• 文献检索
  • 文档翻译
  • 深度研究
  • 学术资讯
  • Suppr Zotero 插件Zotero 插件
  • 邀请有礼
  • 套餐&价格
  • 历史记录
应用&插件
Suppr Zotero 插件Zotero 插件浏览器插件Mac 客户端Windows 客户端微信小程序
定价
高级版会员购买积分包购买API积分包
服务
文献检索文档翻译深度研究API 文档MCP 服务
关于我们
关于 Suppr公司介绍联系我们用户协议隐私条款
关注我们

Suppr 超能文献

核心技术专利:CN118964589B侵权必究
粤ICP备2023148730 号-1Suppr @ 2026

文献检索

告别复杂PubMed语法,用中文像聊天一样搜索,搜遍4000万医学文献。AI智能推荐,让科研检索更轻松。

立即免费搜索

文件翻译

保留排版,准确专业,支持PDF/Word/PPT等文件格式,支持 12+语言互译。

免费翻译文档

深度研究

AI帮你快速写综述,25分钟生成高质量综述,智能提取关键信息,辅助科研写作。

立即免费体验

私营股权公司和上市公司收购的临终关怀机构的患者的诊断和治疗地点的变化。

Changes in Diagnoses and Site of Care for Patients Receiving Hospice Care From Agencies Acquired by Private Equity Firms and Publicly Traded Companies.

机构信息

Division of Health Policy and Economics, Weill Cornell Medical College, New York, New York.

Department of Health Policy, Vanderbilt University Medical Center, Nashville, Tennessee.

出版信息

JAMA Netw Open. 2023 Sep 5;6(9):e2334582. doi: 10.1001/jamanetworkopen.2023.34582.

DOI:10.1001/jamanetworkopen.2023.34582
PMID:37747735
原文链接:https://pmc.ncbi.nlm.nih.gov/articles/PMC10520742/
Abstract

IMPORTANCE

Private equity firms and publicly traded companies have been acquiring US hospice agencies; an estimated 16% of US hospice agencies are owned by private equity (PE) firms or publicly traded companies (PTC).

OBJECTIVE

To examine the association of PE and PTC acquisitions of hospices with Medicare patients' site of care and clinical diagnoses.

DESIGN, SETTING, AND PARTICIPANTS: This cohort study of US hospice agencies used a novel national database of acquisitions merged with the Medicare Post-Acute Care and Hospice Public Use File for 2013 to 2020. Changes in sites of care and patient characteristics for hospice agencies acquired by PE or PTCs were compared with changes for patients in nonacquired for-profit hospice agencies.

EXPOSURE

Private equity and publicly traded company acquisitions.

MAIN OUTCOMES AND MEASURES

This study used a difference-in-differences approach within an event-study framework to examine the association of PE and PTC acquisitions of hospice agencies with changes in patient diagnoses and sites of care. Dependent variables were annual hospice-level measures of the Hierarchical Condition Category (HCC) score and proportion of patients diagnosed with cancer or dementia. Sites of care included the proportion of patients receiving hospice care in their personal home, nursing home, or assisted living facility.

