析研究。
Psychol Bull. 2018 Apr;144(4):343-393. doi: 10.1037/bul0000128. Epub 2018 Feb 1.
5
Active avoidance and attentive freezing in the face of approaching threat.面对逼近的威胁时的主动回避和专注冻结。
Neuroimage. 2017 Sep;158:196-204. doi: 10.1016/j.neuroimage.2017.06.054. Epub 2017 Jun 29.
6
An ecological momentary assessment investigation of complex and conflicting emotions in youth with borderline personality disorder.边缘型人格障碍青少年复杂和矛盾情绪的生态瞬时评估研究。
Psychiatry Res. 2017 Jun;252:102-110. doi: 10.1016/j.psychres.2017.01.100. Epub 2017 Feb 27.
7
Freeze for action: neurobiological mechanisms in animal and human freezing.为行动而冻结:动物和人类冻结反应中的神经生物学机制
Philos Trans R Soc Lond B Biol Sci. 2017 Apr 19;372(1718). doi: 10.1098/rstb.2016.0206.
8
Emotional complexity: Clarifying definitions and cultural correlates.情绪复杂性:厘清定义与文化关联。
J Pers Soc Psychol. 2016 Dec;111(6):895-916. doi: 10.1037/pspp0000084. Epub 2015 Dec 21.
9
Distinctive effects of fear and sadness induction on anger and aggressive behavior.恐惧和悲伤诱导对愤怒及攻击性行为的独特影响。
Front Psychol. 2015 Jun 15;6:725. doi: 10.3389/fpsyg.2015.00725. eCollection 2015.
10
The relation between short-term emotion dynamics and psychological well-being: A meta-analysis.短期情绪动态与心理健康的关系:一项元分析。
Psychol Bull. 2015 Jul;141(4):901-30. doi: 10.1037/a0038822. Epub 2015 Mar 30.