Suppr超能文献

偏头痛预防治疗的比较保留率和效果:一项基于全国登记的队列研究。

Comparative retention and effectiveness of migraine preventive treatments: A nationwide registry-based cohort study.

机构信息

Department of Clinical Medicine, University of Bergen, Bergen, Norway.

Department of Neurology, Haukeland University Hospital, Bergen, Norway.

出版信息

Eur J Neurol. 2024 Jan;31(1):e16062. doi: 10.1111/ene.16062. Epub 2023 Sep 27.

Abstract

BACKGROUND AND PURPOSE

Little is known about the comparative effects of migraine preventive drugs. We aimed to estimate treatment retention and effectiveness of migraine preventive drugs in a nationwide registry-based cohort study in Norway between 2010 and 2020.

METHODS

We assessed retention, defined as the number of uninterrupted treatment days, and effectiveness, defined as the reduction in filled triptan prescriptions during four 90-day periods after the first preventive prescription, compared to a 90-day baseline period. We compared retention and efficacy for different drugs against beta blockers. Comparative retention was estimated with hazard ratios (HRs), adjusted for covariates, using Cox regression, and effectiveness as odds ratios (ORs) using logistic regression, with propensity-weighted adjustment for covariates.

RESULTS

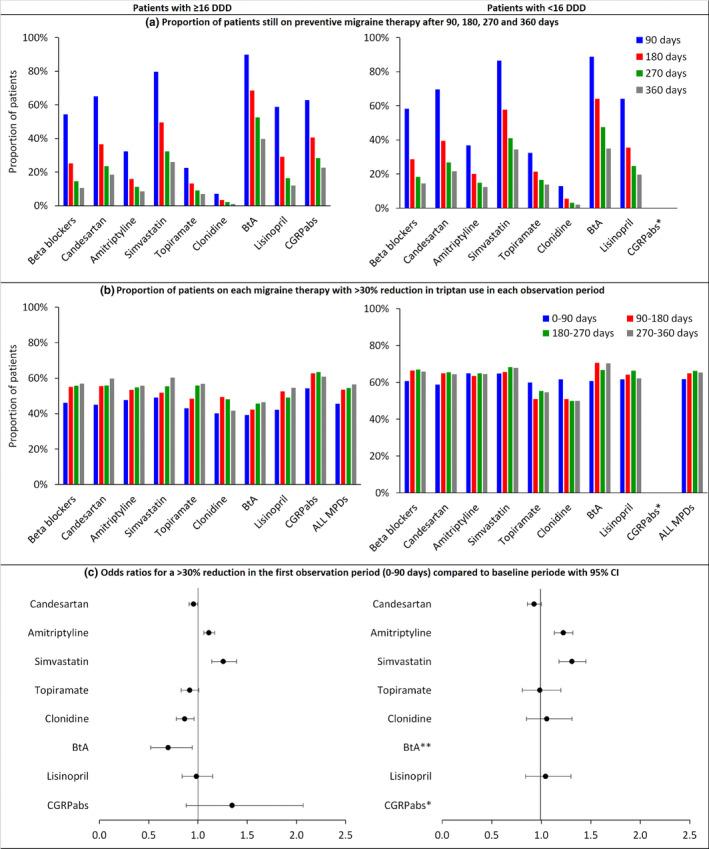
We identified 104,072 migraine patients, 81,890 of whom were female (78.69%) and whose mean (standard deviation) age was 44.60 (15.61) years. Compared to beta blockers, botulinum toxin (HR 0.43, 95% confidence interval [CI] 0.42-0.44) and calcitonin gene-related peptide pathway antibodies (CGRPabs; HR 0.63, 95% CI 0.59-0.66) were the least likely to be discontinued, while clonidine (HR 2.95, 95% CI 2.88-3.02) and topiramate (HR 1.34, 95% CI 1.31-1.37) were the most likely to be discontinued. Patients on simvastatin, CGRPabs, and amitriptyline were more likely to achieve a clinically significant reduction in triptan use during the first 90 days of treatment, with propensity score-adjusted ORs of 1.28 (95% CI 1.19-1.38), 1.23 (95% CI 0.79-1.90), and 1.13 (95% CI 1.08-1.17), respectively.

CONCLUSIONS

We found a favorable effect of CGRPabs, amitriptyline, and simvastatin compared with beta blockers, while topiramate and clonidine were associated with poorer outcomes.

摘要

背景与目的

对于偏头痛预防药物的比较效果知之甚少。我们旨在评估 2010 年至 2020 年在挪威全国基于登记的队列研究中偏头痛预防药物的治疗保留率和有效性。

方法

我们评估了保留率,定义为不间断治疗天数;以及在首次预防性处方后四个 90 天期间与 90 天基线期相比,减少了曲普坦处方的有效性。我们比较了针对β受体阻滞剂的不同药物的保留率和疗效。使用 Cox 回归调整协变量后,使用风险比 (HR) 比较保留率,使用逻辑回归调整协变量后,使用优势比 (OR) 比较有效性。

结果

我们确定了 104072 名偏头痛患者,其中 81890 名为女性(78.69%),平均(标准差)年龄为 44.60(15.61)岁。与β受体阻滞剂相比,肉毒杆菌毒素(HR0.43,95%置信区间 [CI]0.42-0.44)和降钙素基因相关肽途径抗体(CGRPabs;HR0.63,95%CI0.59-0.66)最不可能被中断,而可乐定(HR2.95,95%CI2.88-3.02)和托吡酯(HR1.34,95%CI1.31-1.37)最有可能被中断。服用辛伐他汀、CGRPabs 和阿米替林的患者在治疗的前 90 天内更有可能实现曲普坦使用的临床显著减少,经倾向评分调整的优势比分别为 1.28(95%CI1.19-1.38)、1.23(95%CI0.79-1.90)和 1.13(95%CI1.08-1.17)。

结论

我们发现 CGRPabs、阿米替林和辛伐他汀与β受体阻滞剂相比具有有利的效果,而托吡酯和可乐定则与较差的结果相关。

https://cdn.ncbi.nlm.nih.gov/pmc/blobs/bd83/11235668/7ee1ed92f6de/ENE-31-e16062-g001.jpg

文献检索

告别复杂PubMed语法,用中文像聊天一样搜索,搜遍4000万医学文献。AI智能推荐,让科研检索更轻松。

立即免费搜索

文件翻译

保留排版,准确专业,支持PDF/Word/PPT等文件格式,支持 12+语言互译。

免费翻译文档

深度研究

AI帮你快速写综述,25分钟生成高质量综述,智能提取关键信息,辅助科研写作。

立即免费体验