Suppr超能文献

重新研究3-[5-(2-乙氧羰基-1-甲基乙烯氧基)-1-甲基-1-吲哚-3-基]丁酸乙酯的合成与表征

Reinvestigating the Synthesis and Characterization of Ethyl 3-[5-(2-Ethoxycarbonyl-1-methylvinyloxy)-1-methyl-1-indol-3-yl]-but-2-enoate.

作者信息

Li Nan-Sheng, Piccirilli Joseph A, Greene Geoffrey L

机构信息

Ben May Department for Cancer Research, The University of Chicago, 929 East 57th Street, Chicago Illinois 60637, United States.

Department of Biochemistry & Molecular Biology, The University of Chicago, 929 East 57th Street, Chicago Illinois 60637, United States.

出版信息

ACS Omega. 2023 Aug 24;8(35):31941-31945. doi: 10.1021/acsomega.3c03686. eCollection 2023 Sep 5.

Abstract

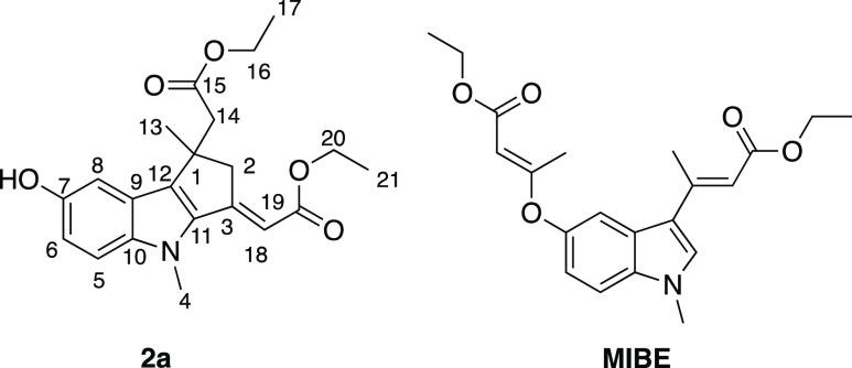
We reinvestigated the reported method for the synthesis of ethyl 3-[5-(2-ethoxycarbonyl-1-methylvinyloxy)-1-methyl-1-indol-3-yl]-but-2-enoate (MIBE), which was obtained by the reaction of 5-hydroxy-1-methyl-1-indole with excess ethyl acetoacetate catalyzed by indium(III) chloride. Based on the NMR and MS data, we assigned the structure of the isolated product as (3)-3-(2-ethoxy-2-oxoethylidene)-1,2,3,4-tetrahydro-7-hydroxy-1,4-dimethylcyclopent[]indole-1-acetate rather than the reported MIBE.

摘要

我们重新研究了报道的3-[5-(2-乙氧羰基-1-甲基乙烯氧基)-1-甲基-1-吲哚-3-基]丁酸乙酯(MIBE)的合成方法,该方法是通过5-羟基-1-甲基-1-吲哚与过量乙酰乙酸乙酯在氯化铟(III)催化下反应得到的。基于核磁共振(NMR)和质谱(MS)数据,我们将分离得到的产物结构确定为(3)-3-(2-乙氧基-2-氧代亚乙基)-1,2,3,4-四氢-7-羟基-1,4-二甲基环戊并[]吲哚-1-乙酸酯,而非报道的MIBE。

https://cdn.ncbi.nlm.nih.gov/pmc/blobs/b3f7/10483681/08281448fc65/ao3c03686_0004.jpg

文献AI研究员

20分钟写一篇综述,助力文献阅读效率提升50倍。

立即体验

用中文搜PubMed

大模型驱动的PubMed中文搜索引擎

马上搜索

文档翻译

学术文献翻译模型,支持多种主流文档格式。

立即体验