RESULTS

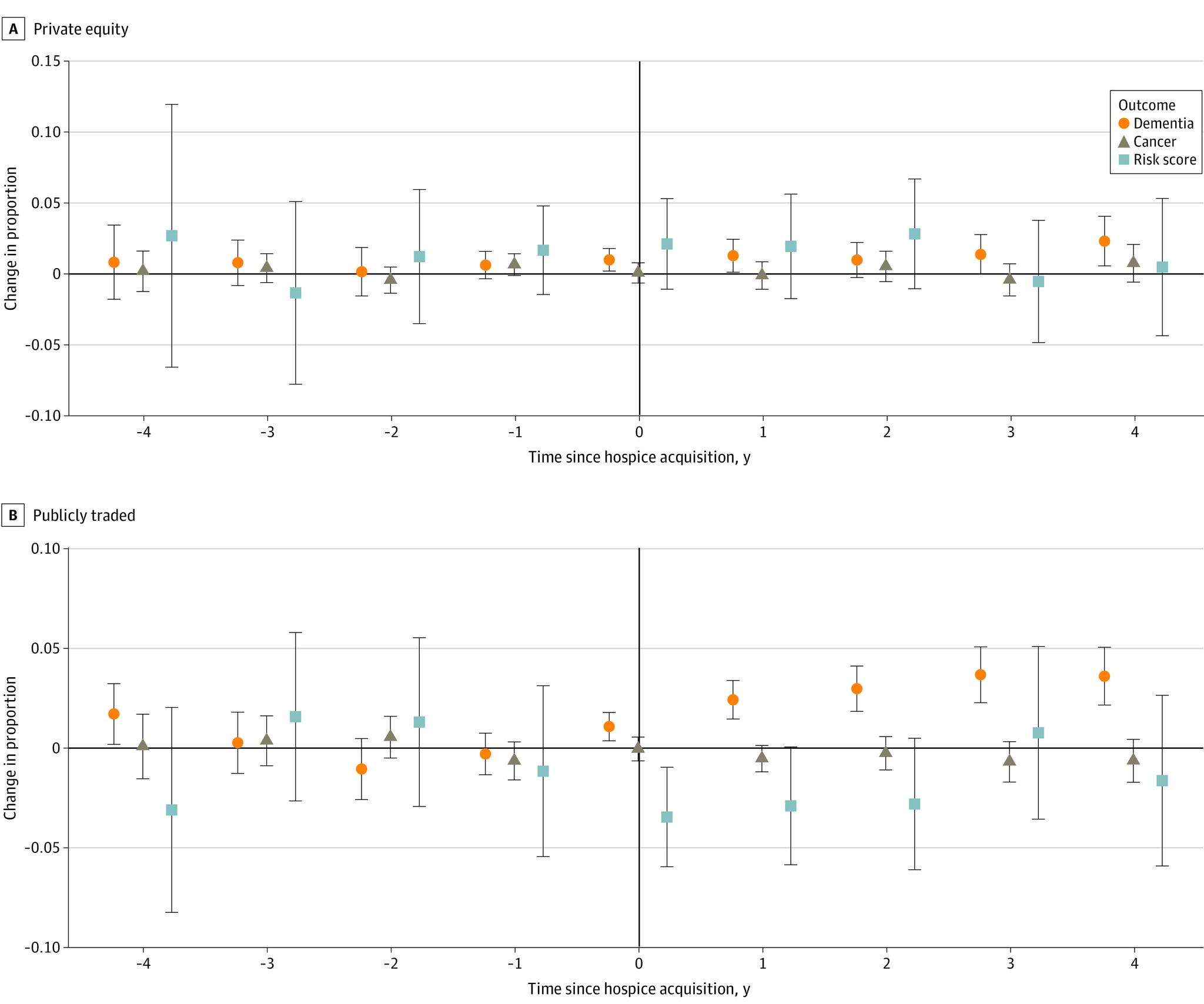
A total of 158 hospice agencies acquired by PEs, 250 acquired by PTCs, and 1559 other for-profit hospice agencies were included. Preacquisition, hospice agencies that would later be acquired by PE or PTC served a mean (IQR) 30.1% (12.0%-44.0%) and 29.4% (13.0%-43.0%) of their patients in nursing homes respectively, a greater proportion compared with the 27.1% (8.0%-43.8%) served by for-profit hospices that were never acquired. Agencies acquired by PE between 2014 and 2019 saw a significant relative increase of 5.98% in dementia patients (1.38 percentage points; 95% CI, 0.35-2.40 percentage points; P = .008). In PTC-owned hospices, the proportion of patients receiving care at home increased by 5.26% (2.98 percentage points; 95% CI, 1.46-4.51 percentage points; P < .001), the proportion of dementia patients rose by 13.49% (3.11 percentage points; 95% CI, 2.14-4.09 percentage points; P < .001), and the HCC score decreased by 1.37% (-3.19 percentage points; 95% CI, -5.92 to -0.47 percentage points; P = .02).

CONCLUSIONS AND RELEVANCE

These findings suggest that PE and PTCs select patients and sites of care to maximize profits.

摘要

重要性

私募股权公司和上市公司一直在收购美国临终关怀机构;据估计,美国临终关怀机构中有 16% 为私募股权公司(PE)或上市公司(PTC)所有。

目的

研究私募股权和上市公司收购临终关怀机构与医疗保险患者护理地点和临床诊断的关系。

设计、地点和参与者:本研究使用了美国临终关怀机构的新型全国收购数据库,该数据库与 2013 年至 2020 年的医疗保险后期护理和临终关怀公共使用文件合并。与非收购的营利性临终关怀机构相比,PE 或 PTC 收购的临终关怀机构的患者护理地点和患者特征的变化。

暴露

私募股权和上市公司收购。

主要结果和措施

本研究在事件研究框架内采用差异中的差异方法,研究私募股权和上市公司收购临终关怀机构与患者诊断和护理地点变化的关系。因变量为每年临终关怀水平的分层条件类别(HCC)评分和癌症或痴呆症诊断患者比例。护理地点包括在家中、疗养院或辅助生活设施接受临终关怀的患者比例。

