Zhang Jing-Yan, Ding Jie, Liu Lu-Ming, Wu Rui, Ding Lan, Jiang Jun-Qiu, Pang Ji-Wei, Li Yan, Ren Nan-Qi, Yang Shan-Shan
State Key Laboratory of Urban Water Resource and Environment, School of Environment, Harbin Institute of Technology, Harbin, 150090, China.
Harbin Institute of Technology National Engineering Research Center of Water Resources Co., Ltd, Harbin, 150090, China.
Environ Sci Ecotechnol. 2023 Jul 26;17:100308. doi: 10.1016/j.ese.2023.100308. eCollection 2024 Jan.
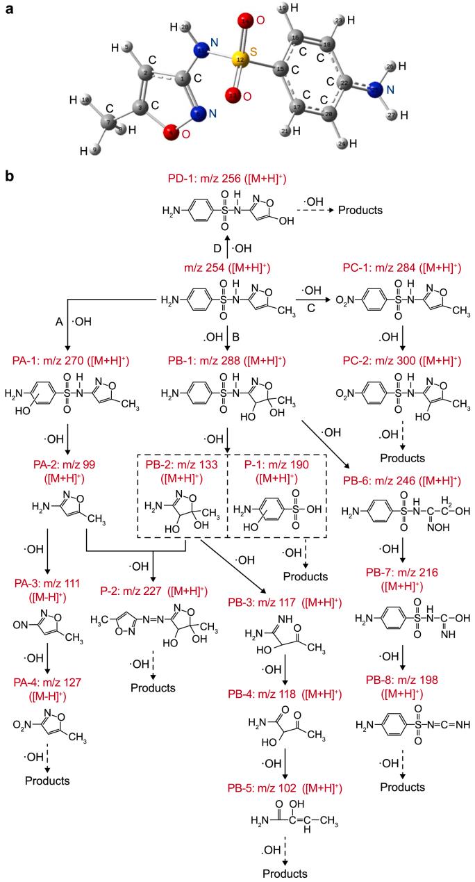
Sulfamethoxazole (SMX) is a significant environmental concern due to its adverse effects and ecological risks. SMX elimination in aquatic environments via photocatalysis presents a viable solution, given its high oxidation potential. However, such a solution remains controversial, primarily due to a lack of selectivity. Here we introduce a molecularly imprinted TiO@FeO@g-CN (MFTC) photocatalyst designed for the selective degradation of SMX. To assess MFTC's selectivity, we applied it to degrade synthetic wastewater containing SMX alongside interfering species sulfadiazine (SDZ), ibuprofen (IBU), and bisphenol A (BPA). The results demonstrated a selective degradation efficiency rate of 96.8%, nearly twice that of competing pollutants. The molecularly imprinted sites within the catalyst played a crucial role by selectively capturing SMX and enhancing its adsorption, thereby improving catalytic efficiency. The degradation process involved •OH and •O free radicals, with a newly proposed double Z-scheme mechanism and potential pathway for SMX degradation by the MFTC photocatalytic system. This study enriches the application of photocatalysis using molecularly imprinted nanocomposite materials for treating complex pollutant mixtures in water.
由于磺胺甲恶唑(SMX)的不良影响和生态风险,它已成为一个重大的环境问题。鉴于其高氧化电位,通过光催化消除水环境中的SMX是一种可行的解决方案。然而,这种解决方案仍存在争议,主要原因是缺乏选择性。在此,我们介绍一种分子印迹TiO@FeO@g-CN(MFTC)光催化剂,旨在选择性降解SMX。为了评估MFTC的选择性,我们将其应用于降解含有SMX以及干扰物质磺胺嘧啶(SDZ)、布洛芬(IBU)和双酚A(BPA)的合成废水。结果表明,选择性降解效率为96.8%,几乎是竞争性污染物的两倍。催化剂中的分子印迹位点通过选择性捕获SMX并增强其吸附起关键作用,从而提高了催化效率。降解过程涉及•OH和•O自由基,MFTC光催化系统有新提出的双Z型机制和SMX降解的潜在途径。本研究丰富了使用分子印迹纳米复合材料进行光催化处理水中复杂污染物混合物的应用。