结果

共纳入 158 家由 PEs 收购的临终关怀机构、250 家由 PTCs 收购的临终关怀机构和 1559 家其他营利性临终关怀机构。在收购前,后来被 PE 或 PTC 收购的临终关怀机构分别为 30.1%(12.0%-44.0%)和 29.4%(13.0%-43.0%)的患者在疗养院接受护理,这一比例高于从未被收购的营利性临终关怀机构的 27.1%(8.0%-43.8%)。2014 年至 2019 年间,被 PE 收购的机构中,痴呆症患者的比例显著增加了 5.98%(1.38 个百分点;95%CI,0.35-2.40 个百分点;P=.008)。在 PTC 拥有的临终关怀机构中,在家接受护理的患者比例增加了 5.26%(2.98 个百分点;95%CI,1.46-4.51 个百分点;P<.001),痴呆症患者的比例上升了 13.49%(3.11 个百分点;95%CI,2.14-4.09 个百分点;P<.001),HCC 评分下降了 1.37%(-3.19 个百分点;95%CI,-5.92 至-0.47 个百分点;P=.02)。

结论和相关性

这些发现表明,PE 和 PTC 选择患者和护理地点以最大化利润。

https://cdn.ncbi.nlm.nih.gov/pmc/blobs/9d66/10520742/e26ab1e4856e/jamanetwopen-e2334582-g003.jpg
https://cdn.ncbi.nlm.nih.gov/pmc/blobs/9d66/10520742/3d6d7a473b3f/jamanetwopen-e2334582-g001.jpg
https://cdn.ncbi.nlm.nih.gov/pmc/blobs/9d66/10520742/daf13f10c8a4/jamanetwopen-e2334582-g002.jpg
https://cdn.ncbi.nlm.nih.gov/pmc/blobs/9d66/10520742/e26ab1e4856e/jamanetwopen-e2334582-g003.jpg
https://cdn.ncbi.nlm.nih.gov/pmc/blobs/9d66/10520742/3d6d7a473b3f/jamanetwopen-e2334582-g001.jpg
https://cdn.ncbi.nlm.nih.gov/pmc/blobs/9d66/10520742/daf13f10c8a4/jamanetwopen-e2334582-g002.jpg
https://cdn.ncbi.nlm.nih.gov/pmc/blobs/9d66/10520742/e26ab1e4856e/jamanetwopen-e2334582-g003.jpg

相似文献

1
Changes in Diagnoses and Site of Care for Patients Receiving Hospice Care From Agencies Acquired by Private Equity Firms and Publicly Traded Companies.私营股权公司和上市公司收购的临终关怀机构的患者的诊断和治疗地点的变化。
JAMA Netw Open. 2023 Sep 5;6(9):e2334582. doi: 10.1001/jamanetworkopen.2023.34582.
2
Association of hospice agency profit status with patient diagnosis, location of care, and length of stay.临终关怀机构盈利状况与患者诊断、护理地点和住院时间的关联。
JAMA. 2011 Feb 2;305(5):472-9. doi: 10.1001/jama.2011.70.
3
Association of Private Equity Investment in US Nursing Homes With the Quality and Cost of Care for Long-Stay Residents.美国私人股本投资养老院与长期居民护理质量和成本的关联。
JAMA Health Forum. 2021 Nov 19;2(11):e213817. doi: 10.1001/jamahealthforum.2021.3817. eCollection 2021 Nov.
4
Operational and financial performance of publicly traded hospice companies.上市临终关怀公司的运营和财务表现。
J Palliat Med. 2005 Dec;8(6):1196-206. doi: 10.1089/jpm.2005.8.1196.
5
Association Between Hospital Private Equity Acquisition and Outcomes of Acute Medical Conditions Among Medicare Beneficiaries.医院私募股权投资收购与医疗保险受益人的急性医疗状况结局之间的关联。
JAMA Netw Open. 2022 Apr 1;5(4):e229581. doi: 10.1001/jamanetworkopen.2022.9581.
6
Racial and Ethnic Differences in Hospice Use and Hospitalizations at End-of-Life Among Medicare Beneficiaries With Dementia.在患有痴呆症的 Medicare 受益人群中,临终关怀使用和住院治疗的种族和民族差异。
JAMA Netw Open. 2022 Jun 1;5(6):e2216260. doi: 10.1001/jamanetworkopen.2022.16260.
7
Hospice Care for Patients With Dementia in the United States: A Longitudinal Cohort Study.美国痴呆症患者的临终关怀:一项纵向队列研究。
J Am Med Dir Assoc. 2018 Jul;19(7):633-638. doi: 10.1016/j.jamda.2017.10.003. Epub 2017 Nov 16.
8
Comparative Performance of Private Equity-Owned US Nursing Homes During the COVID-19 Pandemic.新冠疫情期间私募股权拥有的美国养老院的表现比较。
JAMA Netw Open. 2020 Oct 1;3(10):e2026702. doi: 10.1001/jamanetworkopen.2020.26702.
9
Evaluation of Federal Policy Changes to the Hospice Benefit and Use of Hospice for Persons With ADRD.评估联邦政策对临终关怀福利的改变以及痴呆症患者使用临终关怀的情况。
JAMA Health Forum. 2022 May 6;3(5):e220900. doi: 10.1001/jamahealthforum.2022.0900. eCollection 2022 May.
10
Acquisitions of Hospice Agencies by Private Equity Firms and Publicly Traded Corporations.私营股权公司和上市公司收购临终关怀机构。
JAMA Intern Med. 2021 Aug 1;181(8):1113-1114. doi: 10.1001/jamainternmed.2020.6262.

引用本文的文献

1
Live Hospice Discharge of Individuals with Cognitive Disabilities: A Systematic Review.认知障碍患者的临终关怀出院:一项系统评价
J Am Med Dir Assoc. 2025 Jun;26(6):105578. doi: 10.1016/j.jamda.2025.105578. Epub 2025 Apr 9.
2
Private Equity's Growing Presence in Hospice Care: Clinical, Research, and Policy Considerations.私募股权在临终关怀领域的影响力日益增强:临床、研究及政策考量
J Gen Intern Med. 2025 Apr;40(5):1178-1180. doi: 10.1007/s11606-025-09353-5. Epub 2025 Jan 13.
3
Sociodemographic Disparities in the Use of Hospice by U.S. Nursing Home Residents: A Systematic Review.

本文引用的文献

1
Association of Hospice Profit Status With Family Caregivers' Reported Care Experiences.临终关怀机构盈利状况与家属报告的照护体验的关联。
JAMA Intern Med. 2023 Apr 1;183(4):311-318. doi: 10.1001/jamainternmed.2022.7076.
2
Hospice Acquisitions by Profit-Driven Private Equity Firms.盈利驱动的私募股权公司对临终关怀机构的收购。
JAMA Health Forum. 2021 Sep 3;2(9):e213745. doi: 10.1001/jamahealthforum.2021.3745.
3
Association of Private Equity Investment in US Nursing Homes With the Quality and Cost of Care for Long-Stay Residents.
美国养老院居民临终关怀使用情况中的社会人口学差异:一项系统综述
Am J Hosp Palliat Care. 2025 Jan 9:10499091251313761. doi: 10.1177/10499091251313761.
4
Acquisitions of behavioral health treatment facilities from 2010 to 2021.2010年至2021年期间对行为健康治疗设施的收购。
Health Aff Sch. 2024 Jun 4;2(7):qxae080. doi: 10.1093/haschl/qxae080. eCollection 2024 Jul.
美国私人股本投资养老院与长期居民护理质量和成本的关联。
JAMA Health Forum. 2021 Nov 19;2(11):e213817. doi: 10.1001/jamahealthforum.2021.3817. eCollection 2021 Nov.
4
Association of Physician Management Companies and Private Equity Investment With Commercial Health Care Prices Paid to Anesthesia Practitioners.医师管理公司和私募股权投资与支付给麻醉医师的商业医疗保健价格之间的关联。
JAMA Intern Med. 2022 Apr 1;182(4):396-404. doi: 10.1001/jamainternmed.2022.0004.
5
Private Equity In Dermatology: Effect On Price, Utilization, And Spending.皮肤科的私募股权投资:对价格、利用和支出的影响。
Health Aff (Millwood). 2021 May;40(5):727-735. doi: 10.1377/hlthaff.2020.02062.
6
Acquisitions of Hospice Agencies by Private Equity Firms and Publicly Traded Corporations.私营股权公司和上市公司收购临终关怀机构。
JAMA Intern Med. 2021 Aug 1;181(8):1113-1114. doi: 10.1001/jamainternmed.2020.6262.
7
Hospice Tax Status and Ownership Matters for Patients and Families.临终关怀的税收状况及所有权对患者和家属至关重要。
JAMA Intern Med. 2021 Aug 1;181(8):1114-1115. doi: 10.1001/jamainternmed.2020.6300.
8
Trends In Residential Setting And Hospice Use At The End Of Life For Medicare Decedents. Medicare 逝者在生命末期的居住环境和临终关怀使用趋势。
Health Aff (Millwood). 2020 Jun;39(6):1060-1064. doi: 10.1377/hlthaff.2019.01549.
9
Private Equity Acquisition of Physician Practices.私募股权对医生执业机构的收购。
Ann Intern Med. 2019 Jul 2;171(1):78. doi: 10.7326/L19-0256.
10
Potential Implications of Private Equity Investments in Health Care Delivery.私募股权投资对医疗服务提供的潜在影响。
JAMA. 2019 Mar 19;321(11):1047-1048. doi: 10.1001/jama.2019.1077.